中国铁建·西派云间售楼处电话400-118-3159 松江新城·滨水·学府旁 推出建面约125㎡-188㎡小高层
及建面约153㎡-158㎡4层叠墅 均价54026元/㎡ 总价约620万起
中国铁建·西派云间售楼处电话400-118-3159
松江新城·滨水·学府旁
推出建面约125㎡-188㎡小高层
及建面约153㎡-158㎡4层叠墅
均价54026元/㎡ 总价约620万起
水幕瀑布+2000㎡会所+多阳台的标杆
售楼处线上火热预约

点击输入图片描述(最多30字)
样板房开放中
项目线上预约看房
售楼处电话400-118-
进入“中国铁建·西派云间”官方预约通道
案场销售会第一时间与您联系
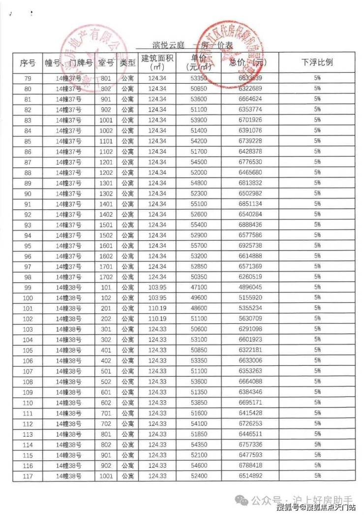
中国铁建·西派云间一房一价表:

点击输入图片描述(最多30字)

点击输入图片描述(最多30字)

点击输入图片描述(最多30字)

点击输入图片描述(最多30字)

点击输入图片描述(最多30字)

点击输入图片描述(最多30字)
项目基本信息
TOP西派4.0登场松江改善从此再晋级
西派系,中国铁建地产TOP级产品系,连续6年稳居“中国房地产产品品牌价值TOP10”,全国40余座标杆作品,从不是“复制粘贴”,而是“城市地标”的代名词。
2025年,西派系全面进阶——西派4.0,立派松江下一代里程碑作品。

点击输入图片描述(最多30字)
西派云间,不仅是西派系在上海首次呈现立体奢宅形态,更是西派墅首度落子上海。它萃集西派系精华,在松江新城核中核地段,打造双水岸生活流域,重新书写“自然与繁华无界共生”的人居脚本。
这不是买房,是占位松江未来十年的价值灯塔。
鼎新产品 三大颠覆力重构奢宅想象力
产品力即话语权,西派云间用三个“前所未见”,彻底击穿松江改善天花板。
首座双桥归家系统,从马路到秘境,随心切换
上海罕见“跨桥归家”,人车分流不止于功能,更是一场心境仪式。凌云桥与浮溪桥串联起“尘世—静谧”的过渡,桥下流水映天光,门前舟影纳福意。这不是回家,是每一次归心之旅的沉浸式开场。
首创中央车站式服务,车不动,人从容
项目颠覆了传统地库的冰冷印象,打造酒店式中央车站。以「中央车站」概念打造枢纽式空间,连通会所与庭院,实现高效通行与私密守护的平衡。让地下空间也成为「可社交的星级场所」,让归家,成为一场被精心编排的生活仪式。

点击输入图片描述(最多30字)
首个立体叠瀑系统,把自然叠进社区
约10米高差打造“折叠景观”,约1600㎡下沉水院中嵌入约1200㎡超大水面与三座瀑布系统。蓝水晶岩板铺底,跳泉灵动,亲水卡座环抱,搭配游艇级软包材质——这不是社区,是藏在城市里的“云间秘境”。

点击输入图片描述(最多30字)
双会所+全维场景圈层生活不再设限
真正的奢宅,不在于面积,而在于生活场景的厚度。西派云间以“双会所体系”为内核,打造外环罕见的全维高定生活场。
在这里,约2000㎡下沉式会所与约1000㎡泛会所共同构建一个闭环社交生态。你可以步入中西双厨私宴厅,在海派艺术氛围中举办一场私密宴请,中厨与西厨双区配置、环绕式生态造景与人造天光共同营造出都市隐逸绿洲。

点击输入图片描述(最多30字)
也可以在国际大牌健身主场中直面无界泳池,边运动边赏景,水吧区随时补给,打造层峰专属的运动社交场;更可以在双层挑空云间书吧中,整墙木质书架贯通上下,艺术吊灯点缀其间,幕墙引光入室,阅读不再是独处,而是与灵感对话的无界空间。
而无界泳池更是视觉焦点,西派专属艺术马赛克拼贴出松江文脉与国际审美,背景墙一抹“醉染枫林”红石,以石材的温润质感点亮整个水境氛围,让每一次畅游都成为身心沉浸的仪式。

点击输入图片描述(最多30字)
项目的西侧与南侧双面临河,拥有约400米滨河带。
一方面,这样的占位让这个社区拥有出众的水系景观。
另外一方面,由于这样独特的天赋。当市场仍在追求入户大堂的奢华,西派云间已构建“城市—河流—社区” 的三阶归家礼序。
独创的双桥跨水入户系统,凌驾于碧波之上,行人踏桥而过时,城市喧嚣被流水隔绝,归家的静谧与尊崇感油然而生。

点击输入图片描述(最多30字)
全奢尺四开间×纯改善四房 两大神户型首发
西派云间首发献市两大主力户型:建面约148㎡与建面约125㎡,以精准空间设计,将舒适与尊崇融入日常,为不同家庭提供适配的居住方案。

点击输入图片描述(最多30字)
作为改善旗舰户型,建面约148㎡以四房两厅两卫格局,实现四开间朝南极致采光。一梯一户配置打造私享阳光梯厅,兼具收纳与私密。餐客采用 LDKB一体化设计,作为“好房子”新规后首发户型,拥有约3.05米层高更显开阔。主卧配备270°环景飘窗(仅5#、10#楼边套),无敌视野,晨起赏朝阳、夜晚观繁星;独立衣帽间与全明双台盆主卫,尽显品质格调。

点击输入图片描述(最多30字)
中国铁建·西派云间建面约148㎡4房样板间实拍视频:
,时长02:11

点击输入图片描述(最多30字)

点击输入图片描述(最多30字)

点击输入图片描述(最多30字)

点击输入图片描述(最多30字)

点击输入图片描述(最多30字)

点击输入图片描述(最多30字)

点击输入图片描述(最多30字)

点击输入图片描述(最多30字)

点击输入图片描述(最多30字)

点击输入图片描述(最多30字)

点击输入图片描述(最多30字)

点击输入图片描述(最多30字)
建面约125㎡为松江板块罕见的四开间朝南三阳台户型,三开间卧室朝南,搭配多阳台与飘窗,采光通透。一梯一户同样赋予独享梯厅的尊崇体验。空间上,约3米层高营造大平层气场。横厅连接近10㎡朝南阳台,兼顾生活与观景;北向约3.85米面宽餐厅与厨房等宽,备餐时可与家人互动。主卧南向超大景观飘窗搭配全明主卫,北次卧约9㎡可灵活改造,满足多元需求。

点击输入图片描述(最多30字)
从产品力到生活场,从自然无界到圈层有境,西派云间不是在造房子,而是在立标准。它用实力宣告:外环之外,亦有奢宅鼎流;松江之芯,终有封面作答。
中国铁建·西派云间建面约148㎡4房样板间实拍视频:
,时长01:39

点击输入图片描述(最多30字)

点击输入图片描述(最多30字)

点击输入图片描述(最多30字)

点击输入图片描述(最多30字)

点击输入图片描述(最多30字)

点击输入图片描述(最多30字)

点击输入图片描述(最多30字)

点击输入图片描述(最多30字)

点击输入图片描述(最多30字)

点击输入图片描述(最多30字)

点击输入图片描述(最多30字)
项目区位配套
西派云间所在的位置,正是松江新城规划中真正意义上的 “核中核”——中山生态商务区。
这并非一个简单的区位名称,而是整个新城能级的集中体现:
定位上:这片区域被上海市政府赋予了松江新城的三大示范样板区之一。
这本身就意味着它在市级层面被视为松江新城未来发展的核心驱动力和形象展示窗口。
开发模式上:这里是上海首个明确提出并大规模建设的“生态商务区”,规划了约172万方的商业商办总量。
这个体量堪比前滩。

点击输入图片描述(最多30字)
旨在打造一个高端产业集聚、生态环境优美、低碳智慧宜居的未来城市样板。

点击输入图片描述(最多30字)
落地速度和配套能级上:从五龙湖、万达、五龙商业广场到一梯队上外云间学校,中山生态商务区内的配套永远是整个松江最高规格的。
中国铁建·西派云间距离松江万达仅约850米,旁边还有五龙商业广场、三迪曼哈顿、富悦财富中心、凯悦酒店、中展马利来等众多商业资源。
目前已有的商业规模就已达约60万方,亲子、购物、聚餐、看电影...日常需求统统能在步行范围内得到满足,这个成熟度真的堪比市区。

点击输入图片描述(最多30字)

点击输入图片描述(最多30字)

点击输入图片描述(最多30字)
松江万达广场实景实拍
教育资源方面:项目约100米外一路之隔就是12年一贯制的上外云间学校。
软实力上,这所学校当初的建设总投资约8亿元,是松江迄今为止投资总量更大、设计标准更高、设施配套更全的学校。

点击输入图片描述(最多30字)
上外云间学校实景实拍
硬实力上,上外系的学校在松江几乎都是梯队内的标杆学校,实力之强有目共睹。

点击输入图片描述(最多30字)
除此之外,南侧不远处还有赫贤双语学校(原赫德双语学校),补充了国际教育需求。
(预售房屋不划分学区,项目周边学校等教育资源的介绍仅为提供相关信息参考,开发商不对项目交房后所属学区、学校做任何承诺,教育资源分配或学校/学区划分以及学校的具体招生规则等请以政府相关主管部门、教育机构公开的最新信息为准。)
生态资源方面:项目步行范围内就有一座五龙湖公园,约16公顷的广阔面积,与约5.9公里的绿道长度相得益彰。
湖畔风光旖旎,很适合早上晨练,晚饭后散步,居住环境优美。

点击输入图片描述(最多30字)

点击输入图片描述(最多30字)
五龙湖实景实拍
轨道交通方面:从项目出发,经T2电车直达9号线松江大学城站。上车后,业主6站七宝、9站漕河泾,并且能轻松畅达徐家汇、打浦桥等浦西区域。

点击输入图片描述(最多30字)
除此之外,1站就能换乘即将通车的12号线西延伸段,即可畅达莘庄、徐汇滨江、南京西路。

点击输入图片描述(最多30字)
自驾方面:距离项目直线约900米的沪松快速路,预计2028年通车。

点击输入图片描述(最多30字)
这条快速路链接着通往市区的外环、中环以及漕宝路快速路;通往虹桥以及闵行南部的嘉闵高架;还有直插浦西腹地的烫金大动脉延安高架。
未来,沪松快速路+漕宝路快速路+中环/外环去往前滩、世博;
沪松快速路+外环+延安高架去静安寺、南京西路等浦西核心;
沪松快速路+嘉闵高架直通虹桥机场。

点击输入图片描述(最多30字)
样板房开放中
项目线上预约看房
售楼处电话400-118-3159
进入“中国铁建·西派云间”官方预约通道
案场销售会第一时间与您联系