海上清和玺
售楼处电话:400-1787-138(已认证)
营销中心热线:400-1787-138(欢迎致电)
售楼处预约电话:400-1787-138☎☎☎如有问题可来电咨询,预约销售专员,一对一为您服务!

⛩项目名称:「海上清和玺」五期
👑项目简介:徐汇长桥 品质住宅
🗣最新动态:已过会,7月23号认购
📍区域板块:徐汇滨江
🏠产品介绍:建面约111-141㎡三房四房,均价约11.91万/㎡
🚇交通配套:15号线、23号线(在建)双轨交
🛍️商业配套:百万方体量商业配套,荟藏全球潮牌,周边3.5公里涵盖百万方总体量商业配套,如徐家汇商圈、徐汇万科中心、鑫耀光环live、西岸凤巢、前滩太古里等
🏫周边教育:周边有上海逸夫小学、园南小学、园南中学、上海小学、上海中学等优质教育资源
休闲配套:距离上海植物园直线距离约1.3公里






1地段
海上·清和玺项目奢享主城醇熟资源,生活的温度都在此处。既有未来的发展潜力,也有独属当下的海派日常,贵雅如诗。
徐汇文教区,家门的城市文脉底蕴。徐汇作为教育大区,浸润百年书香底蕴,以文教区为教育核芯,书香名校坐落,可谓真正的名家熏陶。
上海逸夫小学:徐汇“四大民办之一”的重点小学,历届毕业生多考入华育、世外、华二、上宝、西南位育等沪上名初。
园南小学/园南中学:园南小学现为联合国EPD课题研究成员学校、区科研先进集体;园南初中是徐汇第一公办初中,历年中考升学率约70%、市重点率30%区重点率19%。
上海小学/上海中学:百年历史名校,始创于清光绪二十九年(公元1903年),上海中学是四校之首/市重点/一流大学的摇篮;历年高考重本率高达95%,一本率99%。(*方便读者了解项目周边情况,本资料宣传对项目周边幼儿园、学校等教育资源的介绍旨在提供相关信息,并不意味着本公司对就学安排作出承诺)
实拍图,来源于网络

上海南站,未来虹桥之后的第二大城市枢纽。上海南站设施更新改造工程已经正式启动,未来改建完成后将大大提升其运输能力和服务水平,将与上海东站和虹桥站连接,成为上海市第二大枢纽站。(信息来源:光明网《重磅!上海的火车站又将“+1”,毗邻浦东机场,未来比肩虹桥》)

实拍图,来源于网络
除此之外,日常出行更有15号线、23号线(在建)双轨交通达。直线距离约700米15号线罗秀路站点、直线距离约1公里23号线龙瑞路站点(在建中)双行系统,满足日常出行,可快速抵达徐汇商圈。
中环高速轻松链接上海高速路系统,便捷通达前滩、徐家汇核心商圈。直线距离约50米即可抵达,快速接入城市快速路体系,日常陪家人自驾露营,节日郊游,便捷出行畅行无忧。

示意图
日常生活方面,海上·清和玺坐拥公园绿意的熏陶与潮流商业的繁华。家门口的4A级景区,上海植物园。一部植物学的百科全书,孩子从小的自然探索启蒙之地;百万方体量商业配套,荟藏全球潮牌,周边3.5公里涵盖百万方总体量商业配套,如徐家汇商圈、徐汇万科中心、鑫耀光环live、西岸凤巢、前滩太古里等,轻松满足人们日常娱乐消费需要。
实拍图,来源于网络

2产品
海上·清和玺的外立面,第一眼即惊艳!其以现代美学融合海派文化,并融合了中西方的精髓,采用了大面积铝板,极致通透又温润雅致。

再仔细看细节,顶部香槟金色格栅塔冠以及壁柱采用香槟金和白色色调,将海派与现代之美生动演绎。
基座更是采用大面积石材搭配艺术玻璃及古铜色金属窗框,辅以奢石、艺术等点缀,打造极致归家体验。如此颇具辨识度的外立面,未来势必将刷新区域天际线,形成徐汇一道亮丽的风景。
度假式风雨连廊+主题架空层
海上·清和玺在社区景观的打造上也很用心,一条风雨连廊巧妙地将自然与建筑融合在一起。水景、绿篱、休憩平台......一步一景,堪比度假。下雨天,廊下倚栏听雨,急雨声如瀑布,密雨声比碎玉;艳阳天,穿廊而过,自有一片屋檐蔽日。


部分楼栋还为业主定制了七大主题架空层,商务办公、休闲品茗、健身、社交娱乐、亲子互动、儿童娱乐全覆盖。

住在这里,下楼就能和邻里促膝谈心,闺蜜们时不时约个下午茶,感受生活的惬意;老人们叫上老友,在这里“棋逢对手”;孩子们在另一边做作业、看书、做游戏;忙碌了一天的大人下了班,在这里放空发呆,哪怕是静静地听着风声,也是一种享受。
一路定制的游园式归家动线,让业主目之所及均为风景;中央会客花园内,绿植四季皆景,中央庭院景观轴上,则布局双下沉式庭院增添社区精致错落的氛围,提升归家仪式感的同时,给予业主家的温馨。

无界中央车库

海上·清和玺的车库绝对称得上的卷王天花板!不仅精装交付,还有独具匠心的中央车站,地上/地下双入户大堂,局部楼层还具备地下采光,不管步行还是车行回家,一路都是满满的尊贵仪式感。
对了,项目还贴心配置了专属洗车空间,让业主足不出小区就能随时清洗爱车,省心又便捷。
正所谓“无会所、不奢宅”,海上·清和玺的会所,无论是配置还是能级都堪称震撼,分分钟带给你多样高定生活之旅。

在 无界泳池 享受无界生活,一抬头就是璀璨星空;在高端私宴厅宴人情往来、度过美好“食”光;
在室内顶级健身房畅享非凡运动体验;在室内高尔夫体验挥杆的快乐......这样的场景,想想就很期待。

海上·清和玺的细节打造,同样不遗余力。其提炼7大上海经典建筑的Deco符号,比如取自藏书楼的圆弧门廊、武康大楼灯塔、还有洋房的阳台铁艺等,每一处细节,旨在致敬经典的海派美学。

塔尖生活服务

在海上·清和玺,从楼栋管家,到私密安保、社区大堂,再到圈层活动等都能享受塔尖般极致服务,不论是家电维修应急、宠物托管喂养、爱车清洗、地毯清洗,还是外卖、快递配送,儿童生日PARTY现场布置,都有专人定制,主打一个舒适、安心。
最后,我们回归到居住产品。1000万的总价门槛,在徐汇以及徐汇滨江的沿线生活带上,是一个相当“亲民”的购房券。
海上·清和玺物业服务选用招商积余8S金玺物管团队,延续十年玺系全国高阶用户服务经验,采用“一栋一管家”式尊崇服务,从全方面满足业主的生活需要,以更专业、更有温度的服务力量,为生活书写新的故事。

应对生活不同可能,发现美好的万千享法,金玺管家12项日常呵护,9大定制级奢享,从细节提升服务品质与质量。

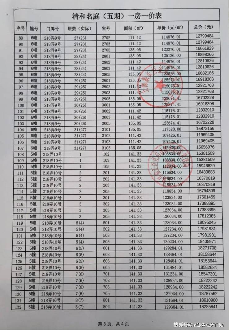
徐汇海上·清和玺洋房已于日前迅速售罄,据悉即将加推加推9 10号,楼王位置,112-143平三房四房!

五期户型图如下:



样板间实景图









实拍图如下:



海上清和玺
售楼处电话:400-1787-138(已认证)
营销中心热线:400-1787-138(欢迎致电)
售楼处预约电话:400-1787-138☎☎☎如有问题可来电咨询,预约销售专员,一对一为您服务!
