招商臻境售楼处电话、营销中心热线和预约电话方便快捷。项目位于浦东三林,周边有地铁11号线和机场联络线,交通便利。项目周边有教育资源,如上海市三林中学东校、上海市上南中学东校等。医疗方面,有上海市东方医院南院等设施。
招商臻境
售楼处电话:400-1787-138(已认证)
营销中心热线:400-1787-138(欢迎致电)
售楼处预约电话:400-1787-138☎☎☎如有问题可来电咨询,预约销售专员,一对一为您服务!
⛩项目名称:「招商臻境源上」
👑项目简介:浦东三林 品质住宅
🗣最新动态:正在认购中
📍区域板块:浦东三林
🏠产品介绍:95-152㎡高层&叠墅
🚇交通配套:11号线三林东站、项目三公里范围还有8号线以及在建的机场联络线
🛍️商业配套:新达汇、三林印象城、中房金谊广场等
🏫教育方面:上海市三林中学东校、上海市上南中学东校等(注:以上为周边现有教
育配套,最终对口以交付后划分为准)
🏥医疗方面:上海市东方医院南院等
⛲️公园:家门口拥揽约百万方绿地公园,前滩友城公园、体育公园等环伺
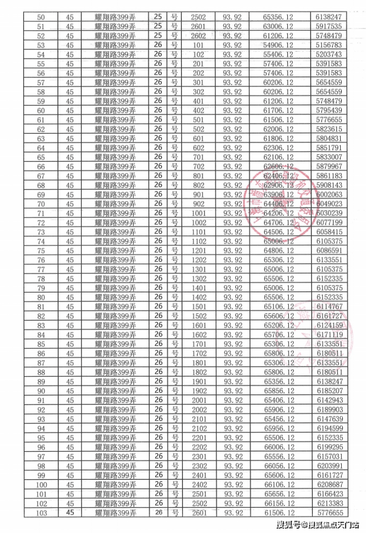
一房一价👇
«上下滑动查看»
编辑

编辑

样板间实拍
1地段
招商臻境|源上,占位前滩南黄金三角(前滩-新杨思-筠溪小镇),凝萃浦东金色中环发展带核心资源:
高效通达|外环/中环/南北高架三轴交汇,约15分钟瞬达前滩(约5KM)、约35分钟达徐家汇(约14KM)或陆家嘴(约15KM);
高阶繁华|摩登前滩(太古里、晶耀前滩等)、烟火三林(新达汇、中房金谊广场等)双圈交融;
公园谧境|家门口拥揽约百万方绿地公园,前滩友城公园、体育公园等环伺;
编辑

编辑

2产品
招商臻境,2024招商「臻」系首发之作,从“被精心设计过的都市新贵生活”lifeDeco生活主张出发,对上海骨子里的精致优雅,进行一次国际化的创新表达,满足都市新贵生活需求。
编辑

编辑

招商臻境立面通过曲线微弧、丰富层次以及高级的质感,交织融合彰显上海格调。
编辑

招商臻境循迹上海洋楼花园的种植方式,借由现代艺术化的语境构筑园内空间,将海派人文与静奢式酒店日常融入社区景观,以“海派腔调,静奢生活”的设计理念,打造“七维、六巷”的景观分布形制,演绎静奢式园林生活方式。
编辑

编辑

约1500㎡life-Club泳池会所,将生活需求与度假融合,勾画酒店式泳池、健身天地、休闲休憩空间、私宴会客厅、下沉庭院等多元场景,演绎一幕幕高阶日常,为城市新贵精英带来最纯粹的生活体验。
酒店式泳池:四季阅享的畅游空间,享受深度的精神放松
悦动健身房:大落地窗环幕设计,生命在运动中绽放
层峰会客室:共享会客,配置水吧,家以外的第二客厅
四大主题架空层:多元业态,营造全龄化共享空间
编辑

编辑

本批次推出的45#、37#、38#,真的是无遮挡俯瞰百万方的城市公园(在建中),即使是低区也有极佳的采光和视野。
编辑

全新户型图如下:
编辑

编辑

编辑

编辑

编辑

叠墅样板间部分谍照曝光:
编辑

编辑

编辑

编辑

编辑

编辑

编辑

编辑

编辑

编辑

编辑

招商臻境示范区
编辑

编辑

编辑

编辑

编辑

招商臻境
售楼处电话:400-1787-138(已认证)
营销中心热线:400-1787-138(欢迎致电)
售楼处预约电话:400-1787-138☎☎☎如有问题可来电咨询,预约销售专员,一对一为您服务!