必读!中环桃浦『普陀金茂府』:107㎡三房,总价800-950万,还有可选楼层!先到先得,现房交付!
扫描到手机,新闻随时看
扫一扫,用手机看文章
更加方便分享给朋友
看房需提前来电预约登记请务必致电与销售确认时间,预约客户可优先进入销售现场,避免空跑,感谢您的支持!
「普陀金茂府」
普陀区桃浦 中外环
建面约107-180㎡3/4房
180㎡已售罄,现仅余107㎡三房
总价800-950万
约100万方桃浦中央绿地首排
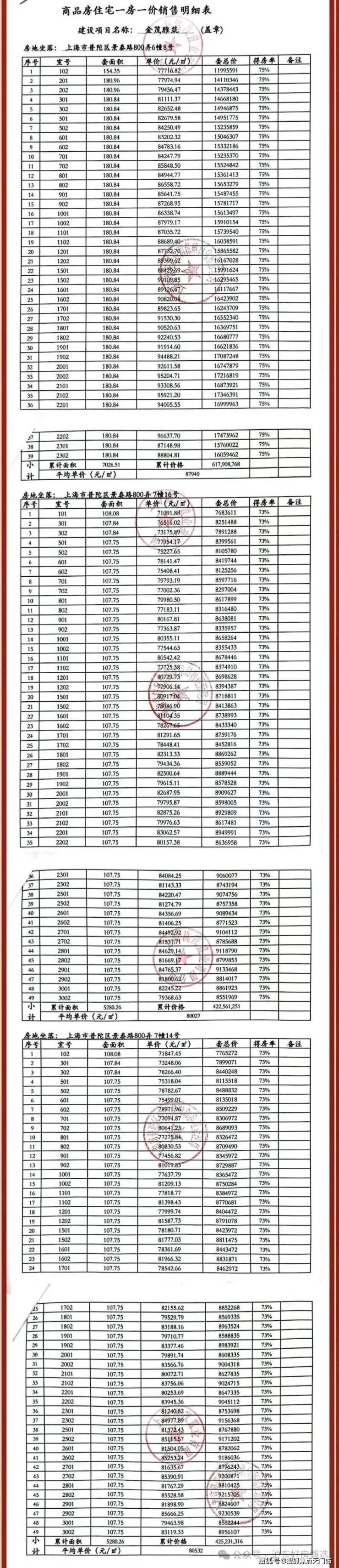
普陀金茂府一房一价表
2023年9月4日,金茂上海桃浦项目(景泰府)更名为普陀金茂府。在金茂上海发布的公告中,明确写到项目品牌(推广案名)由“景泰府”正式升级为“普陀金茂府”这也是继西郊金茂府、大宁金茂府、虹口金茂府后的上海第四座金茂府。
(实拍图)
更名后项目全线升级上科技:新增升级五恒系统(恒温,恒湿,恒氧,恒净,恒静);12大科技系统,再一次赋新人居标杆。

地库的星级仪式:白金砂石材铺装,古铜金属镶边,星光穹顶营造银河归家仪式
金茂交付的不只是房子,更是一种圈层生活。

-----------
2023年,金茂回归上海市中心:以约100万方桃浦中央绿地为主轴,构建城市宏伟蓝图,打造国际公园住区(数据来源:桃浦智创城 官方网站)
-----------
桃浦智创城 市中心再造芯:桃浦智创城板块,总体规划437万方,是目前上海中心城区现存不可多得、可成片开发的”黄金宝地“。(数据来源:桃浦智创城 官方网站)
桃浦中央绿地:约100万方(已建成约50万方),是桃浦区域转型升级的重要载体。景观打造上借鉴了伦敦海德公园、纽约中央公园规划设计理念,项目建成后将成为中心城区最大的开放式公共绿地。低密生态之境,对标国际公园住区,奢享自然健康生活。(数据来源:桃浦智创城)
<示意图>
桃浦智创城:以中央绿地为轴,依托政策优势,构建功能组团,推动产业集群发展、区域规划落地,打造全新的上海市中心国际社区。
<示意图>

政府政策向好:普陀区政府将全力把桃浦智创城打造成“上海科创中心重要承载区”,“中心城区转型示范区”,“普陀高质量发展新的增长极”。(信息来源:上海普陀)
产业集群发展:规划商办体量约207万方,超过197万方的前滩、126万方的新天地,再加上76万方的科创板块,区域后续的发展绝对值得期待。(数据来源:桃浦智创城 官方网站)
<效果图>

规划兑现提速:目前普陀区政府大力支持稳步兑现规划,桃浦中央绿地、中以(上海)创新园、智创TOP产城综合体、国华康养中心都在紧锣密鼓地建设中。
功能组团构建:区域内规划打造国际街区,四大主题街区、商务办公、产业研发、商住、文化创意等功能配套正在完善。
<效果图>

金茂上海新作 筑就人居标杆
深谙都会人居理想,中国金茂首入桃浦,便对标国际公园住区,匠筑板块引领性产品。
【国际住区】
匹配政府高要求,严选材质,构筑雅致美学建筑;
艺术迎宾空间,尊享归家礼遇,完美融合国际住区板块风格。
<效果图>

【公园社区】
“微度假”公园社区,内外无界链接,享受更纯粹的生活;
城市自然会客厅,宽幕首排公园视野,境界非凡。
<实拍图>
【金质产品】传承金茂品质基因,打造先于时代的美好人居作品;建面约107\172\180\203㎡全系宽适改善型产品,进阶臻藏。项目三期加推6#、7#,共137套房源,建面约107-180㎡3-4房,均价83341元/㎡,正在火热认购中

普陀金茂府户型图如下▼
建面约107㎡三房的户型,三开间朝南,大面宽阳台,餐客厅一体,还有精细化收纳体系,人性化细节设计,极具功能性与舒适性,满足高阶精致生活。
,时长
01:28
交通:
>11号线从嘉定到迪士尼横跨整个上海,
快速通达真如、徐家汇、徐汇滨江、前滩等上海重要商圈。
>15号线串联上海主城重要国际生活圈,
直达长风公园、古北、古美等高品质商圈,坐拥国际风尚生活。
>桃浦智创城还规划有20号线地铁线(已公示,信息来源:上海市人民政府网站)
>中环高速、外环高速、沪嘉高速贯穿城市动脉。
<区位示意图>
商圈:
静安大融城(约5.2公里)
南翔印象城(约7.6公里)
环球港(约9公里)
大华虎城嘉年华(约4.3公里)
百联中环购物广场(约6.1公里)
<实景图>

学校:
上海安生学校(原上海托马斯实验学校)(约0.87公里)
上外附属普陀实验学校(约1.2公里)
上海市晋元高级中学(约3.6公里)
同济大学(沪西校区)(约1.7公里)
上海儿童世界基金会普陀幼儿园(约0.78公里)
桃浦智创城还规划有多块基础教育用地(信息来源:上海市普陀区桃浦智慧科学城控制性详细规划修编)
(项目周边的幼儿园、小学、中学等教育设施(如有)是城市公共生活配套的重要组成部分。本项目销售过程中,部分展示与介绍可能涉及项目周边已有或规划中教育设施,但并非项目所在的学区,本项目不承诺任何学区,介绍此信息旨在帮助客户更全面的了解项目周边条件,并不代表我公司对此提供保证。)
<示意图>

医疗:
上海德济医院(约1.5km)
上海天佑医院(约3km)
上海市儿童医院(沪西院区)(约9km)
普陀区妇婴保健医院(约8.3km)
桃浦智创城还规划有医疗中心用地(信息来源:上海市普陀区桃浦智慧科学城控制性详细规划修编)

声明:本文由入驻焦点开放平台的作者撰写,除焦点官方账号外,观点仅代表作者本人,不代表焦点立场。
