(陆家嘴锦绣澜湾售楼处) - 销售中心 - 环境 - 户型 - 价格 - 地址 - 楼盘详情 - 配套 - 电话 - 交房时间 - 配套 - 电话 - 交房时间
扫描到手机,新闻随时看
扫一扫,用手机看文章
更加方便分享给朋友
陆家嘴锦绣澜湾售楼处电话:400-118-3159(已认证) 有问题可来电咨询,预约销售专员,一对一为您服务!
18号线旁低密墅区滨水住宅!「陆家嘴锦绣澜湾」正在热销中!在售建面约89-127㎡三房!现房,即买即住!
1地段
交通方面,陆家嘴锦绣澜湾距离18号线航头站约1.6km,周边步行可达的范围内,商业步行街、生鲜超市、卖场、公园等配套完善。
教育方面,周边有尚德实验学校(航头分校)、航头学校、下沙学校等,学习氛围浓厚。
商业方面,项目周边有苏航生活广场、咸塘小镇商业步行街,往南600米为航头镇文化中心和人口文化风情园。
2产品
项目基本信息:
2022年7月25日,二批次土拍,上海祝湛建设发展有限公司(陆家嘴)以底价316580万元竞得浦东新区航头镇商贸中心单元(PDS1-0203)A2A-06、A2B-04地块,房地联动价4.83万/㎡!
项目总投资约50亿元,将为航头镇提供约1300套高品质商品住宅,计划于2025年10月竣工交付。
「陆家嘴·锦绣澜湾」位于浦东新区航头镇航头商贸中心单元A2A-06、A2B-04地块,东至A2B-03地块,南至航潭路,西至A2A-05地块,北至A2A-05、A2B-03地块。
项目占地面积约6.9万平方米,总建筑面积20.5万平方米,其中地上建筑面积13.9万平方米,地下建筑面积为6.6万平方米。
样板间实拍图
项目户型图如下:
项目最新实景图如下:
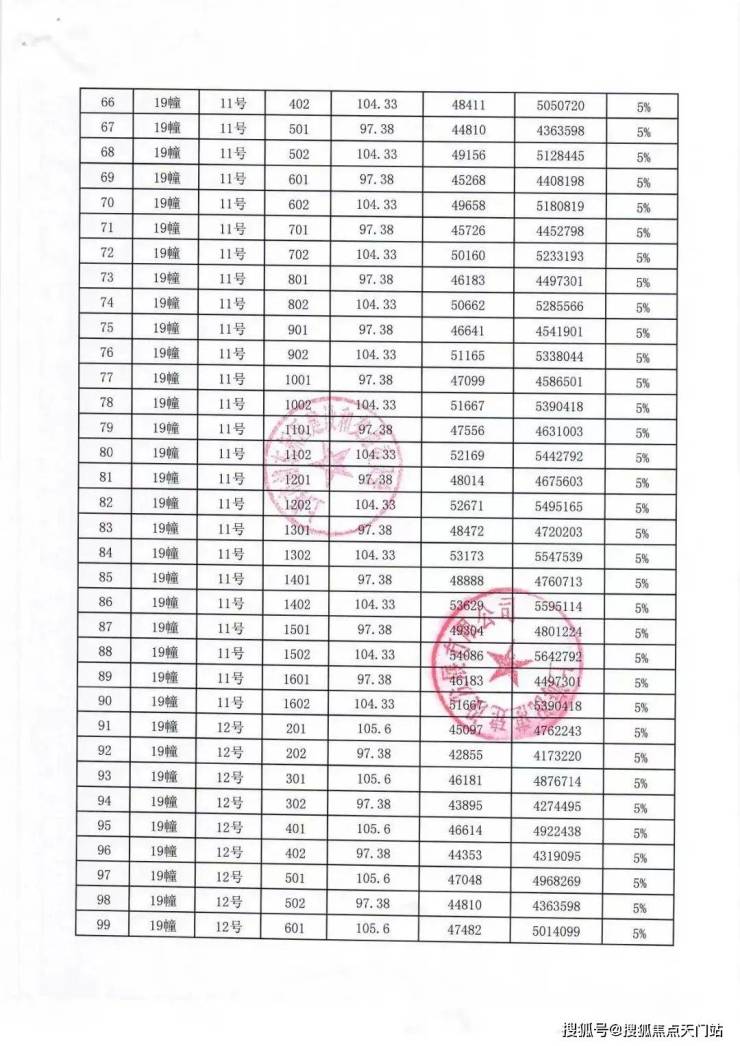
一房一价表:
陆家嘴锦绣澜湾售楼处电话:400-118-3159(已认证)有问题可来电咨询,预约销售专员,一对一为您服务!
声明:本文由入驻焦点开放平台的作者撰写,除焦点官方账号外,观点仅代表作者本人,不代表焦点立场。
