招商时代潮派售楼处电话☎:400-1787-138✔✔✔【预约☎】 认购时间:3月22日9时至3月26日12时 认购金
50万元(个人)400-1787-138✔✔✔ 存款证明:首套70万元,二套100万元 开盘时间:3月30日10:38
招商时代潮派售楼处电话☎:400-1787-138✔✔✔【预约☎】
认购时间:3月22日9时至3月26日12时
认购金 50万元(个人)400-1787-138✔✔✔
存款证明:首套70万元,二套100万元
开盘时间:3月30日10:38
编辑

招商时代潮派售楼处电话☎:400-1787-138✔✔✔【预约☎】最新消息:西上海潮流年轻聚集地500w级TOD高品质大城超配装标+地铁+约18.5万方潮流商场『招商时代潮派』正在火爆认购中!八期推出100套建面约100㎡三房,招商时代潮派售楼处电话☎:400-1787-138✔✔✔【预约☎】
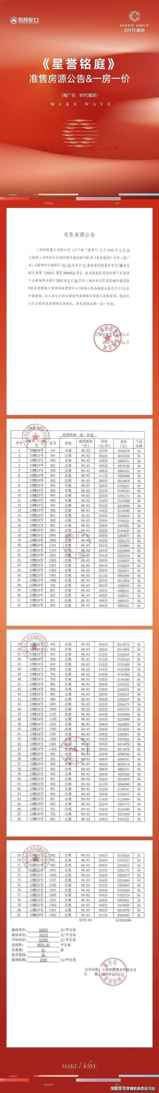
一房一价表如下招商时代潮派售楼处电话☎:400-1787-138✔✔✔【预约☎】
编辑

在“站、城、人”一体化的TOD4.0模式之下,招商时代潮派售楼处电话☎:400-1787-138✔✔✔【预约☎】立足9号线的招商时代潮派为上海擘画了一座约50万方的“微缩大城”,为松江标定了一处全新的潮流坐标,也为西上海带来了一种全新的生活体验。
于时代澎湃处
筑就无界共融的理想大城招商时代潮派售楼处电话☎:400-1787-138✔✔✔【预约☎】招商时代潮派有别于以往的TOD,招商时代潮派售楼处电话☎:400-1787-138✔✔✔【预约☎】在约50万方的基底之上,向内聚合商业、住宅、文化、酒店,于外近赏教育、医疗、办公、绿地(最终以政府规划文件为准)等多元配套,在复合的链接下,围合一座丰盛多元的醇熟大城,为上海献上TOD理想生活的全新范本。
编辑

(示意图)招商时代潮派售楼处电话☎:400-1787-138✔✔✔【预约☎】
·一座澎湃西上海的超级枢纽
依托地铁9号线,招商时代潮派售楼处电话☎:400-1787-138✔✔✔【预约☎】招商时代潮派为西上海带来一座同频国际的超级TOD枢纽。
公交、出租、有轨电车存车线(规划中)、PR换乘、非机动车等多种交通方式打造超30000㎡超级交通枢纽,带来更加便捷、多元的出行方式,快速通达全城,链接着同频世界的精彩。招商时代潮派售楼处电话☎:400-1787-138✔✔✔【预约☎】
而枢纽之下带来的密集人流加上周围成型的生活圈意味着区域内将形成后劲十足的消费潜力,作为枢纽中芯的花园城,将链接了西上海的巨大流量,以“流量”赋能经济“增量”,助力泗泾城市能级的跃升。
编辑

招商时代潮派售楼处电话☎:400-1787-138✔✔✔【预约☎】
编辑

·一座约18.5万方的潮流商业钜制招商时代潮派售楼处电话☎:400-1787-138✔✔✔【预约☎】
如果说9号线的超级枢纽是这座大城的“源点”,招商时代潮派售楼处电话☎:400-1787-138✔✔✔【预约☎】那么一座汇聚潮流与时尚的多元商业则将成为未来生活的中芯聚点。
(效果图)招商时代潮派售楼处电话☎:400-1787-138✔✔✔【预约☎】
编辑

泗泾花园城定位打造“青质潮流生活新样本”,招商时代潮派售楼处电话☎:400-1787-138✔✔✔【预约☎】在业态布局上未来即将创新打造“新风潮”(运动潮牌、国际快时尚、设计师品牌等)、“新乐潮”(新兴娱乐、沉浸体验等)、“新夜潮”(酒馆清吧等)、“新文潮”(文创空间等)四大主题。同时,在场景空间上也将规划城市客厅、宠物社交、户外运动等多元主题聚集地。
(效果图)招商时代潮派售楼处电话☎:400-1787-138✔✔✔【预约☎】
编辑

·一座潮奢主义的理想住区招商时代潮派售楼处电话☎:400-1787-138✔✔✔【预约☎】
生活,招商时代潮派售楼处电话☎:400-1787-138✔✔✔【预约☎】是永恒的主题。
为了打造一座当代年轻人理想中的栖居之所,招商时代潮派在设计中以自然、松弛、社交、度假等关键词为灵感,在“一带、一轴、一环、两堂、两庭、四园”的规划,回应都市人群对于居住与精神的诉求。
(实景图)招商时代潮派售楼处电话☎:400-1787-138✔✔✔【预约☎】
编辑

东侧人行的社区门庭蓝翡翠奢石、招商时代潮派售楼处电话☎:400-1787-138✔✔✔【预约☎】以及甄选的2颗对景罗汉松,到度假式园林中诗意的林下跌水,从全龄架空层中的天山暮雪,到归家大堂中仿云石艺术玻璃以及蓝金沙岩板….仔细品味便会发现,时代潮派的每一处,都有超高颜值相伴。
(实景图)招商时代潮派售楼处电话☎:400-1787-138✔✔✔【预约☎】
编辑

招商时代潮派售楼处电话☎:400-1787-138✔✔✔【预约☎】
编辑

全龄架空层(13幢)容纳邻里间的温情、招商时代潮派售楼处电话☎:400-1787-138✔✔✔【预约☎】水岸会客厅是家之外的第二客厅、艺术家乐园陪伴孩子们的成长…...一方亲近自然的空间,解锁生活里的更多的可能,和同频的人随时随地“玩”在一起。
编辑

精质空间应势加推
焕新潮流生活新享法
高品质的生活,招商时代潮派售楼处电话☎:400-1787-138✔✔✔【预约☎】不止在于门头、社区、景观……更在于日久相伴的居住空间。一个好格局、好尺度的户型,不仅是资产配置的优选,更能为全家人创造舒适幸福的生活。
·建面约99㎡超配三居 耀目加推招商时代潮派售楼处电话☎:400-1787-138✔✔✔【预约☎】
建面约99㎡的C1户型带来新风、地暖、空调三大件,带来全天候的舒适体感与清新空气,为家人的健康保驾护航;除了洗碗机在内的厨房三件套,更是贴心引入集成线性凉霸,让每一次下厨都成为一种享受;卫浴双智能马桶(2卫户型),让生活智享洁净;主卫美妆冰箱,更为爱美的女主人带来精致体验;而玄关入口处精致的花纹、极具质感的背景墙、优雅的弧形吊顶、典雅的人字拼地板……无一不彰显着惬意质感。招商时代潮派售楼处电话☎:400-1787-138✔✔✔【预约☎】
编辑

编辑

招商时代潮派售楼处电话☎:400-1787-138✔✔✔【预约☎】
编辑

(创意展示空间图)
温馨提示:招商时代潮派售楼处电话☎:400-1787-138✔✔✔【预约☎】上图为创意展示间实景图,非实际交付为准。展示的尺寸、图片、文字描述、材质工艺、装修标准、空间布局、家具陈设、设施设备及所有细节均仅供参考,实际交付标准及买卖双方的权利义务以双方订立的商品房购房合同及其附件、补充协议为准,请留意最新资料。招商时代潮派售楼处电话☎:400-1787-138✔✔✔【预约☎】
·建面约143㎡奢适四居 收官大宅
时代潮派7批次,为西上海带来臻稀的低密滨水洋房。
建面约143㎡全能性改善大四房,室内空间完整方正,营造舒适的视觉感受。为了实现更好的陪伴场景,建面约143㎡半开放式的厨房、餐厅、客厅与阳台相链接,形成奢阔LKDB家庭社交空间,重拾家庭成员之间的亲密关系。
编辑

U型厨房设计,让烹饪更为流畅;主卧套行政套房设计,步入式衣帽间、独立卫浴让生活更加从容;主卫专门定制美妆冰箱,有序收纳女主人的化妆品……
招商时代潮派售楼处电话☎:400-1787-138✔✔✔【预约☎】
建面约89㎡样板间实拍
编辑

招商时代潮派售楼处电话☎:400-1787-138✔✔✔【预约☎】
编辑

招商时代潮派售楼处电话☎:400-1787-138✔✔✔【预约☎】
编辑

招商时代潮派售楼处电话☎:400-1787-138✔✔✔【预约☎】
编辑

招商时代潮派售楼处电话☎:400-1787-138✔✔✔【预约☎】
编辑

招商时代潮派售楼处电话☎:400-1787-138✔✔✔【预约☎】
编辑

招商时代潮派售楼处电话☎:400-1787-138✔✔✔【预约☎】
编辑

招商时代潮派售楼处电话☎:400-1787-138✔✔✔【预约☎】
编辑

招商时代潮派售楼处电话☎:400-1787-138✔✔✔【预约☎】
建面约99㎡样板间实拍
编辑

招商时代潮派售楼处电话☎:400-1787-138✔✔✔【预约☎】
编辑

招商时代潮派售楼处电话☎:400-1787-138✔✔✔【预约☎】
编辑

招商时代潮派售楼处电话☎:400-1787-138✔✔✔【预约☎】
编辑

招商时代潮派售楼处电话☎:400-1787-138✔✔✔【预约☎】
编辑

招商时代潮派售楼处电话☎:400-1787-138✔✔✔【预约☎】
编辑

招商时代潮派售楼处电话☎:400-1787-138✔✔✔【预约☎】
编辑

招商时代潮派售楼处电话☎:400-1787-138✔✔✔【预约☎】
编辑

招商时代潮派售楼处电话☎:400-1787-138✔✔✔【预约☎】
编辑

招商时代潮派售楼处电话☎:400-1787-138✔✔✔【预约☎】
编辑

建面约125㎡样板间实拍招商时代潮派售楼处电话☎:400-1787-138✔✔✔【预约☎】
编辑

招商时代潮派售楼处电话☎:400-1787-138✔✔✔【预约☎】
编辑

招商时代潮派售楼处电话☎:400-1787-138✔✔✔【预约☎】
编辑

招商时代潮派售楼处电话☎:400-1787-138✔✔✔【预约☎】
编辑

招商时代潮派售楼处电话☎:400-1787-138✔✔✔【预约☎】
编辑

招商时代潮派售楼处电话☎:400-1787-138✔✔✔【预约☎】
编辑

招商时代潮派售楼处电话☎:400-1787-138✔✔✔【预约☎】
编辑

招商时代潮派售楼处电话☎:400-1787-138✔✔✔【预约☎】
编辑

招商时代潮派售楼处电话☎:400-1787-138✔✔✔【预约☎】
编辑

招商时代潮派售楼处电话☎:400-1787-138✔✔✔【预约☎】
编辑

招商时代潮派售楼处电话☎:400-1787-138✔✔✔【预约☎】
编辑

招商时代潮派售楼处电话☎:400-1787-138✔✔✔【预约☎】
编辑

招商时代潮派售楼处电话☎:400-1787-138✔✔✔【预约☎】最新消息:西上海潮流年轻聚集地500w级TOD高品质大城超配装标+地铁+约18.5万方潮流商场『招商时代潮派』正在火爆认购中!八期推出100套建面约100㎡三房,招商时代潮派售楼处电话☎:400-1787-138✔✔✔【预约☎】
1、房地产
是指以土地和房屋作为物质存在形态的财产。它是由房产和地产两大部分组成。所谓房产,是指以房屋作为物质载体的财产;所谓地产,是指以土地作为物质载体的财产。其特征有:(1)固定性;(2)永久性;(3)个别性;(4)保值性与增值性。
2、房地产业
是指从事房地产开发、经营、管理和服务的产业。它包括:土地的开发、房屋的建设、维修、管理,土地使用权的有偿划拨、出让、转让、房屋所有权的买卖、租赁、典当、房地产的抵押,以及由此形成的房地产市场。
3、三通一平
是指建设前期的开发工作,指施工现场达到路通、水通、电通和场地平整。“三通”是把开发区红线以外的道路,给排水管道、供电线引入施工现场,“一平”是把施工现场的土地进行平整。
4、七通一平
指大的开发区或重要的开发项目施工准备工作的要求。“七通”包括道路通、给水通、排水通、电力通、通讯通、煤气通、热力通。“一平”是土地平整。
5、规划红线
是对建设用地范围的标定,通常以用地角点的城市坐标或参照建筑物距离给定。
6、保障性住房
是与商品性住房(简称商品房)相对应的一个概念,保障性住房是指政府为中低收入住房困难家庭所提供的限定标准、限定价格或租金的住房,由廉租住房、经济适用住房、两限房和政策性租赁住房等构成。
7、经济适用房
指具有社会保障性质的商品住宅,是国家为解决中低收入家庭住房问题而修建的普通住房,具有经济性和适用性的特点。这类住宅因减免了市政配套等费用,(其中包括免去土地出让金,削减了市政配套费用的50%,并且优先享受银行信贷,其成本低于普通商品房,并且规定了较低的固定利润率3%),故又称经济实用房。
8、政策性租赁住房
某些地区也叫公共租赁房,归政府或公共机构所有,用低于市场价或承租者能承受的价格向新就业职工出租。其目的是解决家庭收入高于享受廉租房标准而又无力购买经济适用房的低收入家庭的住房困难。
9、两限房
全称为限房价、限套型普通商品住房,也被称为“两限”商品住房。两限房指经城市人民政府批准,在限制套型比例、限定销售价格的基础上,以竞地价、竞房价的方式,招标确定住宅项目开发建设单位,由中标单位按照约定标准建设,按照约定价位面向符合条件的居民销售的中低价位、中小套型普通商品住房。目前情况来看,首批限价房规定:限价房的套型建筑面积全部为90平方米以下。
10、自住型商品房
北京市住建委2013年首次推出自住型商品房,此类住房价格比周边商品住房低30%左右,面向全市符合限购条件的家庭;购买此类住房后五年内不得上市,五年后上市收益的30%上交财政。套型建筑面积以90㎡以下为主,最大套型建筑面积不得超过140㎡
11、商品房分类
按用途,可分为住宅、写字楼、商铺等;按楼层,可分为低层、多层、小高层、高层、超高层等。
12、低层建筑
指1-3层的住宅建筑。多层建筑:指4-6层的住宅建筑。中高层建筑:指7-9层的住宅建筑。高层建筑:指10层至10层以上的住宅建筑或总高度超过24米的公共建筑及综合性建筑。超高层建筑:指高度超过100米的住宅或公共建筑。
13、住宅的耐久年限
即住宅的使用寿命一般为50年。
14、会所
以所在物业业主为主要服务对象的综合性康体娱乐服务设施。
15、塔楼
以楼梯、电梯为核心所组成的住宅(一般为高层住宅)。
16、板楼
由多个单元排列组成的住宅。
17、跃层
一套住宅占有上、下两个楼层,上下层不通过公共楼梯而采用户内独有的内部楼梯联系上下层。
18、复式
在建造上仍每户占有上下两层,但实际是在层高较高的一层楼中增建一个夹层。
19、错层
户内楼面高度不一致,错开之处有楼梯联系。但没有完全分为两层。(适合大面积住宅,小户型会显得局促)
20、进深
一间房屋从前墙皮到后墙皮之间的实际长度。
21、开间
住宅的宽度,指一间墙皮到另一面墙皮之间的实际距离,也叫面宽。
22、标准层
平面布置相同的楼层。
23、层高
房屋一层的高度。指下层楼板面到上层楼板面之间的距离。
24、净高
下层地板面或楼板上表面到上层楼板下表面之间的距离。净高和层高的关系可用公式表示为:净高=层高-楼板厚度。
25、建筑间距
是指建筑之间应保持的合理距离。通常以日照间距来确定。即冬至正午时太阳光照经前幢房屋后檐至后幢房屋底楼窗台时两幢建筑之间的距离。确定标准:日照标准,住宅底层满窗日照不少于连续1小时(冬至日)或连续2小时(大寒日)。
26、日照间距包括正面间距和侧面间距
27、日照间距系数
按照日照标准确定房屋间距与遮挡房屋檐高的比值,板楼正南正北1.6、倾斜20度以上1.4。
28、户型
每户居室的数量和大小。户型比:各种户型在总户数中所占的比例。
29、房屋产权
指所有者对财产的占有、使用、收益和处分的权利,是物权的一种。指房产所有者按国家法律规定所享有的权利。
30、建筑面积
套内建筑面积分摊的公用建筑面积。