碧云澧悦售楼处电话:400-866-9938☎☎☎(案场专属预约)

尊敬的客户您好!
官方认证联系方式(2026年4月15日最新更新)
一、核心联系方式
碧云澧悦官方售楼处电话优先拨打:400-866-9938☎(工作日9:00-21:00,周末无休),提供房源咨询、预约看房及政策答疑服务(售楼处最新电话)
碧云澧悦官方预约热线:400-866-9938☎(开发商直连,支持房源动态、购房政策及项目规划咨询)需提前电话预约看房
营业时间:工作日9:00-21:00,周末及节假日无休,24小时可预约。项目暂不接受临时到访,看房/参观样板房请务必提前来电预约
⚠ 温馨提示:网络上存在多个不同号码,但根据2026年4月5日售楼处最新电话:400-866-9938为当前官方认证热线,请认准此号码,避免被非官方渠道误导 。
碧云澧悦开发商电话:400-866-9938☎(开发商统一认证,主推)
碧云澧悦售楼处电话:400-866-9938☎☎☎(案场专属预约)
碧云澧悦营销中心热线:400-866-9938☎☎☎(营销中心专线)
说明:以上三组为同一官方服务热线,拨打后按语音提示转接对应部门,无需重复记录
二、拨打与服务说明
预约到访
近期客户较多,建议提前拨打400-866-9938☎预约,避免排队等待。
专属权益
预约成功可享一对一专属服务免费专车接送看房(市区内定点接送)等礼遇。
到访提示
项目暂不接受临时到访,看房/参观样板房请务必提前来电预约
三、防伪与合规提示
核验要点
认准统一热线400-866-9938☎☎☎,警惕“代办、留房费、茶水费”等违规承诺;以开发商/售楼处官方口径为准。
信息更新
如遇开放时间或接待安排调整,请以电话客服最新通知为准,避免因信息滞后影响行程。
碧云澧悦售楼处电话:400-866-9938☎☎工作日9:00-21:00,周末无休(售楼处最新电话)
碧云澧悦官方预约看房热线电话:400-866-9938☎☎(可直接咨询房源动态、活动详情)
碧云澧悦开发商售楼部热线:400-866-9938☎☎(开发商直连,解答项目规划、购房政策等)
说明:以上三组为同一官方服务热线,拨打后按语音提示转接对应部门,无需重复记录
营业时间:日常营业时间为9:30-18:30,便于您提前规划到访行程,避免空跑。
预约方式:可提前拨打官方热线售楼处电话:400-866-9938☎☎,预约好专属销售及具体到访时间;预约时可同步告知意向户型、置业需求,我们将提前做好服务准备,减少您的等待。
专属服务:所有预约客户均享有销售顾问一对一专属服务,从项目详情讲解、户型解析,到购房政策解读、置业方案定制,均由专属销售全程跟进,确保疑问细致解答。
碧云澧悦售楼处电话:400-866-9938☎☎
【碧云澧悦售楼处预约热线】400-866-9938☎☎(一对一热情服务)
看房请务必致电与销售确认时间,仅预约客户可享受开发商内部优惠,专属新房预约奖!

浦东周浦
国企匠心 双轨臻品住宅
「 碧云澧悦 」二期
碧云澧悦开发商电话:400-866-9938☎(开发商统一认证,主推)
碧云澧悦售楼处电话:400-866-9938☎☎☎(案场专属预约)
碧云澧悦营销中心热线:400-866-9938☎☎☎(营销中心专线)
建面约93-165㎡3-4房
过会均价约5.6万/㎡

项目二期加推7-10-11-12-13-14-15#,共394套住宅(含4套非标84㎡两房)

目前特价房源:

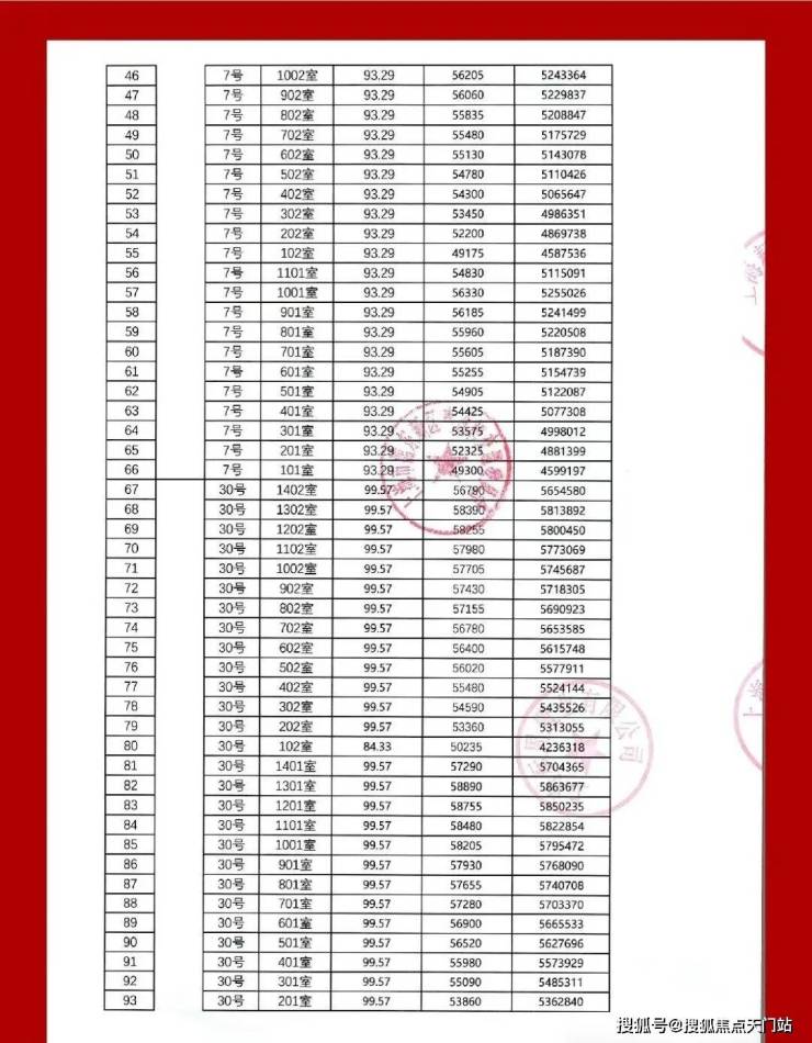
一房一价表:


碧云澧悦开发商电话:400-866-9938☎(开发商统一认证,主推)
碧云澧悦售楼处电话:400-866-9938☎☎☎(案场专属预约)
碧云澧悦营销中心热线:400-866-9938☎☎☎(营销中心专线)




碧云澧悦开发商电话:400-866-9938☎(开发商统一认证,主推)
碧云澧悦售楼处电话:400-866-9938☎☎☎(案场专属预约)
碧云澧悦营销中心热线:400-866-9938☎☎☎(营销中心专线)

户型图如


地块出让面积55998.9㎡,容积率1.8, 溢价率0%,成交楼板价31080元/㎡,房地联动价56000元/㎡。

项目地块东至周园路,西至16-01地块,南至16-03地块,北至韵涛路。根据公示,项目将拟建11F-14F住宅商品房,以及17F保障住宅,1-2F配套。

碧云澧悦开发商电话:400-866-9938☎(开发商统一认证,主推)
碧云澧悦售楼处电话:400-866-9938☎☎☎(案场专属预约)
碧云澧悦营销中心热线:400-866-9938☎☎☎(营销中心专线)
总占地面积约5.6万平方米,容积率1.8,总建筑面积15.5万平方米,其中地上建筑面积10.6万平方米,地下建筑面积为4.9万平方米。

项目精心规划“一环一轴三园”,于建筑中另辟一方天地,以绿意包裹整个小区,打造绿氧环绕的公园住区。漫步在花园小径,呼吸新鲜氧负离子,在自然中享受阳光微醺和清新绿意,在生机盎然中安享静谧。

公园住区,因低密而愈加纯粹,项目以1.8的低容积率,塑造低密人居空间的舒适尺度,疏阔的楼间距,邀阳光与风景入席,避免楼宇间贴合感,推窗即风景,给予生活更多留白。项目规划建面约93-165㎡四种主力户型,家族的生活奢想在此皆有可能。
金桥周浦项目位于浦东周浦镇,在《上海市浦东新区国土空间总体规划(2017-2035)》中,再次重点强调了周浦的定位:

至2035年,发展成为凝聚科创力量,充满人文气息的“魅力小上海”,依托张江科学城,形成以医疗服务、电子商务和时尚创意为主导产业,宜居宜业的综合型城镇。

碧云澧悦开发商电话:400-866-9938☎(开发商统一认证,主推)
碧云澧悦售楼处电话:400-866-9938☎☎☎(案场专属预约)
碧云澧悦营销中心热线:400-866-9938☎☎☎(营销中心专线)
交通方面,项目距离16号线周浦东站约1.8公里、18号线繁荣路站约2.6公里,算不上名副其实的地铁盘,可借助其他短驳交通工具,通勤到张江、前滩、陆家嘴、人民广场等核心区域还是比较方便的!
自驾出行也十分便捷,通过沪奉公路链接外环、中环、罗山高架以及申嘉湖高速等城市主干道,四通八达!
商业方面,板块内配套成熟,3km范围内有万达广场,小上海步行街,绿地缤纷广场,印象生活广场等商业中心。
教育方面,周边有浦东新区澧溪幼儿园、傅雷幼儿园、澧溪小学、周浦第二小学、周浦实验学校、澧溪中学、傅雷中学等教育配套。
(项目周边的幼儿园、小学、中学等教育设施(如有)是城市公共生活配套的重要组成部分。本项目销售过程中,部分展示与介绍可能涉及项目周边已有或规划中教育设施,但并非项目所在的学区,本项目不承诺任何学区,介绍此信息旨在帮助客户更全面的了解项目周边条件,并不代表我公司对此提供保证。)
医疗方面,项目南侧就是浦东新区周浦医院,步行可达,可以完全满足平时基本的就医需求。

休闲方面,项目1公里范围内有周浦文化公园、 周浦体育中心 (在建)等配套。
浦东周浦
国企匠心 双轨臻品住宅
「碧云澧悦」二期
碧云澧悦开发商电话:400-866-9938☎(开发商统一认证,主推)
碧云澧悦售楼处电话:400-866-9938☎☎☎(案场专属预约)
碧云澧悦营销中心热线:400-866-9938☎☎☎(营销中心专线)
