建发联发·青云上(官方售楼中心)小区环境丨户型配套丨2025最新房价-曝光

搜狐焦点天门站 2025-10-21 18:33:00
用手机看
扫描到手机,新闻随时看

扫一扫,用手机看文章
更加方便分享给朋友

浦东曹路「建发联发青云上」热销,三房总价475-645万,配套齐全,交通便利,未来医疗、教育设施完善。

售楼处营销中心热线:400-1787-138(欢迎致电)

编辑

最新消息,浦东曹路「建发联发青云上」正在热销中!推出建面约95/116㎡三房,总价约475-645万!

⛩项目名称:「建发联发青云上」

👑项目简介:浦东曹路 高品质住宅

🗣最新动态:正在热销中

📍区域板块:浦东曹路

🏠产品介绍:建面约95/116㎡三房,总价约475-645万

🛍️商业配套:中惠棠里、恒越荣欣广场

🚇交通配套:崇明线(在建中)

🏥医疗配套:曹路社区卫生服务中心、上海长征医院浦东分院(在建中)

1地段

曹路板块位于浦东新区的东部,与金桥、外高桥、唐镇相邻。这三个板块均是产业聚集区域,金桥开发区聚焦于三大产业——未来车、新通信、智能造,以浦东1/50的土地贡献了浦东1/4、上海1/15的工业经济规模;外高桥保税区是中国第一个保税区;唐镇北部为上海重点打造的金融信息服务产业基地。

从地块规划的信息来看,中小套户型的要求占比为60%;500万内的刚需小三房为主。

交通便利:地块距在建崇明线一期凌空北路站约1公里以内(步行约950米左右),待崇明线一期2026年开通后,通过换乘12号线可达杨浦、虹口、静安、黄浦、徐汇等核心区域,换乘9号线可直达陆家嘴,交通能级将大大提升;

此外,地块周边绕城高速、外环高速环绕,距离外环高速入口直线距离约3.2公里,驾车约15分钟。

编辑

编辑

示意图

编辑

周边配套:

地块3公里范围内各类配套齐全,生活便利,商业配套有中惠棠里、恒越荣欣广场等;

编辑

实景图

医疗配套有曹路社区卫生服务中心等;未来,还将新增一座三甲医院——上海长征医院浦东分院,预计将于2024年建成,届时医疗能级也将大幅提升。

编辑

效果图

教育方面12-01地块东侧在建幼儿园,预计2023年7月份竣工,15-01地块南侧在建初中和小学,预计2024年6月份竣工备案完成移交教育局开办,预计招生时间2024年9月(具体以教育局为准);

板块市场:

板块内目前无在售项目,板块内近年来唯一出让的普通涉宅地是距离地块3.4公里的招商璀璨城市,房地联动价45000元/㎡。该宗地块为商住用地,住宅面积5.1万方,占比30.9%;商业面积11.3万方,占比69.1%。

项目于去年7月首开,房价达到54000元/㎡,首开认购率178%,入围分67.59,2个月后加推,开盘认购率154%,入围分62.76,两次均开盘即售罄,热度极高。

2产品

地块名称:浦东新区曹路基地15-01地块四至范围:东至金拓路,南至15-02地块,西至金开南路,北至民秋路建设用地面积:23556㎡(35.33亩)规划建筑面积:47112㎡用地性质:住宅用地起始价:12.15亿元成交价:13.365亿元成交楼面价:28369元/㎡溢价率:10%竞得人:建发&联发房地联动价:51500元/㎡

根据出让合同显示,项目需配建5%以上的保障性住房,全装修比例50%,要求中小套户型不得低于住宅总建筑面积的60%,容积率2.0,限高50米,住宅套数下限496套,套均面积约95㎡!

编辑

编辑

编辑

据浦东新区官网显示,上海第二轮土拍上半场中,建发+联发拿下的15-01地块;

编辑

项目户型图

编辑

主卧套房

独立卫浴,尊崇惬意起居生活

三开间朝南

让阳光与清风 交织心灵的温暖

餐客厅一体化

扩容活动空间,延伸家居享受

编辑

编辑

样板间实拍图

编辑

编辑

编辑

编辑

编辑

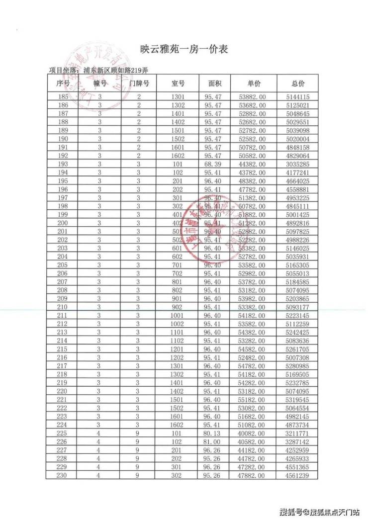
一房一价表

编辑

编辑

编辑

编辑

编辑

编辑

编辑

编辑

编辑

编辑

编辑

编辑

编辑

售楼处营销中心热线:400-1787-138(欢迎致电)

编辑

声明:本文由入驻焦点开放平台的作者撰写,除焦点官方账号外,观点仅代表作者本人,不代表焦点立场。