盛青云锦官方网站-上海盛青云锦售楼处电话–楼盘详情-交房时间-地址-最新房价户型图-小区环境-楼盘详情-交房时间-周边配套-售楼处电话

搜狐焦点天门站 2025-12-20 16:20:00
用手机看
扫描到手机,新闻随时看

扫一扫,用手机看文章
更加方便分享给朋友

盛青云锦售楼处电话:400-8669-938

盛青云锦售楼处电话:400-8669-938

「盛青云锦」

青浦新城·地铁17号线约800米

建面约103-166㎡3-4房

均价4.43万/㎡ 总价约356万起

样板房提前线上预约

样板房开放中

项目线上预约看房

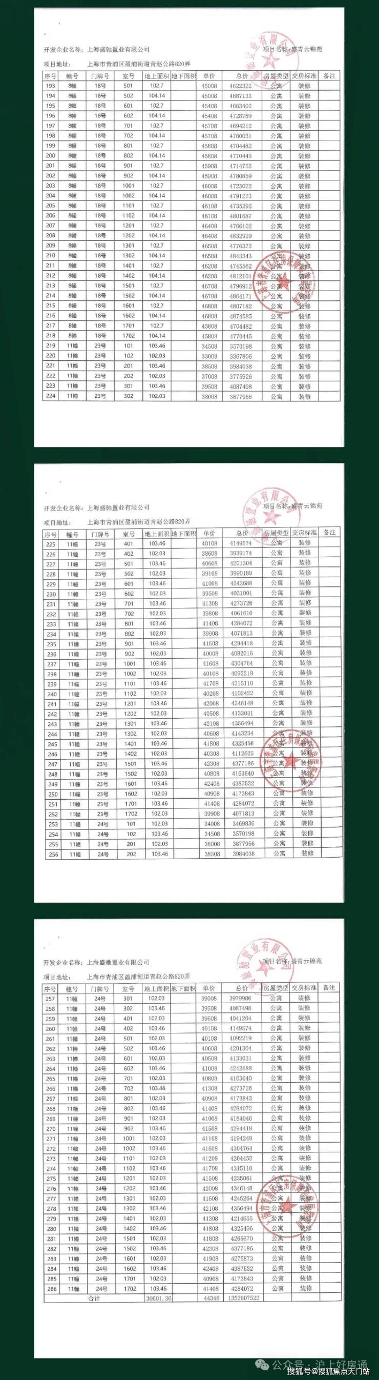
项目一房一价表▼

项目一房一价👇

«上下滑动查看»

前期一房一价表▼

开发商品牌

国匠盛青,青浦腾飞执笔者

上海盛青房地产发展有限公司(以下简称“公司”),公司成立于2003年,青浦区属三级公司,由“上海青浦房屋管理有限公司”全资控股,深耕上海青浦二十载,步履不停,让城市生活更美好。

盛青“云”字系 高品质人居范本

国匠盛青第二个“云”字系升级作品,在板块、社区、户型、精装等实现全维度升级,打造城市滨水人居范本。

项目位于城区核心区内,东侧临河及七彩公园,地块内有水系,北侧为公园,水系、绿地天然资源极其丰富。

【建筑风格】现代简约风,外立面采用大面积玻璃加铝板,打造非对称L型立面,材质造价更高,抗腐蚀性程度更高。

主体色彩采用带光泽感的金属色、米黄色系列,更能体现细腻的质感和高雅的建筑品质。

【北区入口】尺度大气的现代风格门头,入口展现艺术水苑、叠水瀑布以及层级绿化,彰显归家仪式感。

【三重水系】东侧近邻城西河,北侧紧邻绿地水系公园(斥资1.1亿打造),一条滨水东西向穿过社区。

【归家礼序】以一轴一带多境的格局,打造迎宾客厅、仪式水景、景观连廊、艺术水苑、森氧绿境、精装大堂六重归家礼序。

【户外泳池】社区提供专属户外泳池,舒适的社区会客厅,儿童戏水池和阳光草坪。在这里,随时享受畅游乐趣,享受高品质生活体验。

【风雨连廊】配备休闲座椅,为业主遮风挡雨,营造更加尊贵的生活体验。

【多功能架空层】融休闲会客、儿童空间、老年活动、文化展示、社区康体等功能于一体,匹配更多人群的需求。

项目推售详情

【盛青云锦】项目共14幢14-17层的小高层,共有4个面积段7个户型,建筑层高最低约3.15米。 主要户型面积有103㎡、104㎡、166㎡三种面积(4个房型)

项目本批次加推301套103-197㎡滨水奢宅,精装交付。

项目层高达到约3.15-3.3米(103-166㎡户型是3.15m层高,197㎡户型是3.3m层高),20cm层高的跃升,不仅让室内更通透, 中央空调、地暖、新风装完后不显压抑, 多出来的空间可放置更高的储物柜,增加收纳空间。

1)建面约103㎡3房2厅2卫边套户型

做到了 三个面采光+双开间朝南+主卧套房设计+南北通透,室内通透明亮。

约5.6米阔绰边厅+景观大飘窗的设计,将阳光和景观充分引入室内。

该户型有着 约78%的超高得房率,居住舒适度拉满!

盛青云锦建面约103㎡3房样板间实拍视频▼

边套竖厅户型,让动线更为灵活自由,将“走道”纳入使用空间,巧妙地避免了走道浪费面积,本质意义上是对于生活动线的优化,无疑彰显了开发商对于居住品质的不懈追求和对于生活美学的深刻理解。

超高窗墙比,更使其充满空间的张力,以突破极值的姿态全面刷新家庭对于采光、通风、视野和开敞尺度感的追求标准。

约3.15米的奢侈层高,你买的不只是平方,更是立方,高门华屋的气度超乎想象,光与影于此恒久的竞演,塑就一方宁静的空间。

主卧套房尺度阔绰,空间绰绰有余,三房功能性齐全。每个卧室不止追求奢华的尺度,更在意人的尺度。

只计算实实在在的得房率,性价比也是超乎想象,更大的套内使用面积,更阔绰的活动空间,更惬意舒适的采光,在上海这片寸土寸金的土地,更意味着省钱。

入户特别设置独特的多变收纳空间,居住体验和舒适度更高,功能性和尺度感更强。储藏室和衣帽间随心转换,满足了家庭琐碎物件的储存,足以打动每一个收纳达人的心。

2)建面约104㎡3房2厅2卫中间套B户型

做到了 四开间朝南+全卧室带飘窗+主卧套房设计,采光面拉到极致。

客餐厅相连的大横厅,匹配同尺度超大面宽阳台,室内阳光满溢。

盛青云锦建面约104㎡3房样板间实拍视频▼

样板房实景图

3)建面约104㎡3房2厅2卫,中间套D户型

做到了 三开间朝南+主卧套房设计+朝南卧室带飘窗+动静分离,采光和通风俱佳。

与B户型不同的是,该户型竖厅设计,很好的做到了动静分离,居住舒适度也非常不错。

4)建面约166㎡4房2厅3卫

做到了 3+1开间朝南+双套房设计+卫生间干湿分离是“一步到位”的进阶改善4房!

LDBK大边厅,270°飘窗+宽景阳台,拥有极奢侈的瞰景视野;

有别于常规户型,4房2厅3卫的格局要比常规户型多出“1卫”,能更好满足大家庭多样化的生活需求!其中南向双套房设计,每个家庭成员都能有自己的小天地。

盛青云锦建面约166㎡4房样板间实拍视频▼

5)建面约145㎡3+1房2厅2卫,建面约197㎡4房2厅3卫

这2个户型都是 进阶改善产品,做到了 独立电梯厅+超大面宽采光面+双阳台+主卧套房设计,且位于 社区央芯,纵览社区内外美景,彰显主人尊贵身份。

约197㎡户型,更约是做到双套房设计,适配大家庭多样化的生活需求!

项目区位配套

1、锦绣青浦——国家级战略腾飞

青浦新城作为连接长三角一体化示范区与虹桥国际枢纽 2.0(“大交通”、“大会展”、“大商务”、“大科创”)的关键节点,是上海面向长三角的“桥头堡”和“领头雁”,青浦新城的规划定位是对话全球、辐射长三角及更广大内陆的“窗口”和“中枢”。

2、青浦新城中央商务区——约6.5平方公里示范样板区

处于长三角数字干线、外青松公路产城融合发展轴的交汇点,承担引领新城两个扇面双向开放的重要角色,未来将要打造成“创新型中央活动区,新江南共享智慧岛”,成为现代产城融合区。

【交通配套方面】—— 直线距离17号线地铁站仅800米

四横:城中西路、青赵路、盈港路、崧泽高架

三纵:漕稼一路、漕稼二路、漕盈公路

三轨:17号线、示范区线(规划中)、嘉青松金市域线(规划中)

漕盈路地铁站实拍

【商业配套方面】—— 黄金1.5KM繁华芯

吾悦广场商圈、百联青浦购物中心、万达茂商圈、桥梓湾商圈(未来规划为江南新天地)等商圈环伺,拥揽璀璨万象。

青浦万达茂实拍

【医疗资源方面】—— 优质医疗资源集聚

复旦大学附属中山医院青浦新城分院(规划中)、中山医院青浦分院、红房子医院青浦分院、青浦中医医院、长三角智慧医院(建设中)等医院环伺,为家人的健康保驾护航。

【人文休闲方面】—— 人文荟萃艺术熏陶

周边汇集长三角艺术中心、工业博物馆、青浦区市民中心、青浦博物馆等文化艺术配套。

【教育资源方面】—— 学府环伺智启未来

本项目北侧规划幼儿园,周边分布青浦实验中学、逸夫小学、瀚文小学、尚美中学、平和双语、复旦附中等优质教育资源。

盛青云锦售楼处电话:400-8669-938

声明:本文由入驻焦点开放平台的作者撰写,除焦点官方账号外,观点仅代表作者本人,不代表焦点立场。