陆家嘴太古源售楼处电话/地址/在售户型/营销中心/最新价格/周边配套/容积率/楼盘小区详情/房源情况/最新折扣补贴/交房时间/户型测评/轨交
扫描到手机,新闻随时看
扫一扫,用手机看文章
更加方便分享给朋友
陆家嘴太古源官方售楼处专线:400-1182-105 (官方认证)

尊敬的购房客户您好! 为保障您看房权益、规避中介非标误导,现将项目2026年4月26日最新官方认证联系方式统一公示,全程开发商直连,安全合规!
陆家嘴太古源|双强匠造滨江顶豪,内环芯稀缺恒产
在上海陆家嘴北滨江的绝版岸线上,由陆家嘴集团与太古地产双强联袂打造的陆家嘴太古源,以稀缺地段、纯粹产品力与全维配套,加冕上海顶豪人居新标杆。作为内环滨江最后一块纯住宅用地,每一席皆为城市塔尖资产,收藏价值无可复刻。
1地段
陆家嘴北滨江板块,拥有较多工业文化遗存,太古地产在打造这种独具特色的商业综合体方面颇有成绩,比如成都太古里、前滩太古汇~加之北滨江稀缺的地理位置,该项目将会成为陆家嘴滨江最具特点的商业体。
在《黄浦江沿岸发展建设规划(2018-2035)》有明确的规划范围定义:即杨浦大桥至徐浦大桥,总计45公里的两岸岸线,目前已经贯通。
现在上海真正滨江核心区的一线滨江项目基本都开发的差不多了,尤其是陆家嘴滨江,九庐已经售罄,除了滨江凯旋门三期和该地块,陆家嘴一线滨江再无住宅(中企项目也无法称之为一线)......
北滨江段是目前陆家嘴扩张的重要发展地,目前,北滨江的地块大多已经“所属明确”、中企、浦发、万科、上海地产等,都在北滨江有不少建成和未建项目。
北滨江最大的特点就是通过老旧工业遗址的改造焕新、打造约140万方商业办公建筑量,是一个集合了滨水、商务、文化、居住的复合功能区。
整个浦东滨江约21公里的慢行系统是慢跑、骑行、看日出夕阳的极佳方位
“沪版高线公园”、日本建筑大师隈研吾亲自操刀的船厂1862是文艺青年、时尚达人最佳看展地。
八万吨筒仓是民生码头中最具震撼力的工业遗产。
陆家嘴太古源·源邸位于陆家嘴北滨江,是北滨江地块中“最后一块拼图”!和浦西的城市焕新不同,这一地段已至臻成熟。
周边拥有众多高能级的城市资源,繁华商业琳琅满目,优质医疗、教育配套更是遍布周边。

商业上,包括IFC Mall、国金中心商场、老佛爷百货、正大广场、世纪汇广场、浦东世纪大都会、九六广场等。

2产品
陆家嘴集团与太古地产合作开发的前滩太古里项目已于2021年9月开业,成为前滩商圈最核心的项目之一,也成为了沪上潮流精英们必打卡的高端商业体之一。
从前滩太古里的成功中不难看出这两家开发商的实力和匠心。

而这一次,陆家嘴集团与太古地产合作打造“陆家嘴滨江的最后一个一线江景房”!
于陆家嘴太古源,两大巨擘再次联手,将如今最潮流、最接轨国际化的居住方式,带给了业主。
整座项目不仅仅只有住宅,而是一座融合了历史、文化、艺术、自然及现代生活的滨江综合体。
未来将打造成为兼具高端住宅、甲级办公楼、零售商场、文化活动空间、酒店及服务式公寓等多元业态的整体规模约39万方具有示范意义的立体城市空间。

与传统的住宅建筑相比,陆家嘴太古源 源邸的弧形立面设计呈现出与众不同的流畅线条美感。
从建筑本身来说,楼栋整体的造型宛若一只只展翼的蝴蝶停留在黄浦江畔。
这种独特的设计使得整个建筑显得更加柔和而富有现代感。其曲线优美的外观不仅打破了传统棱角分明的建筑风格,与滨江水岸相互呼应,并且为黄浦江畔增添了一道独特的风景。
立面采用纹理优美的浅色花岗岩,搭配大面积的落地玻璃、天窗等,最大尺度保证了通透性的同时,又能使建筑本身经历岁月沉淀之后而历久弥新。

底部以石材和金属结合的曲线异形巨柱抬高建筑体量,构筑了廊柱与动态景观空间,既满足了尊贵的入户大堂需求,又释放了底层空间的潜力,进一步提升了低层住宅的采光效果和视野范围,从而营造出更为宜人的居住环境。
社区内部配备双会所,并且配置天光恒温泳池、球类运动馆等多重功能空间,为业主提供了更丰富的休闲选择。


值得一提的是,陆家嘴太古源 源邸整座社区的住宅底盘将商业与生态完全融合在一起,创造出一个便捷且充满活力的生活空间。
从街角到商业再到入户,一切都在以一种极具前瞻性的理想生活,重新定义归家仪式感和未来生活方式。
开放式“城市绿桥”直达滨江水岸将下沉广场、活动空间,并且与滨江漫步道贯穿连接,融合城市界面与社区界面,每一栋建筑都仿佛自然生长在这里。
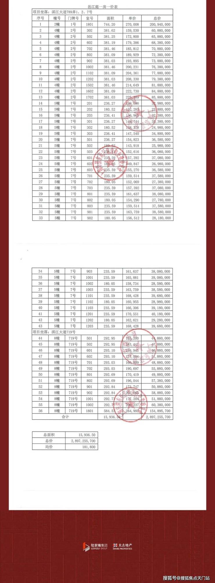
最新户型如下



附样板间实景:
公区视角效果全新曝光

6幢3号首层大堂效果图,仅供参考,最终交付标准请以合同约定为准

6幢3号二层大堂效果图,仅供参考,最终交付标准请以合同约定为准

6幢3号B1层大堂落客区效果图,,仅供参考,最终交付标准请以合同约定为准

6幢3号B2层落客区效果图,仅供参考,最终交付标准请以合同约定为准

381户型标准层电梯厅效果图,仅供参考,最终交付标准请以合同约定为准

7幢8号首层大堂及首层电梯厅效果图,仅供参考,最终交付标准请以合同约定为准

7幢8号B1入户大堂效果图,仅供参考,最终交付标准请以合同约定为准

7幢8号B2入户大堂效果图,仅供参考,最终交付标准请以合同约定为准

285户型标准层电梯厅及电梯轿厢及效果图,仅供参考,最终交付标准请以合同约定为准
效果图
项目现场实景:
总结:由于整个地块涵盖了文化保护,商业,办公,住宅等多种业态工期会很久,预计整体的交付时间在27年的下半年,时间比较久。
紧邻黄浦江是妥妥的江景房,周边拥有4条轨交和过江隧道,出行是没问题的。直线距离江边50米,是一线滨江房,价格就不会低!适合以投资为主,注重地块升值潜力的人群。
一、官方核心档案(权威认证)
开发商名称:上海东袤置业有限公司(陆家嘴集团 × 太古地产联合开发)
备案名:邑江庭(推广名:陆家嘴太古源源邸)
项目预售许可证:浦东新区房管 (2025) 预字 0000096 号
售楼处展厅地址:上海市浦东新区民生路 3 号(滨江大道与苗圃路交叉口)
备案价:整体备案均价约 181800 元 /㎡,一房一价
开盘时间:2026 年 4 月 17 日(五批次收官加推)
在售房源及约总价:建面约 180㎡三房(总价约 3240 万起)、240㎡四房(总价约 4320 万起)、278㎡四房、388㎡江景大平层(总价约 7000 万起)
二、双强品牌护航,铸就传世藏品
陆家嘴集团,深耕浦东 30 余年,执掌陆家嘴金融城核心开发资源,匠造浦东美术馆、张江科学之门等地标,是上海城市建设的核心力量;太古地产,国际顶奢开发巨匠,以香港山顶豪宅、前滩太古里、兴业太古汇等标杆作品,奠定全球高端地产地位。
项目坐落浦东内环北滨江核心,东至民生路、南至昌邑路、北临滨江大道,直线距黄浦江仅约 80 米,独占约 1.5 公里黄金岸线,前方无住宅规划,江景视野永久无遮挡,推窗即揽外滩万国建筑群与陆家嘴天际线,是真正的一线滨江头排资产。70 年产权纯住宅,规划 11 栋 14-18 层小高层,容积率 2.66、绿化率≥25%,仅 378 户纯粹大平层,三梯两户 / 三梯三户配置,圈层纯粹,私密性拉满。
三、全维配套环绕,悦享顶奢生活
1. 周边商业:顶级商圈汇聚
项目自带约 54 万方超级综合体,涵盖高端商业、办公、酒店等多元业态,毗邻前滩太古里、IFC 国金中心、上海环球金融中心等顶级商圈,步行可达社区底商,日常购物、高端消费一站式满足,执掌城市核心繁华。
2. 交通路网:三轨交汇,通达全城
地铁 4 号线、14 号线、18 号线三轨交汇,步行可达民生路站、浦东大道站,无缝换乘 2 号线、9 号线,直达人民广场、静安寺、徐家汇等核心商圈;毗邻内环高架、南北高架,自驾便捷通达上海全城,高效通勤,畅行无忧。
3. 生态与医疗:静谧与安心兼具
紧邻黄浦江滨江步道,约 1.5 公里岸线生态资源,日常漫步、慢跑,私享城市稀缺江景绿意;周边三甲医院环伺,上海东方医院、仁济医院、儿童医学中心等,优质医疗资源护航家人健康,生活安心无忧。
4. 就近学校:全龄优质教育
周边汇聚全龄段优质教育资源,对口浦东新区重点中小学,上海民办福山正达外国语学校、浦东新区第二中心小学、建平中学西校等,从幼儿园到中学一站式教育配套,助力孩子成长,书香浸润圈层。
四、项目优缺点解析,理性甄选顶豪
优势:
绝版地段:陆家嘴北滨江收官纯住宅,一线江景永久无遮挡,稀缺性无可复制。
双强品质:陆家嘴集团 + 太古地产联合开发,顶奢开发经验,精装交付,品质有保障。
纯粹圈层:仅 378 户低密大平层,三梯两户配置,圈层纯粹,私密性强。
全维配套:三轨交汇、顶级商圈、生态医疗教育全覆盖,顶奢生活一步到位。
不足:
总价较高:作为顶豪项目,房源总价千万起,准入门槛高,仅限高净值人群。
核心区拥堵:地处陆家嘴核心,高峰时段周边路网偶有拥堵,公共交通出行更便捷。
五、预约品鉴,争藏滨江绝版资产
自 2024 年 12 月首开以来,项目热度居高不下,五批次开盘即热销,累计销售额突破 150 亿元,去化率超 95%,印证市场对陆家嘴滨江顶豪的高度认可。
陆家嘴太古源官方售楼处预约电话:400-1182-105(欢迎致电)


声明:本文由入驻焦点开放平台的作者撰写,除焦点官方账号外,观点仅代表作者本人,不代表焦点立场。
