2026碧云澧悦楼盘详情-碧云澧悦房价-碧云澧悦户型-碧云澧悦周边配套-碧云澧悦交房时间-小区环境-售楼处位置
扫描到手机,新闻随时看
扫一扫,用手机看文章
更加方便分享给朋友
建面约93-165㎡3-4房
过会均价约5.6万/㎡
项目二期加推7-10-11-12-13-14-15#,共394套住宅(含4套非标84㎡两房)
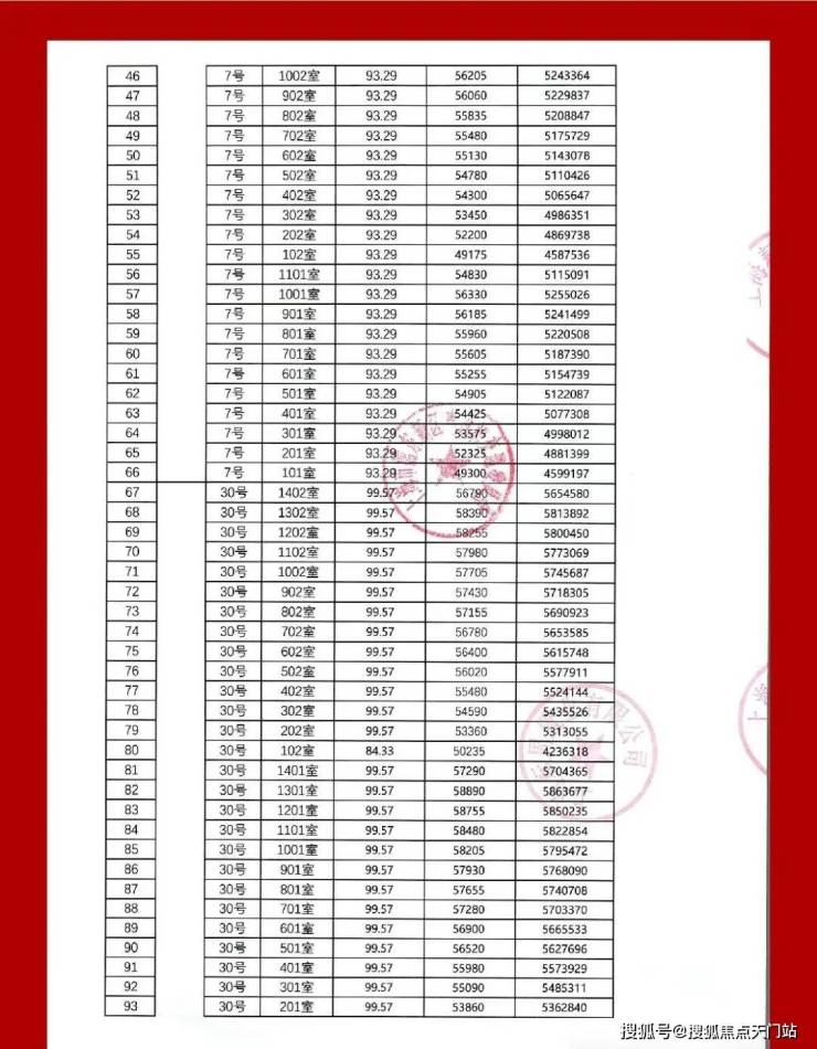
户型图如
项目地块东至周园路,西至16-01地块,南至16-03地块,北至韵涛路。根据公示,项目将拟建11F-14F住宅商品房,以及17F保障住宅,1-2F配套。
总占地面积约5.6万平方米,容积率1.8,总建筑面积15.5万平方米,其中地上建筑面积10.6万平方米,地下建筑面积为4.9万平方米。
公园住区,因低密而愈加纯粹,项目以1.8的低容积率,塑造低密人居空间的舒适尺度,疏阔的楼间距,邀阳光与风景入席,避免楼宇间贴合感,推窗即风景,给予生活更多留白。项目规划建面约93-165㎡四种主力户型,家族的生活奢想在此皆有可能。
金桥周浦项目位于浦东周浦镇,在《上海市浦东新区国土空间总体规划(2017-2035)》中,再次重点强调了周浦的定位:
至2035年,发展成为凝聚科创力量,充满人文气息的“魅力小上海”,依托张江科学城,形成以医疗服务、电子商务和时尚创意为主导产业,宜居宜业的综合型城镇。
交通方面,项目距离16号线周浦东站约1.8公里、18号线繁荣路站约2.6公里,算不上名副其实的地铁盘,可借助其他短驳交通工具,通勤到张江、前滩、陆家嘴、人民广场等核心区域还是比较方便的!
自驾出行也十分便捷,通过沪奉公路链接外环、中环、罗山高架以及申嘉湖高速等城市主干道,四通八达!
教育方面,周边有浦东新区澧溪幼儿园、傅雷幼儿园、澧溪小学、周浦第二小学、周浦实验学校、澧溪中学、傅雷中学等教育配套。
(项目周边的幼儿园、小学、中学等教育设施(如有)是城市公共生活配套的重要组成部分。本项目销售过程中,部分展示与介绍可能涉及项目周边已有或规划中教育设施,但并非项目所在的学区,本项目不承诺任何学区,介绍此信息旨在帮助客户更全面的了解项目周边条件,并不代表我公司对此提供保证。)
医疗方面,项目南侧就是浦东新区周浦医院,步行可达,可以完全满足平时基本的就医需求。
休闲方面,项目1公里范围内有周浦文化公园、周浦体育中心(在建)等配套。
浦东周浦
国企匠心 双轨臻品住宅
「碧云澧悦」二期
沪七条(2026年2月25日出台)是上海楼市针对性出台的强力救市组合拳,核心围绕放宽限购、提高公积金额度、优化房产税三大方向,精准激活刚需与改善两类核心购房需求,有效终结了楼市此前持续下行的态势,推动市场快速止跌回稳。
政策核心优化亮点突出:非沪籍购房门槛大幅降低,外环内社保/个税年限从3年缩短至1年,外环外满1年即可不限套数购房;公积金支持力度显著加大,首套家庭最高额度提至240万,多子女家庭叠加绿色建筑可高达324万,同时全面执行认房不认贷政策;此外,还明确了房产税减免细则,优化置换交易链条,进一步降低购房及交易成本。
新政落地后效果立竿见影,二手房成交量大幅攀升,单周及月度成交均创下近5年纪录,价格环比实现正增长,房东议价空间明显收窄,惜售、涨价现象增多;新房市场去化速度加快,部分市区刚需盘、近郊改善盘出现开盘即清盘的热销场景。区域分化态势清晰,市区及近郊板块回暖最为显著,远郊板块则呈现温和复苏态势,非沪籍、置换家庭及多子女家庭成为当下购房主力群体。
整体而言,沪七条成功扭转了市场此前的观望情绪,推动上海楼市快速走出低迷,进入修复性回暖阶段,不仅稳定了本地楼市预期,也为长三角乃至全国楼市释放了积极的救市信号,为房地产市场健康平稳发展奠定了基础。
声明:本文由入驻焦点开放平台的作者撰写,除焦点官方账号外,观点仅代表作者本人,不代表焦点立场。
