陆家嘴锦绣澜湾售楼处电话:400-8669-938

最新消息,18号线旁低密墅区滨水住宅!「陆家嘴锦绣澜湾」正在热销中!在售建面约89-127㎡三房!
⛩项目名称:「陆家嘴锦绣澜湾」
👑项目简介:浦东航头品质住宅
🗣最新动态:正在热销中
🏠产品介绍:在售建面约89-127㎡三房
🛍️商业配套:苏航生活广场、咸塘小镇商业步行街
🚇交通方面:18号线航头站
🏫周边学校:尚德实验学校(航头分校)、航头学校、下沙学校
1地段
交通方面,陆家嘴锦绣澜湾距离18号线航头站约1.6km,周边步行可达的范围内,商业步行街、生鲜超市、卖场、公园等配套完善。

教育方面,周边有尚德实验学校(航头分校)、航头学校、下沙学校等,学习氛围浓厚。
商业方面,项目周边有苏航生活广场、咸塘小镇商业步行街,往南600米为航头镇文化中心和人口文化风情园。

2产品
项目基本信息:
2022年7月25日,二批次土拍,上海祝湛建设发展有限公司(陆家嘴)以底价316580万元竞得浦东新区航头镇商贸中心单元(PDS1-0203)A2A-06、A2B-04地块,房地联动价4.83万/㎡!
项目总投资约50亿元,将为航头镇提供约1300套高品质商品住宅,计划于2025年10月竣工交付。
「陆家嘴·锦绣澜湾」位于浦东新区航头镇航头商贸中心单元A2A-06、A2B-04地块,东至A2B-03地块,南至航潭路,西至A2A-05地块,北至A2A-05、A2B-03地块。

项目占地面积约6.9万平方米,总建筑面积20.5万平方米,其中地上建筑面积13.9万平方米,地下建筑面积为6.6万平方米。
项目效果图



样板间实拍图











项目户型图如下:






项目最新实景图如下:



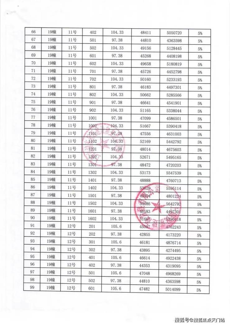
一房一价表:




陆家嘴锦绣澜湾售楼处电话:400-8669-938
