海上清和玺售楼处电话:400-8669-938
编辑

徐汇爆款「海上清和玺」!112-143㎡!珍藏奢适双楼王!一房一价首发!徐汇海上·清和玺项目6月四批次加推即罄!认购率达220%!
本月迎势上新,全城久侯的双楼王楼栋,过会价格仅119182元/㎡!其中9幢均价仅11.5万/㎡,远低于多数人的预期,预测爆款!
作为全市备受认可的黄金区域,2公里内10所名校环绕、超万方超配实景已呈现,更有2000平会所+1000平架空层+中央车站+无风雨归家。
徐汇这次遇上清和玺社区内极好位置楼栋。仅154套,其中143㎡仅最后47套!强强结合,明日开启认购,本月底即将开盘!
徐汇中环旁 双地铁
一英里牵手徐汇滨江 百万方中央公园内
招商蛇口沉淀十年的「玺」系新作
海上·清和玺
推建面约112-135-143㎡3-4房高层&洋房房源
备案均价119182元/㎡
全精装修,标配泳池+会所
项目正在火热销售中
编辑

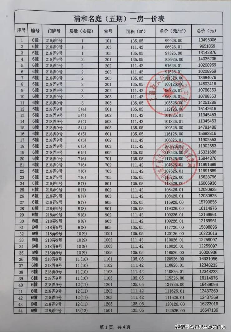
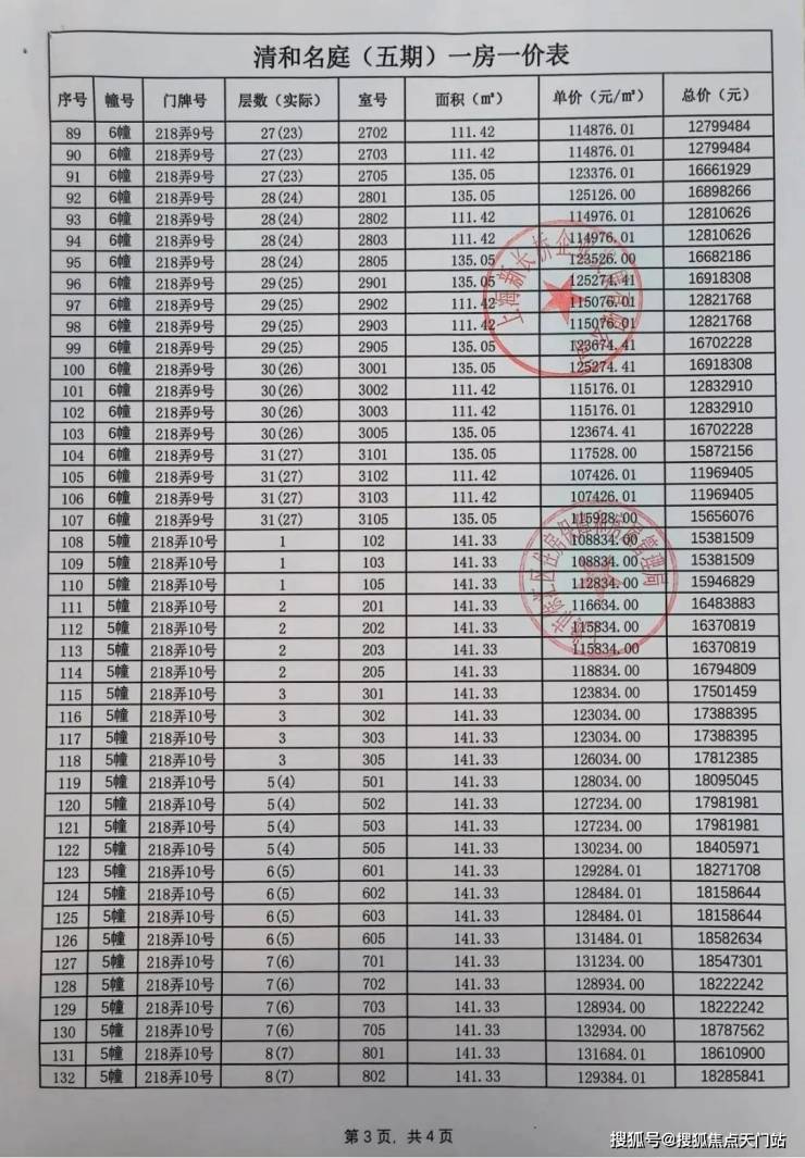
最新一房一价表公示 :
编辑

编辑

编辑

编辑

编辑

论总价,主力总价段控制在1100-1200万,1250万以内几乎随便挑选;
论单价,大多数房源控制在11万/㎡以内 , 海上·清和玺也是徐汇很长一段时间内仅有的千万级选择,你在对比将来要上市的龙华地块,性价比满满。 约134㎡大三房+约270°飘窗,是徐汇更为珍稀的三房产品, 徐汇后续未必有。即使有,价格大概率将远超现在,感兴趣的小伙伴机遇可能就这么一次,无论如何都要买到手!
编辑

01.基本信息
海上·清和玺 公区从审美、选材用料到工艺等,都领先时代,这不是一个容易复制的产品,而是一个真正为高净值人群量身定制的高端美学作品,背后凝聚开发团队巨大的人力、时间成本。惠房宝总结几点,大家也跟着最新实景图,来看一下项目惊人的兑现力。
1、超50米的气派门庭,焕新徐汇归家仪式感的尺度。 2、社区含“奢材”量很高。
编辑

门庭延街的外立面,以精工定制弧形贝金米黄大理石 为主调,镶嵌典藏级老虎玉大理石 , 点缀古铜色现代海派艺术感 灯器,整体呈现出百年海派的贵雅气质。 在门庭的环岛空间,景墙面采用中轴对称的设计布局,定制了 奢石镶嵌装饰 ,将曲面艺术与经典石器之美圆融交融。 预接待厅地面瓷砖采用 威尼斯白 与 爵士白石材拼花 设 计,纯人工铺装保证花纹的奢华质感。
编辑

编辑

甚至壁面装饰的水晶灯,都选用高规格的E9级进口水晶制作。3、海上·清和玺的空间不是简单的功能间,而是化身艺术空间。
编辑

编辑

在酒店式归家环岛中心,海上·清和玺原创了艺术装置——海派漩心。
首创经典山茶花图腾设计,其灵感源于海派建筑中的山茶花图腾,其采用了 300余枚鳞片定制,超过2000次折叠锻造, 最终才营造出眼前这般美轮美奂的冰裂纹视觉图样。 中庭大门设计为“海派光厅”,其玻璃镜面由匠人手工绘制经典海派线条,邬达克经典的纹路设计嵌于表面,同时墙面定制 优雅的奢石装饰, 整个空间既奢华又富有底蕴。4、不仅是金钱上的奢侈,更是时间广度的奢侈。
编辑

编辑

编辑

比如,整个下沉式庭院材料选用土耳其进口老虎玉,由匠人耗时60天手工打磨定制, 可见海上·清和玺对业主归家仪式感设计的用心与苛求。
海派光厅之外归家迎宾树木更是由设计师辗转多个城市才寻到的、树龄超60年的福木“紫薇”。 地上空间的美学感受随着车行归家动线也延伸到了地下,海上清和玺的地下车库,不仅精装交付,还首次提出 “中央车站” 概念。 作为地下的驱车通道,本身也是整个空间的枢纽平台,连通海派会所、地下庭院,高效抵达的同时,保证了业主的私密性,营造独一份的尊崇体验。
编辑

编辑

此外,海上·清和玺将奢宅的功能充分融入空间思考, 留有专属的访客车位,私人司机休憩室、VIP业主洗车等。 在场域设计中,空间展开成星级酒店式、可社交的中央场所,访客和业主可实现无界的会所观赏和交互。
“中央车站”的出现,打破了原有车行通道的理念,让空间更像一个可以短暂停留的开放式空间。
编辑

编辑

而在公区配置上,我认为项目可以标上海顶级豪宅。
比如,全域风雨连廊!
海上·清和玺将风雨连廊扩容为一个完整的归家体系,将整个社区以约500米全域连廊体系贯通, 真正做到全楼栋无风雨归家。比如,垂直会所体系!
编辑

在海上·清和玺,招商蛇口首次提出 “垂直会所体系” 的空间布局设计,将原本扁平式的功能布局以立体的方式重新构建,实现复合空间的多元利用。
其中会所及架空层总体量约3000㎡ , 如此大规模的定制,在整个上海高阶产品中同样也是超前列的存在。 约2000㎡地下会所内含 璀璨星空顶泳池、私宴厅、室内高端健身器材 (沃特罗伦或同等档次品牌)甚至 高尔夫场所 (高尔夫尊或同等档次品牌) 。还有七大泛会所,作为业主生活的延伸。 甚至项目在软实力上也卷到了天际, 物业采用金玺服务 ,以8S至高玺系服务标准,一栋一管家,包含快递、外卖送上门,垃圾上门回收等服务细节。
编辑

编辑

编辑

编辑

编辑

编辑

编辑

编辑

02.推售信息
海上·清和玺预计3批将推出 建面112㎡和134㎡的3房。
从定价来看, 约112㎡给足了诚意,严控价格!
论总价,主力总价段控制在1100-1200万,1250万以内几乎随便挑选;
论单价,大多数房源控制在11万/㎡以内 , 海上·清和玺也是徐汇很长一段时间内仅有的千万级选择,你在对比将来要上市的龙华地块,性价比满满。 约134㎡大三房+约270°飘窗,是徐汇更为珍稀的三房产品, 徐汇后续未必有。即使有,价格大概率将远超现在,感兴趣的小伙伴机遇可能就这么一次,无论如何都要买到手!
编辑

编辑

整体而言,无论是三口之家还是三代同堂,都能在这里找到属于自己的幸福空间。
「约112㎡ 3房2厅2卫」
编辑

先来看下建面约112㎡创意展示空间👇
入户这座 铸铝门,质感厚重; 通顶玄关柜,内置消毒精灵,奢石把手+奢石台面更显海派温润气质,玄关地面都铺上了海上·清和玺的logo拼花,小小玄关做到了既实用又美观。
编辑

进门可以看到经典的S墙设计,L型厨房操作台面,也是暗藏不少细节——玻璃移门采用 完美系列夹丝玻璃+金属造型边框,顶部配置 线性凉霸+LED嵌入式回形灯带+筒灯,灶台后侧采用大面积岩板铺设,方便清洁的同时显得厨房更加大气。厨电配置了 德国厨房顶奢品牌博世(或同等档次) 四件套抽烟机+燃气灶+洗碗机,带末端净水器,弗兰卡(或同等档次) 大单槽+可抽拉龙头,冰箱也是交付的!柜门白色烤漆面板,抽屉分区也都是帮大家细致划分,如多功能调味拉篮+谷物抽+碗碟拉篮等。岛台上配置可升降插座,铝合金抽屉,石材背景板的金属开放格实用性很强。电视背景墙采用卡慕白的石材+皮革造型,弧形吊顶,相当讲究,连空调出风口的形状都打造为海上·清和玺logo山茶花的形状~~ 三大件为大金(或同等档次) 中央空调和地暖,新风系统为百朗(或同等档次),南向阔景阳台,采光视野一级棒!
编辑

编辑

编辑

编辑

编辑

主卧套房设计, 皮革造型的床背景墙也是交付标准,台盆为唯宝(或同等档次)、龙头则为科勒(或同等档次)复古龙头,马桶为高仪智能马桶(或同等档次)。
编辑

编辑

编辑

奢石台面,皮革饰面柜抽屉,侧端设置金属收纳开放格;定制镜柜,中间的透光玉石直接提升了高级感, 镜柜内部配备了美妆冰箱+美妆灯条+轨道收纳!
编辑

编辑

建面约134㎡3房2厅2卫, 主力总价约1500-1700万,户型设计在上一个户型的基础上将各功能间尺度升级的同时,也做了一些更人性化的迭新。
主卧约270°L形飘窗设计,将窗外的美景尽收眼底,注重美观的同时,也兼顾了实用性与舒适性,让业主在繁忙的生活中也能享受到宁静与安逸。
客厅面宽约5.2米,横厅般的尺度及采光享受,使得整个空间显得格外宽敞明亮。
厨房与餐厅通过岛台相连,不仅实现了空间的流畅过渡,更彰显了豪宅的非凡尺度。
「约134㎡ 3房2厅2卫」
编辑

建面约134㎡大三房的整体空间感更强,客餐厅一体化设计,厨房也预留了岛台位置,客厅南向面宽超过5.2米,外接阔景阳台,尺度阔绰!
编辑

主卧面宽超3.6米,并别出心裁地打造了 270°转角窗,拥有两面转角玻璃采光,带来奢阔的环景视野!
编辑

城央核心区、百年海派人文、绝对的性价比优势......海上·清和玺,不仅仅是一座居所,更是一种生活方式的全方位升级。
177m2艺术贵雅奢邸是海上·清和玺压轴力作
,延续玺系经典的设计理念和思路, 阔朗的四面大开间设计,客厅做到了 大横厅设计,延续了曲面流体的阳台,并赠送了独具特色的阳台迷你花园。整体动线依然选用了 动静分离的高效率归家生活设计,双套房设计,保证家人居住的私密性,将用户居住的体验细节做到了更细微的层次。
前所未及的超大尺度,结合曲面的艺术设计,使得整个室内的居住品质得到了质的飞跃!功能区的设计也充满了人本的细节设计和思考,阔朗的超大厨房设计,定制岛台,升降式插座,实现大家族式的社交式烹饪。
03.版块信息
今年的高端住宅市场,价格可谓是一节更比一节高!
1. 同属于徐汇滨江板块内:
招商汇元玺,联动价13.4万,入围积分112.8;
中海项目,联动价14.2万/㎡,最新批次预估2600万起;
香港置地项目,联动价17.8万/㎡,戳破上海目前最高备案均价,仅2小时售罄;
而即将取证入市,同处徐汇滨江高质量滨江发展带的 海上·清和玺联动价仅约11万+/㎡!
2. 从环线来看,新房成交总价也在逐步提高!
今年内环内成交套均总价已高达3100万/套, 内中环也在2081万/套!(来源于中原地产研究)
而位处徐汇滨江, 紧贴着中环的海上·清和玺总价仅约1000万起!实在是让人惊喜!
3. 更关键的是,这样的机遇未来再难有!
世界级滨水区 上海新“白月光”
回溯2020年至今,徐汇滨江的新房共有14次推盘, 其中13次日光!10次认购都超250%!并出现5次“千人摇”!这样的战绩,放眼全市所有板块,都是 独一份!
究其原因?
其一是其远瞻世界的战略规划!
从中华百年民族工业摇篮到 “上海2035”中央活力区规划承载区!
10年前如果你提到上海的黄浦江S湾,所有人都知道你说的是黄浦滨江。
而现在如果你提到上海的 黄江S湾,大部分人都认为你说的是 徐汇滨江!
如果说过去所规划的六个百万方组团是以高能级产业为核心的“城市基底”!是 徐汇滨江的1.0阶段!
编辑

如今的 第七大组团“中央公园”则是徐汇滨江真正跨向“世界级滨水区“的又一重要组成部分!
中央公园占地面积约105万㎡,未来,这里将打造大面积的生态公园、住宅及商业,龙吴路上或将建设一座观景桥梁,串联植物园与滨江地带,未来有望成为一大网红打卡点。
编辑

以上海植物园为卯点 (未来或将围墙打开变身徐汇中央公园),未来第七大组团将无界链接城市生态资源,促进徐汇滨江与城区无界融合、兑现徐汇滨江的高质量发展!
海上·清和玺就在这第七大组团的核心位置!
编辑

最重要的是, 这一规划离我们并不遥远!随着数智中心的出让完成,七大产业组团中的 四个载体已完成了招商!一个上海前所未有的“西岸宇宙”已然形成!
只能说,徐汇区作为上海各区中的“尖子生”,兑现能力实在是太强了!
编辑

编辑

其二是因为这里是一个极其具备艺术气息且充满活力的精英社区!
这里是我心目中的, 超越老静安的新“白月光”!
TA给我的感觉,真的很像 美国纽约的长岛,同样的滨江,同样的拥有众多美术馆...
抛开这里众多的亚洲超高密度艺术区的 众多艺术场馆配套以及 得天独厚的滨江公共配套,这里给我的感受 更多是来自于居民本身的!
编辑

编辑

数次到访徐汇滨江,喜欢这里的每一个人的 活力,他们会 滑板、遛狗、跑步,没有很夸张的造型且很有礼貌!
编辑

最重要的是,他们的这些行为并不是为了拍照发个朋友圈,而是他们真实的日常生活态度!
这是一个在我看来全上海范围内最独特、独立的板块!
也正因为这些 物以类聚人以群分的板块,就算很多不是从小生活在这块土地上的新居民,他们、或是他们的孩子都给我一种 “好人家教出来”的感受!
论板块潜力、实力,或是居住环境!
海上·清和玺所在板块是我认为上海所有板块中的第一梯队!
这也是为什么,早些年各大名流爱买陆家嘴、豫园板块的豪宅,而现在不少明星艺人都偏爱买徐汇滨江豪宅的原因!
编辑

优质教育环绕 徐汇中央公园加持
作为整个徐汇滨江由北向南的中部关键节点和上海“公园城市”示范区,海上·清和玺所在的 第七大组团有着众多优渥配套的“先天优势”!
项目紧邻徐汇中环, 直线距离徐汇滨江约800多米,直线距离北杨人工智能小镇约700多米,直线距离上海植物园400多米,直线距离前滩约1.7公里。
编辑

本身地理位置就足够优秀!
而最让人无法抗拒的是,这里还是 优秀的“文教区”!
有多优秀呢?说出来有点夸张!
编辑

上海中学:创始于1865年,上海NO.1学府!四校之首!清北复交梦中情校!
身边一个朋友,就是 上中→清华→哥大,现在看他朋友圈,每天不是在香港,就是在新加坡,要不然就在欧洲度假。
编辑

放眼上海,多少家庭的梦想就是上海中学?
【海上·清和玺】上海中学一街之隔,这种 从小熏陶、激励的力量,不言而喻!
此外,周边 上实附小、上海小学、逸夫小学等环伺,懂的都懂!
*本资料宣传对项目周边幼儿园、学校等教育资源的介绍旨在提供相关信息,并不意味着本公司对就学安排作出承诺。教育资源的名称、办学性质、办学规模、学位设置、开学(班)时间、招生条件、收费标准及招生区域存在调整的可能,应以政府教育主管部门及办学方颁布的政策规定为准。
有这样的优质教育资源环绕, 海上·清和玺可谓是“赢在了起跑线上!”
除此之外,项目的 交通配套也极为优秀!
上海南站,未来虹桥之后的第二大城市枢纽。未来改建完成后将与上海东站和虹桥站连接,成为上海市第二大枢纽站!(来源于:上观新闻)
日常出行更有 15号线、23号线(在建)双轨交通达!快速来往于市区各核心商圈!
编辑

也可通过中环高速轻松链接上海高速路系统,便捷通达前滩、徐家汇核心圈,直线距离约50米即可抵达!
商业及医疗配套方面,徐汇万科广场、前滩太古里、华之门等高端商业综合体环绕周边,还有上海市第六人民医院、第八人民医院等三甲医院!
中环旁, 徐汇滨江板块!徐汇中央公园旁!是项目成为市区火热板块的底气!
编辑

徐汇中环旁 双地铁
一英里牵手徐汇滨江 百万方中央公园内
招商蛇口沉淀十年的「玺」系新作
海上·清和玺
推建面约112-135-143㎡3-4房高层&洋房房源
备案均价119182元/㎡
全精装修,标配泳池+会所
项目正在火热销售中
海上清和玺售楼处电话:400-8669-938
编辑
