2025 招商时代潮派售楼处电话 - 楼盘详情:最新房价 + 户型配套 - 首页信息速览

搜狐焦点天门站 2025-09-14 17:20:00
用手机看
扫描到手机,新闻随时看

扫一扫,用手机看文章
更加方便分享给朋友

松江区招商时代潮派售楼处电话:400-8669-938

松江区招商时代潮派售楼处电话:400-8669-938

一、地段:9号线 泗泾地铁口

在售楼栋,2号楼 3号楼 8号楼 9号楼 10号楼

一、稀缺户型:91平(3房2厅1卫)超长双阳台设计 270°全景飘窗

总价420万-500万起

二、横厅户型:103平(3房2厅2卫)510万—560万

超宽面宽,大横厅设计,南北通透

三、大三房户型:127平(3房2厅2卫)650万—728万

南北三阳台,稀缺产品,大三房设计

四、经典户型:101平(3房2厅2卫)490万—560万

朝南双阳台,进门阔绰收纳空间,利用率极高

二、户型:

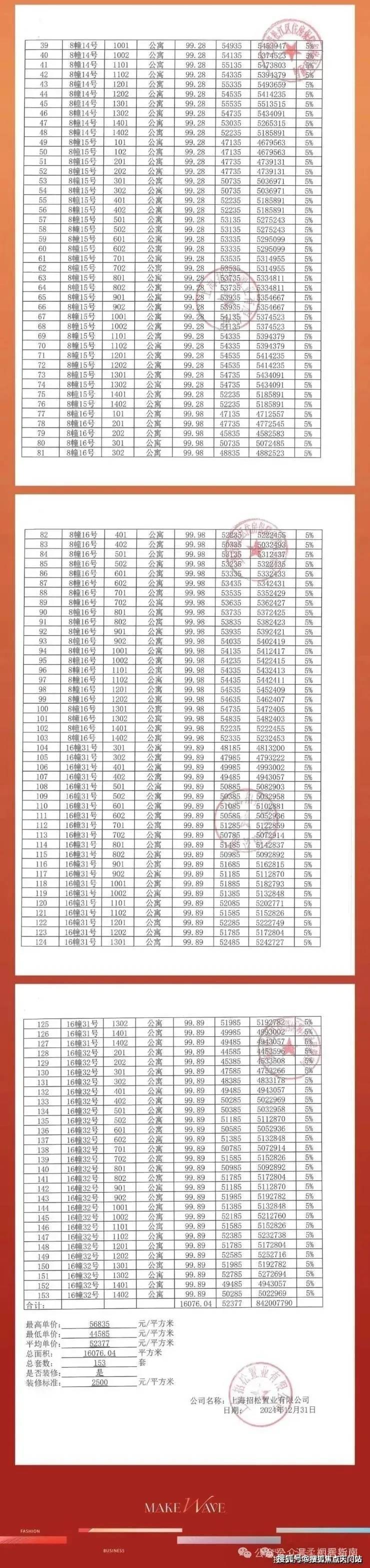
一房一价表:

松江区招商时代潮派售楼处电话:400-8669-938

声明:本文由入驻焦点开放平台的作者撰写,除焦点官方账号外,观点仅代表作者本人,不代表焦点立场。