营销中心热线:400-1787-138(欢迎致电)
售楼处预约电话:400-1787-138☎☎☎如有问题可来电咨询,预约销售专员,一对一为您服务!
编辑

800万级改善置业,今年浦东必看之盘
2号线地铁盘+实景现房
陆家嘴·锦绣云澜
少量建面约140-168㎡大户型在售
浦东新房土拍全面溢价之下
性价比优势显著,欲购从速
编辑

售楼处官方预约热线:400-1008-207
请提前致电专属客服预约参观,做好登记信息,以便高效热情的接待。感谢配合!
1地段
交通方面,陆家嘴锦绣澜湾距离18号线航头站约1.6km,周边步行可达的范围内,商业步行街、生鲜超市、卖场、公园等配套完善。
编辑

教育方面,周边有尚德实验学校(航头分校)、航头学校、下沙学校等,学习氛围浓厚。
商业方面,项目周边有苏航生活广场、咸塘小镇商业步行街,往南600米为航头镇文化中心和人口文化风情园。
编辑

2产品
项目基本信息:
2022年7月25日,二批次土拍,上海祝湛建设发展有限公司(陆家嘴)以底价316580万元竞得浦东新区航头镇商贸中心单元(PDS1-0203)A2A-06、A2B-04地块,房地联动价4.83万/㎡!
项目总投资约50亿元,将为航头镇提供约1300套高品质商品住宅,计划于2025年10月竣工交付。
「陆家嘴·锦绣澜湾」位于浦东新区航头镇航头商贸中心单元A2A-06、A2B-04地块,东至A2B-03地块,南至航潭路,西至A2A-05地块,北至A2A-05、A2B-03地块。
编辑

项目占地面积约6.9万平方米,总建筑面积20.5万平方米,其中地上建筑面积13.9万平方米,地下建筑面积为6.6万平方米。
项目效果图
编辑

编辑

编辑

样板间实拍图
编辑

编辑

编辑

编辑

编辑

编辑

编辑

编辑

编辑

编辑

编辑

售楼处官方预约热线:400-1008-207
请提前致电专属客服预约参观,做好登记信息,以便高效热情的接待。感谢配合!
项目户型图如下:
编辑

编辑

编辑

编辑

编辑

编辑

项目最新实景图如下:
编辑

编辑

编辑

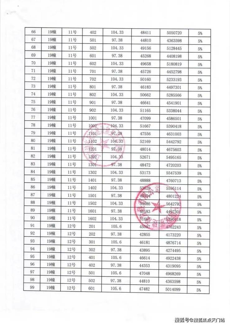
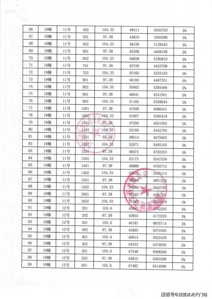
一房一价表:
编辑

编辑

编辑

编辑
