本文报道了上海大虹桥区域的“绿城·春晓园”项目,该项目位于徐泾镇双联路北侧,占地约3.52公顷,容积率为2.2,建筑面积约77495.44平方米。项目内部公共空间设计规划明确,联动价6.2万/平方米,一房一价表已公开。
「绿城·春晓园 」
售楼处电话:400-1787-138(已认证)
营销中心热线:400-1787-138(欢迎致电)
售楼处预约电话:400-1787-138☎☎☎如有问题可来电咨询,预约销售专员,一对一为您服务!
绿城大虹桥首作
最新鸟瞰图
均价60910元/㎡
建面约100-150㎡3-4房
编辑

8月2日上海二批次土拍第二轮,绿城以总价285574万元竞得青浦区徐泾镇双联路北侧36-01地块,地块出让面积35225.20㎡,容积率2.2,溢价率10%,楼板价36850元/㎡,房地联动价62000元/㎡。
地块详情:
编辑

地块名称:青浦区徐泾镇双联路北侧36-01地块
四至范围:东至官路浜、南至双联路、西至经五路、北至徐德路
土地属性:普通商品房
出让面积:3.52公顷
容积率:2.2
建筑面积:77495.44㎡
住宅套数:685套
套均面积:约113㎡
编辑

项目对于内部公共空间的设计规划有着明确的要求,包括公共设施、环形跑道、架空层、连廊等,可以满足对高端改善需求的期待,联动价6.2万/㎡!
编辑

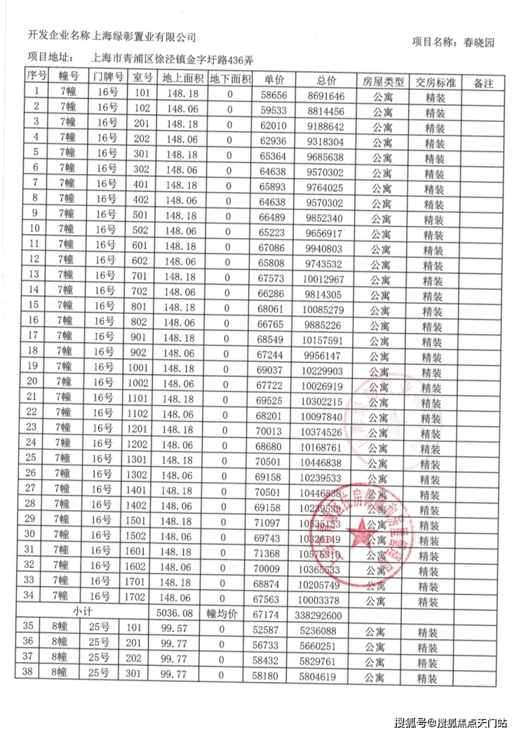
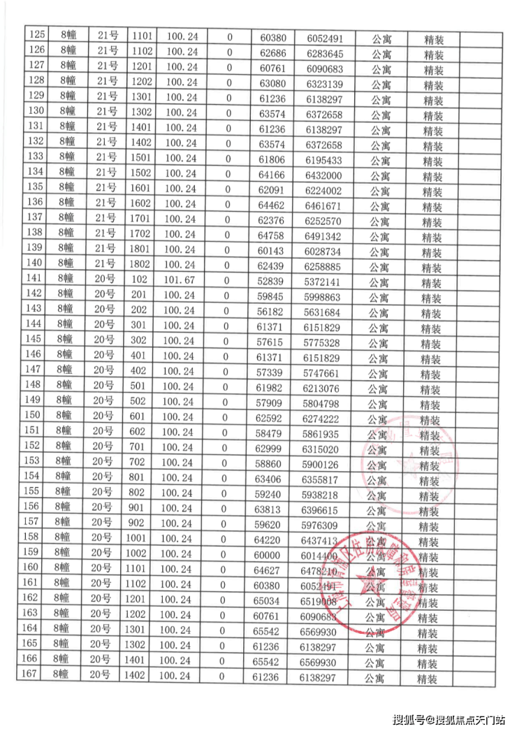
一房一价表:
编辑

编辑

编辑

编辑

编辑

编辑

编辑

交通方面:项目地块与17号线徐盈路站的步行距离仅约1公里。
编辑

商业方面:项目地处西虹桥15分钟生活圈城市样板区域,步行约1公里即可到达约10万方的西上海新晋网红商业中心——天空万科广场!
编辑

教育方面:徐盈国际住区足足规划了多宗教育用地,将成为整个大虹桥的教育高地。随着众多优质学校先后进驻徐泾,徐泾国际住区的教育资源也越来越强,从小学到高中全覆盖!
编辑

免责声明:对学校列举仅作描述使用,不代表或隐含开发商学区保证,具体请以政府规划为准
「绿城·春晓园 」
售楼处电话:400-1787-138(已认证)
营销中心热线:400-1787-138(欢迎致电)
售楼处预约电话:400-1787-138☎☎☎如有问题可来电咨询,预约销售专员,一对一为您服务!