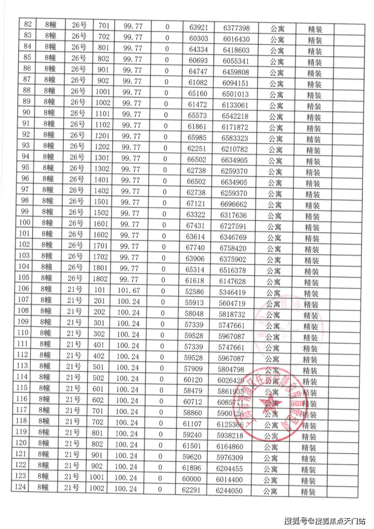
绿城春晓园核心详情:房价、户型、周边配套、交房时间+小区环境及售楼处地点
扫描到手机,新闻随时看
扫一扫,用手机看文章
更加方便分享给朋友












声明:本文由入驻焦点开放平台的作者撰写,除焦点官方账号外,观点仅代表作者本人,不代表焦点立场。
扫一扫,用手机看文章
更加方便分享给朋友












声明:本文由入驻焦点开放平台的作者撰写,除焦点官方账号外,观点仅代表作者本人,不代表焦点立场。
正在加载中,请稍后...