招商时代潮派(售楼处)网站-招商时代潮派销售中心(营销中心)-招商时代潮派楼盘欢迎您-小区环境-户型-价格-地址-楼盘详情-周边配套-售楼处电话-交房时间
扫描到手机,新闻随时看
扫一扫,用手机看文章
更加方便分享给朋友

「招商时代潮派」位于松江泗泾,是泗泾板块中位置更好、离地铁更近的项目。

创意展示间实景图,仅做展示,最终以交付效果为准
项目99平的户型,是项目的王炸主推户型,仅需约500万起即可上车。目前还在售!

在上海500万级的新房那么多,为什么说「招商时代潮派」能从中脱颖而出并成为无法复刻的存在呢?
首先便是,作为9号线泗泾站新一代超级TOD,拥有着约18.5万方的商业,「招商时代潮派」与地铁商场直线仅约200米!更重要的是,它还拥有着3站七宝、6站漕河泾、9站徐家汇的强大通勤便捷度。这在全市500万能级的置业板块中,都称得上是顶尖的存在!

其次就是位置,放眼全市范围,500万级总价的板块,大多已经快到上海边境线了。
以人民广场为中心,泗泾在这些板块中占据绝对优势。如果以徐家汇副中心或者莘庄副中心为圆点的话,泗泾到中心的距离优势更加不可撼动!

示意图,仅供参考
泗泾站向西4站,松江新城新房单价最高看到约6万/㎡;向东3站的七宝新房单价8万+/㎡;再往东的板块新房都断供了,二手房总价都是动辄千万级别!
单看泗泾板块内,项目周边二手次新房成交均价大多比本项目高出不少,这还没算上税费、中介费!
比如融创壹号公馆,去年年底行情这么低迷,成交价依旧保持差不多5.5万/平以上。
数据来源:上海链家网
再翻阅早期成交价,接近7万/平!
数据来源:上海链家网
其他次新小区,比如泗泾大盘金地玺悦,二手房成交价也都在6.3-6.9万/㎡之间。


数据来源:上海链家网
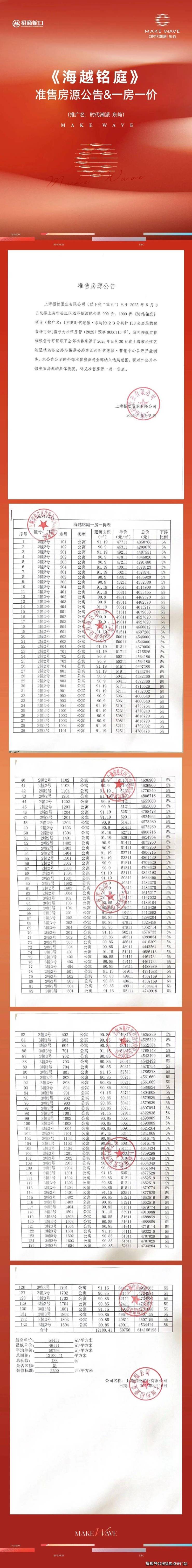
总之不管怎么比较,时代潮派的首发过会价49701元/㎡的价格都有着更出色的“竞争力”,基本在泗泾板块,乃至五大新城非常抗打!
根据泗泾2035规划来看,泗泾地铁站社区单元,已经全部规划完成!「招商时代潮派」堪称板块的最后一块重磅拼图,也是坐拥松江烫金地段的最后机遇!
之后若再想买房,恐怕只能二手见了!

泗泾镇2035规划 来源:松江区政府官网
「招商时代潮派」的到来,可以说是来颠覆泗泾板块商业设施的。
它不仅是一座TOD超级大城,总建面达到了约50万方,拥有滨水国际住区,自带约18.5万方的上海第5座花园城,还规划了文化空间+酒店等业态,这个体量在整个9号线都是佼佼者。
同时,也将「居住体验」上升到了另一个维度,把氛围感和烟火气融为一体。可以虹吸周边居民到此来消费,那么对于泗泾板块来说,是有巨大的潜力价值。

商业方面,青浦奥特莱斯、山姆会员店、元祖梦世界,以及三湘商业广场、保利悦活荟、绿地云天坊、大润发、金地方邻等繁华商业,近享高配生活;
教育方面,松江二中、松江四中、泗泾实验学校、上师大附属实验学校、泗泾幼儿园、泗泾小学等优质教育资源环伺,智启孩子成长;(本宣传资料对项目周边幼儿园、学校等教育资源的介绍旨在提供相关信息,并不意味着本公司对就学安排作出承诺。)
背靠包括辰山植物园、月湖雕塑艺术公园、欢乐谷在内的佘山国家级旅游风景区,近临泗泾公园,超高负氧离子,让自然底色嵌入美好生活;
在这个诸多新盘“暴雷”“降标减配”的市场环境下,「招商时代潮派」却不惜重金打造产品,社区品质也是卷到极致,立志打造出板块新地标!
“超高颜值立面 · 沉淀历久弥新的惊艳”
招商时代潮派汲取极简主义的精髓,运用简约线条精心塑造建筑的轻盈感与未来感,旨在打造一处兼具现代审美与实用价值的建筑典范。特别设计的鎏金穹顶,以其独特的艺术魅力为城市天际线勾勒出一道历久弥新的美学符号,彰显了项目的品质与品味。
“三重归家动线 · 匠心高定生活礼仪”
在归家仪式感方面,「招商时代潮派」精心规划三重归家动线。社区主入口设计酒店式环岛归家,辅以活力四溢的涌泉水景,营造出更尊崇的归家仪式感,让业主在归家的瞬间感受到尊贵与温馨。
入户门厅以弧形悬浮顶棚为特色,为业主带来柔和温润的归家关怀,让归家的每一步都充满舒适与惬意。

此外,项目还设有地上地下双精装大堂,地下车库电梯直达,为业主提供便捷高效的出行体验,同时也彰显了极尽礼宾仪式的尊贵品质。
“四大架空层 · 家楼下的全龄社交空间”
招商时代潮派在社区内部精心布局了多个架空层区域,涵盖休闲会客、社交洽谈、儿童娱乐及阅读室四大核心功能模块,为业主带来适合全龄段的社交空间,营造更加温馨和谐的生活氛围。

“方寸之间尽显匠心· 全龄居住品质标杆 ”
「招商时代潮派」的高品质产品力其实并不仅仅只体现在社区景观规划之内,户型及品质上的表现也十分优异!
「招商·时代潮派│东屿」户型分布↓
二批次即将加推8#9#楼

声明:本文由入驻焦点开放平台的作者撰写,除焦点官方账号外,观点仅代表作者本人,不代表焦点立场。
