海上·清和玺(售楼处)首页网站-海上·清和玺销售中心(营销中心)-海上·清和玺楼盘欢迎您-小区环境-户型-价格-地址-楼盘详情-周边配套-售楼处电话-交房时间

搜狐焦点天门站 2025-10-17 14:56:38
用手机看
扫描到手机,新闻随时看

扫一扫,用手机看文章
更加方便分享给朋友

海上·清和玺售楼处预约电话400-118-3159

海上·清和玺售楼处预约电话400-118-3159

点击输入图片描述(最多30字)

一英里徐汇滨江 百万方中央公园内

约10000方全维立体殿堂首映

海上·清和玺

建面约112-143㎡瞰景3-4房

均价110650元/m²

点击输入图片描述(最多30字)

海上·清和玺的外立面,第一眼即惊艳!其以现代美学融合海派文化,并融合了中西方的精髓,采用了大面积铝板,极致通透又温润雅致。

点击输入图片描述(最多30字)

再仔细看细节,顶部香槟金色格栅塔冠以及壁柱采用香槟金和白色色调,将海派与现代之美生动演绎。基座更是采用大面积石材搭配艺术玻璃及古铜色金属窗框,辅以奢石、艺术等点缀,打造极致归家体验。如此颇具辨识度的外立面,未来势必将刷新区域天际线,形成徐汇一道亮丽的风景。

海上·清和玺在社区景观的打造上也很用心,一条风雨连廊巧妙地将自然与建筑融合在一起。水景、绿篱、休憩平台......一步一景,堪比度假。下雨天,廊下倚栏听雨,急雨声如瀑布,密雨声比碎玉;艳阳天,穿廊而过,自有一片屋檐蔽日。

点击输入图片描述(最多30字)

部分楼栋还为业主定制了七大主题架空层,商务办公、休闲品茗、健身、社交娱乐、亲子互动、儿童娱乐全覆盖。

点击输入图片描述(最多30字)

住在这里,下楼就能和邻里促膝谈心,闺蜜们时不时约个下午茶,感受生活的惬意;老人们叫上老友,在这里“棋逢对手”;孩子们在另一边做作业、看书、做游戏;忙碌了一天的大人下了班,在这里放空发呆,哪怕是静静地听着风声,也是一种享受。

一路定制的游园式归家动线,让业主目之所及均为风景;中央会客花园内,绿植四季皆景,中央庭院景观轴上,则布局双下沉式庭院增添社区精致错落的氛围,提升归家仪式感的同时,给予业主家的温馨。

点击输入图片描述(最多30字)

海上·清和玺 共834套精装公寓,预计本月将推出首批建面112㎡和134㎡的3房。较低的门槛,却拥有轻豪宅的产品力!

点击输入图片描述(最多30字)

五期户型图如下:

点击输入图片描述(最多30字)

点击输入图片描述(最多30字)

点击输入图片描述(最多30字)

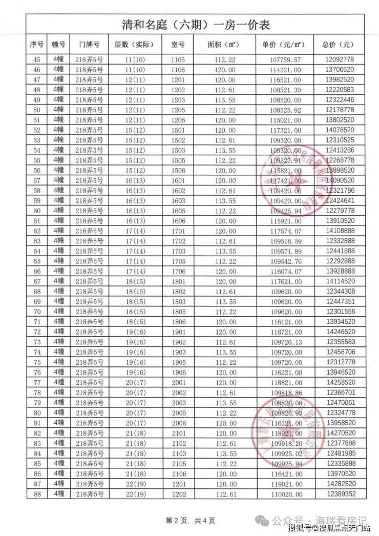
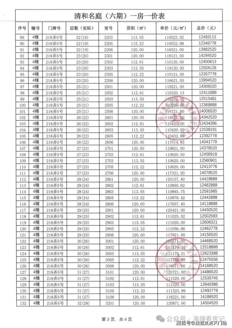
一房一价表如下:

点击输入图片描述(最多30字)

点击输入图片描述(最多30字)

点击输入图片描述(最多30字)

点击输入图片描述(最多30字)

交通配套:15号线罗秀路站约1.2公里。自驾方面,开车上中环,有龙吴路、上中路隧道、外环、虹梅南路、沪闵高架路等可选。去浦西,去浦东都很方便。

商业配套:凌云壹街坊、百安居、东阔生活广场、规划了北杨人工智能小镇。

教育配套:项目北面一街之隔就是徐汇四大名校之一民办逸夫小学,上海中学距离项目也仅几百米。(新房不确定学校,具体以官方为准)

— 品鉴热线 —

致电预约400-118-3159

参观鉴赏请提前2小时预约

声明:本文由入驻焦点开放平台的作者撰写,除焦点官方账号外,观点仅代表作者本人,不代表焦点立场。