徐泾「绿城·春晓园 」
售楼处电话:400-118-3159
案场预约制 看房需提前来电预约登记
温馨提示:点击上方号码可直接拨打电话
请务必致电与销售确认时间,仅预约客户可进入销售现场,感谢您的支持

绿城大虹桥首作
徐泾「绿城·春晓园 」
最新鸟瞰图
均价60910元/㎡
建面约100-150㎡3-4房

8月2日上海二批次土拍第二轮,绿城以总价285574万元竞得青浦区徐泾镇双联路北侧36-01地块,地块出让面积35225.20㎡,容积率2.2,溢价率10%,楼板价36850元/㎡,房地联动价62000元/㎡。徐泾「绿城·春晓园 」
售楼处电话:400-118-3159
地块详情:

地块名称:青浦区徐泾镇双联路北侧36-01地块
四至范围:东至官路浜、南至双联路、西至经五路、北至徐德路
土地属性:普通商品房徐泾「绿城·春晓园 」
售楼处电话:400-118-3159
出让面积:3.52公顷
容积率:2.2
建筑面积:77495.44㎡
住宅套数:685套
套均面积:约113㎡

项目对于内部公共空间的设计规划有着明确的要求,包括公共设施、环形跑道、架空层、连廊等,可以满足对高端改善需求的期待,联动价6.2万/㎡!徐泾「绿城·春晓园 」
售楼处电话:400-118-3159

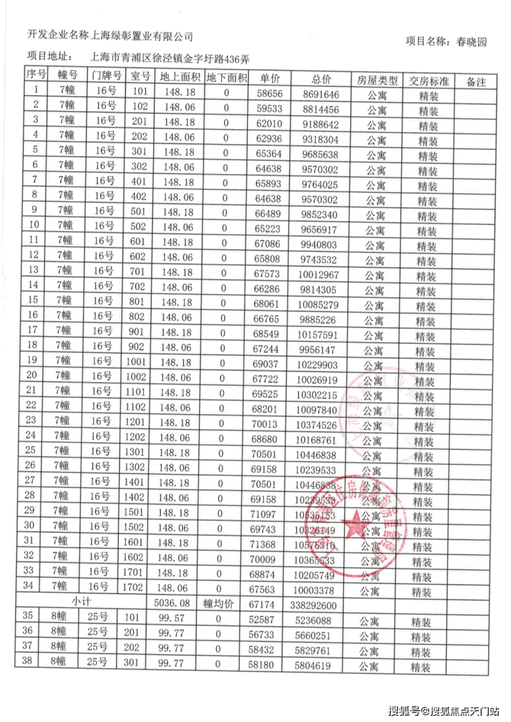
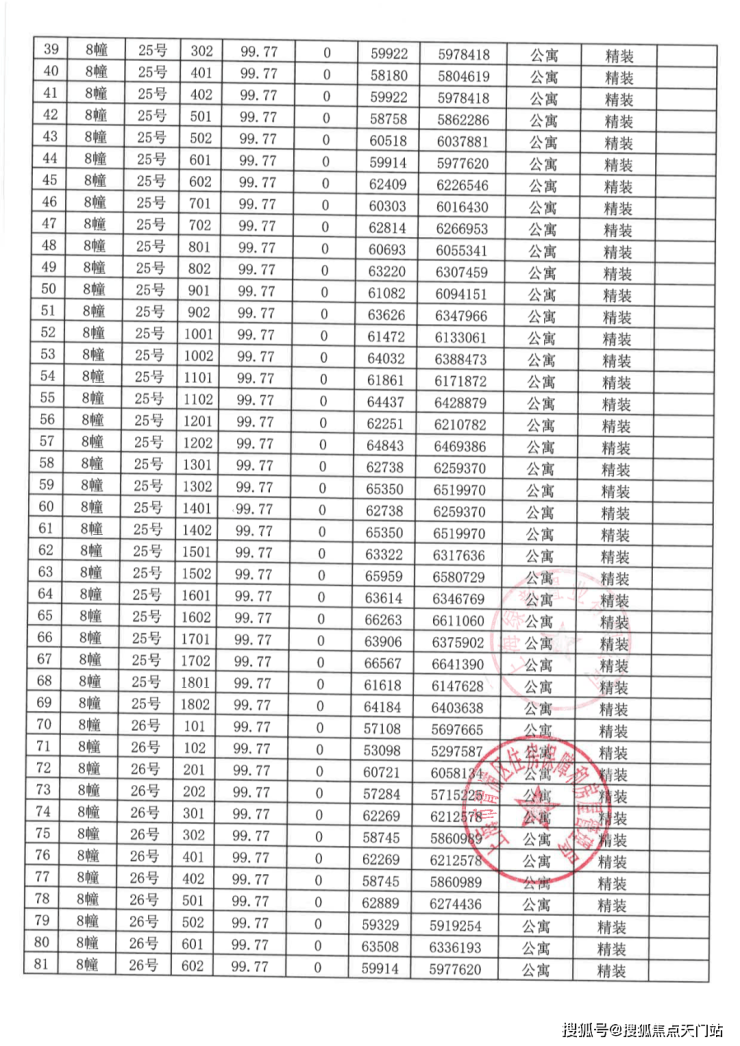
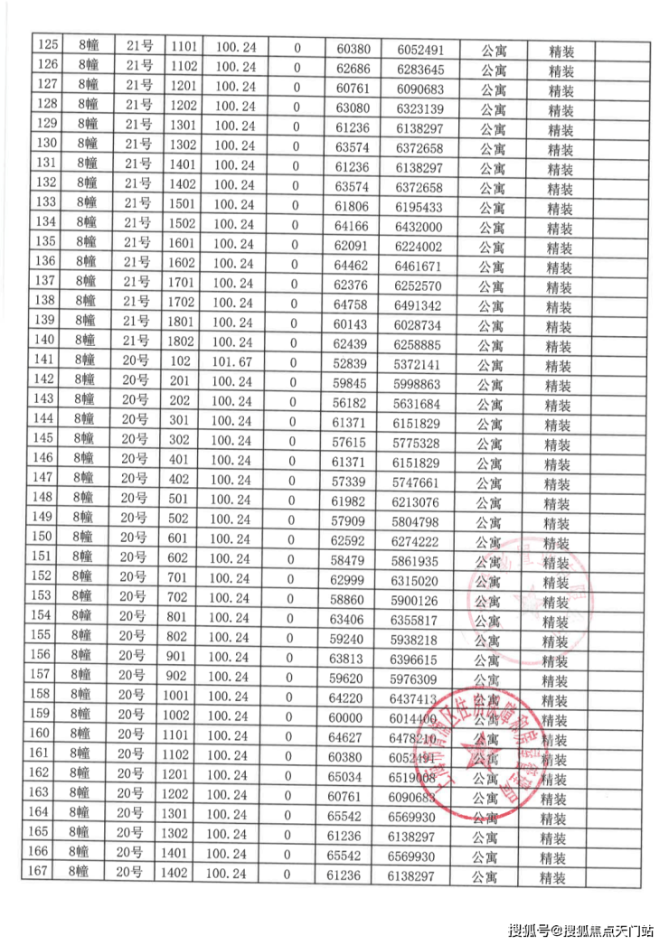
一房一价表:







交通方面:项目地块与17号线徐盈路站的步行距离仅约1公里。

徐泾「绿城·春晓园 」
售楼处电话:400-118-3159
商业方面:项目地处西虹桥15分钟生活圈城市样板区域,步行约1公里即可到达约10万方的西上海新晋网红商业中心——天空万科广场!

教育方面:徐盈国际住区足足规划了多宗教育用地,将成为整个大虹桥的教育高地。随着众多优质学校先后进驻徐泾,徐泾国际住区的教育资源也越来越强,从小学到高中全覆盖!
免责声明:对学校列举仅作描述使用,不代表或隐含开发商学区保证,具体请以政府规划为准
— 品鉴热线 —
徐泾「绿城·春晓园 」
售楼处电话:400-118-3159
案场预约制 看房需提前来电预约登记
温馨提示:点击上方号码可直接拨打电话
请务必致电与销售确认时间,仅预约客户可进入销售现场,感谢您的支持
参观鉴赏请提前2小时预约