金茂棠前官方┃房源开盘热卖中!利弊(优点缺点)金茂棠前楼盘分析!一文读懂:金茂棠前在售户型和价格!

搜狐焦点天门站 2025-07-19 11:16:07
用手机看
扫描到手机,新闻随时看

扫一扫,用手机看文章
更加方便分享给朋友

售楼部官方联系电话:400-890-9938

售楼部官方联系电话:400-890-9938

如果问上海哪个楼盘人气高?

我相信「金茂棠前」一定榜上有名!

上海各类新盘如雨后春笋般层出不穷,新盘虽多,但想成为大众眼中优质热门红盘却不易,曾经就有我的一位粉丝这样评价过金茂棠前:”有些房子有钱一定可以买到,但有些房子却要讲究机遇!“

金茂棠前的诞生,绝非偶然的土地堆砌,而是对城市发展肌理的深刻洞察与精准回应。

上海第三座、宝山第一座超级合生汇落地于此。

金茂产品力加持,北上海划时代的改善产品。

双轨环绕+超级TOD复合体加持,重构城市生长逻辑。

城市如同永不落幕的戏剧,既上演着追逐理想的奋斗,也藏着渴望栖居的柔软。在高楼与霓虹编织的现代图景里,人们总在寻找一处既能拥抱繁华脉搏,又能安放心灵的归处。

金茂棠前,正是这场寻觅的终点——它以建筑为笔,规划为墨,将城市资源的丰盛与生活美学的细腻娓娓道来,在时代的浪潮中,书写出兼具烟火气与诗意感的理想生活篇章。

从交通动脉到教育摇篮,从园林秘境到智慧社区,每个细节都在诉说:所谓理想人居,不过是让城市的野心与生活的诗意,达成一场完美和解。

1超级TOD枢纽

重构城市生长逻辑

TOD大家都知道,那双轨环绕的超级TOD复合体大家听过吗?

4月18日,合生创展集团旗下高端商业品牌“合生汇”,正式签下高铁上海宝山站商业运营管理权,这是上海第三座、宝山第一座超级合生汇!

市面上大多TOD都为”地铁+商业+住宅“的模式,金茂棠前则打破这一规律,在此基础上再次升级,带来一座超级TOD复合体,”高铁+地铁+城+产+商+居一体化“,重构城市生长逻辑!

这也标志着北上海将崛起一座集交通枢纽、商业体验于一体的城市新地标,将为这座超级枢纽注入全新的商业活力。

2金茂产品力加持,产品力断层领跑

定义北上海理想生活新范式

家的温度,始于空间的精妙设计。金茂棠前从居住者的真实需求出发,项目首开推出85-117㎡2-3房,每一寸空间都承载着对生活的美好想象。

样板间一经开放便热度空前!这一热度再次印证"金茂府"这一金字招牌的市场号召力!

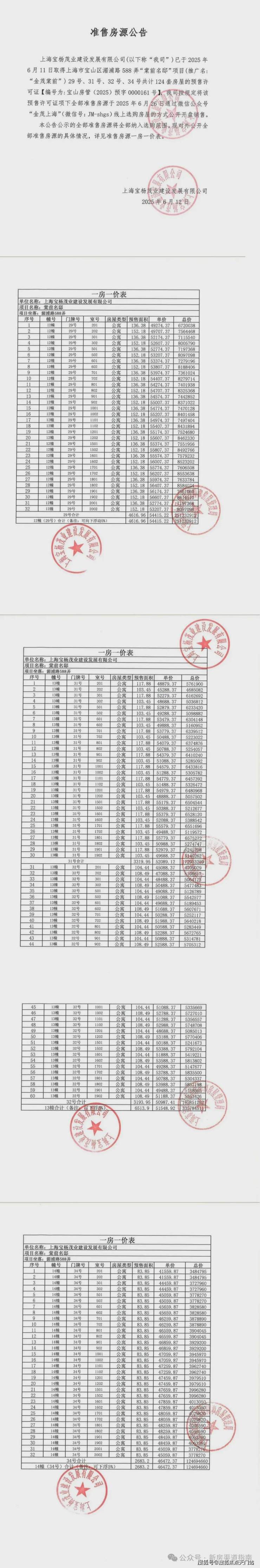
全套户型图如下:

金茂深耕高端住宅领域十余年,去年,金茂发布“金玉满堂”四大产品线。“金茂”这两个字已代表一种身份认同,也代表一种生活方式,令众多改善客群心驰神往。

其中“棠”代表着金茂棠系产品,这是中国金茂为 重视家庭陪伴、亲自成长的“顾家派”客户定制的全龄友好社区。金茂棠前深知,好的社区不仅是建筑的集合,更是情感的纽带。项目通过智慧化管理与人性化服务,打造有温度、有活力的生活共同体。

除此之外,金茂棠前更是在社区公区打造上花足心思,致力于营造出一个高端圈层社区生活场景,大窗墙比+十字景观轴+下沉式会所构建“归家即度假”的圈层场域。

1、极具现代感高窗墙比立面

本项目基座局部石材,主体墙面玻璃、香槟金及灰色铝板配以高品质暖灰涂料,塑造现代雅致的立面风格形象。

2、约32米气派门厅,归家尽享尊崇感

项目主入口外围将设置四重酒店式归家厅堂以及同款湄南河四季酒店的度假门庭。

还有多重景观场景,让业主的每一次归家都充满仪式感与尊崇感。

3、全维下沉式会所超配体验

金茂棠前更注重圈层生活氛围的打造!社区内超配全维下沉式会所,基本是千万级别豪宅才有的配置!其中涵盖健身区、恒温泳池、私宴厅 、茶室、儿童天地等多项功能,满足高端家庭的丰富休闲生活需求。

3高能级配套尽享区域发展红利

价值腾飞在即

大吴淞规划:千亿级城市更新红利

根据《大吴淞地区专项规划》,宝山站周边将打造“立体公园城市”——商务办公、科创园区、生态住区、文化场馆等多业态复合,形成“三江交汇,上海之门”的战略格局。

规划示意图,来源于上海发布

金茂棠前恰处这一规划的核心腹地,未来将享受千亿级产业投资带来的高净值人才聚集与配套升级红利。

双轨交汇,链接长三角的“黄金焊点”

金茂棠前落子宝山站(在建)TOD核心辐射区,占据19号线(北部始发站)与3号线双轨交汇的黄金坐标。

未来,19号线将串联陆家嘴、前滩等核心CBD,3号线直达虹桥枢纽,构建“半小时通勤圈”。而宝山高铁站(2027年竣工)作为上海北部最大铁路枢纽,8台18线的规模将日均承载14.8万人次客流,成为连接长三角与成渝经济圈的“超级门户”。(数据来源于:东方网)

19号线线路图,来源公众号“上海发布”《上海地铁19号线正式开工,涉5个区,直达高铁站,有18座车站能换乘》

多维配套咫尺繁华,尽享都市风尚

金茂棠前周边商业配套堪称“黄金矩阵”,既有大型商业综合体的一站式繁华,又有社区商业的烟火温度。合生汇宝山站项目总商业面积约11.5万㎡,其设计灵感也将充分融合高铁站六边形建筑元素。

宝山站效果图(过程版),图片来源杨行发布

周边还有白沙公园、盘古公园、杨行体育中心、复旦附属中山医院、宝钢体育中心等丰富配套。

书香浸润:全龄教育的成长沃土

教育,是对未来最好的投资。金茂棠前周边汇聚优质教育资源,打造从启蒙到进阶的全龄教育体系。

西侧约600米就是 上海大学附属宝山外国语学校,是九年一贯制学校;向西不远处更有宝山华曜实验学校,是民办“华二系”;上海师范大学附属宝山实验学校,是九年一贯制学校。向南约3公里左右还有华东师范大学第二附属中学(宝山校区)、华东师范大学附属宝山宝杨实验学校等。*预售房屋不划分学区,开发商不对项目交房后所属学区、学校做任何承诺,教育资源分配或学校/学区划分以及学校的具体招生规则等请以政府相关主管部门、教育机构公开的最新信息为准。

金茂棠前,不仅是一座建筑,更是一场关于城市进化与生活方式的实验。在这里,交通枢纽的澎湃动能与湿地公园的静谧诗意共生,国际审美与实用主义交融,圈层社交与亲子成长并行。

2025年,以一座棠系作品,致敬上海北门户的崛起,启幕新一代国际住区传奇。

感兴趣的朋友

点击进入下方通道

直接电话连线项目销售询问

声明:本文由入驻焦点开放平台的作者撰写,除焦点官方账号外,观点仅代表作者本人,不代表焦点立场。