售楼处电话:400-8669-938(已认证) 营销中心热线:400-8669-938(欢迎致电)
售楼处预约电话:400-8669-938☎☎☎如有问题可来电咨询,预约销售专员,一对一为您服务!
售楼处电话:400-8669-938(已认证)
营销中心热线:400-8669-938(欢迎致电)
售楼处预约电话:400-8669-938☎☎☎如有问题可来电咨询,预约销售专员,一对一为您服务!
编辑

松江泗径版块-9号线地铁口
3站七宝、6站漕河泾、9站徐家汇
超配装标+约18.5万方潮流商场
招商时代潮派|东屿
项目加推建面约103-127m²3-4房
均价52743元/m²,总价约483万起
(文末附一房一价表)
编辑

买房是笔大金额的支出,许多人都会在选房时进行多方面综合考量!
于是经常就有小伙伴过来问: 预算400-500万,全市看房一整年,依旧不知道怎么选?
分析下来,主要原因有两点:
原因一:400万-500级,这个上海最“卷”的价位段,许多人全市看房,不再绑定某个区域,选择更宽泛!
原因二:除了一手房,还有二手房市场同样价位段这片红海!二者叠加,更容易让人挑花眼!
招商·时代潮派作为9号线泗泾站新一代超级TOD,拥有着约18.5万方的商业,「招商时代潮派」与地铁商场直线仅约200米!更重要的是,它还拥有着3站七宝、6站漕河泾、9站徐家汇的强大通勤便捷度。这在全市500万能级的置业板块中,都称得上是顶尖的存在!
编辑

放眼全市范围,500万级总价的板块,大多已经快到上海边境线了。
以人民广场为中心,泗泾在这些板块中占据绝对优势。
如果以徐家汇副中心或者莘庄副中心为圆点的话,泗泾到中心的距离优势更加不可撼动!
泗泾站向西4站,松江新城新房单价最高看到约6万/㎡;
向东3站的七宝新房单价8万+/㎡;
再往东的板块新房都断供了,二手房总价都是动辄千万级别!
编辑

市场的选择,就是最好的验证!
自去年项目开盘以来, 招商时代潮派多次荣膺板块内成交面积、成交套数TOP1,名副其实的双冠王!
以无可撼动的市场表现力,成为上海400万-500万级置业的价值风向标!
编辑

2024年1月10日,经过56路竞价,最终 招商以52.5亿摘下松江区泗泾镇SJS20005单元14-01、16-02、17-07号地块,地块位于9号线泗泾站北侧,出让面积129624.71㎡, 房地联动价51100元/㎡。
编辑

招商时代潮派整个社区的北侧与东侧双面环水、西侧是商业,不止有繁华的城市街景,更有滨水风光,光这个社区的占位和天赋,就已经足够出色。
编辑

招商时代潮派汲取极简主义的精髓,运用简约线条精心塑造建筑的轻盈感与未来感,旨在打造一处兼具现代审美与实用价值的建筑典范。特别设计的鎏金穹顶,以其独特的艺术魅力为城市天际线勾勒出一道历久弥新的美学符号,彰显了项目的品质与品味。
招商时代潮派景观方面,整个社区景观结构通过精心规划的“一带一街一堂一核四园多户多庭”空间构架,使得自然与艺术完美融合。
这里有“艺术家乐园”为主题的儿童乐园;有会客花园“芳瑶馥郁”、阅读空间“林屿花意”、森系空间”悦然氧吧“等。
编辑

编辑

编辑

建面约91㎡三房两厅一卫:
编辑

编辑

编辑

编辑

编辑

编辑

建面约103㎡三房两厅两卫:
编辑

建面约127㎡三房两厅两卫:
编辑

编辑

编辑

编辑

编辑

编辑

交通配套:
地铁:项目紧邻9号线泗泾站,3站七宝,9站徐家汇的巨大通勤优势。
自驾:泗泾拥有四横四纵的立体交通路网:G50沪渝高速连接内环,直达市中心;泗陈公路连接七宝和漕河泾;沈砖公路连接沪闵路高架直达徐家汇;G60沪昆高速连接徐浦大桥,直达浦东。
编辑

商业配套:
项目本身除了打造19万平方的TOD综合体之外,附近还有三湘商业广场、保利悦活荟、金地方邻等商业。
编辑

教育配套:
项目一街之隔就是幼儿园以及教育用地(九年一贯制)!附近还有上师大附属松江实验学校、泗泾小学、泗泾第十幼儿园等优质教育资源。
编辑

医疗配套:
在招商花园城西侧就是泗泾医院+牙防所+国药康养照护中心,将和上海第九人民医院合作共建成高端医疗中心。同时附近还有:正在积极创建二级甲等综合性医院中,计划建成第二批上海市区域医疗中心。
编辑

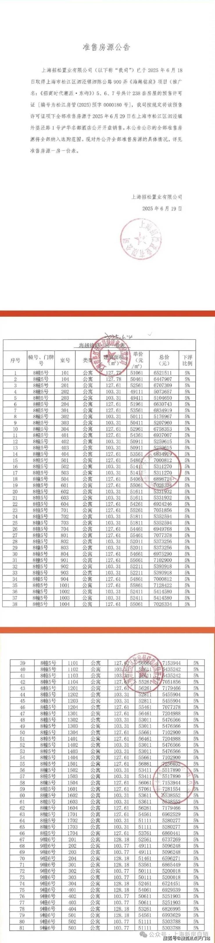
一房一价表:
编辑

编辑

售楼处电话:400-8669-938(已认证)
营销中心热线:400-8669-938(欢迎致电)
售楼处预约电话:400-8669-938☎☎☎如有问题可来电咨询,预约销售专员,一对一为您服务!