中国铁建西派云间售楼处电话:400-8669-938
编辑

将其产品序列中毫无争议的TOP1——「西派系」,首次落子外环外的松江新城核心。
简单介绍一下中国铁建的西派系产品:
“西派系” 是大型央企中国铁建地产TO P1 的产品系, 连续 6年 蝉联 “中国房地产产品品牌价值 TOP10” 。
西派系首入上海的作品:西派海上,一经面世就霸榜豪宅遍地的浦东内中环,成交套数遥遥领先!
编辑

这是西派系产品力最好的证明!
如今,这个代表着中国铁建最高产品力的 “西派系” ,落子外环外的松江新城。 这不仅是 对区域价值的前瞻性认可,更是央企的十足诚意与打造标杆的匠心 。
编辑

目前上海整个外环最高规格的壹号作品
编辑

「中国铁建·西派云间」认购!
推出建面约125㎡-188㎡小高层
&建面约155-160㎡4层叠墅
均价5.4万/m²!认购金20万!
认购时间:9月27日-10月1日
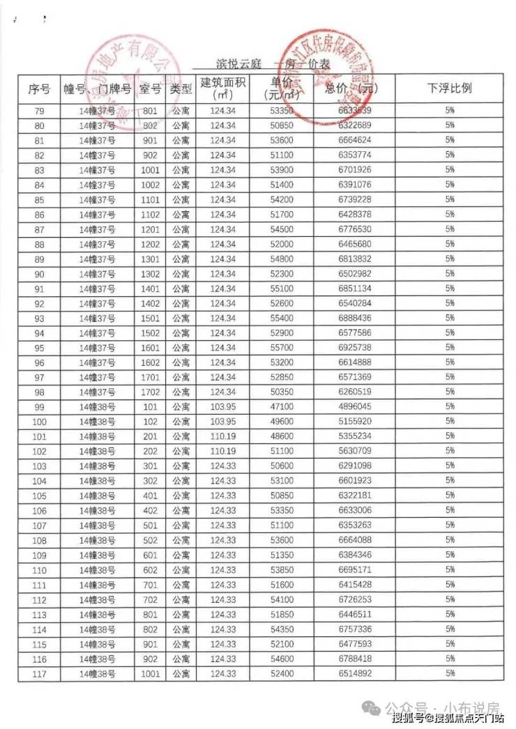
往下阅读项目一房一价表!
编辑

项目所在的地块,由中铁建在上海第四轮土拍中,以247082万元竞得,成交楼板价25288元/平,地块装标不低于2500元/平。
地块拟建叠加、小高层、高层产品。
其中1#、2#、3#、4#、6#、7#、8#幢为4层的叠加别墅;
11#幢为11层小高层和17层高层、9#幢为13层小高层;
其余楼栋均为17层高层。
社区内部有中央景观、下沉式庭院,部分楼栋首层架空设计。
编辑

编辑

占位松江新城价值之眼
立于G60科创浪潮之巅的生活主场
最后,大家有没有想过,为什么中国铁建要把西派云间这样具有颠覆性产品力的作品,放到松江新城的 中山生态商务区?
第一,G60正在成为上海的产业支柱,数以万计的高薪人才需要终极改善产品!
G60科创走廊 正以“上海速度”崛起为世界级的产业高地。
来看一些数据:
编辑

如果说张江代表着上海前30年的支柱性产业区,那未来30年甚至更久,上海乃至整个长三角的产业重点,就是G60。
这片区域集中了数以万计的高端人才。
他们需要承载这份成就与身份的居所,但目前不管是松江新城,还是整个外环外,没有能匹配他们的住宅。
所以,西派云间来了,落子松江新城最核心处的中山生态商务区!
第二, 核心的核心, 中山生态商务区时隔3年的纯宅地!
如果说G60是长三角一体化发展的核心引擎。
那么, 松江新城 便是这条黄金走廊上最为璀璨的明珠,是上海西南板块毋庸置疑的战略核心与资源承载地。
在这里,政策、产业、资本与高端人才正以前所未有的速度汇聚。这不是遥远的规划,而是正在发生的现实。
选择这里,意味着选择了上海未来的增长极。
而西派云间所在的位置,正是松江新城规划中真正意义上的 “核中核”——中山生态商务区 。
这并非一个简单的区位名称,而是整个新城能级的集中体现:
定位上:这片区域被上海市政府 赋予了松江新城的三大示范样板区之一。
这本身就意味着它在 市级层面被视为松江新城未来发展的核心驱动力和形象展示窗口。
开发模式上:这里是上海首个明确提出并大规模建设的“生态商务区”,规划了约172万方的商业商办总量。
这个体量堪比前滩。
编辑

旨在打造一个 高端产业集聚、生态环境优美、低碳智慧宜居的未来城市样板。
编辑

落地速度和配套能级上:从五龙湖、万达、五龙商业广场到一梯队上外云间学校,中山生态商务区内的配套永远是整个松江最高规格的。
中国铁建·西派云间距离松江万达仅约850米,旁边还有 五龙商业广场 、 三迪曼哈顿 、 富悦财富中心 、 凯悦酒店 、 中展马利来 等众多商业资源。
目前已有的商业规模就已达约60万方, 亲子、购物、聚餐、看电影...日常需求统统能在步行范围内得到满足,这个成熟度真的堪比市区。
编辑

编辑

实景实拍
教育上,项目约100米外一路之隔就是12年一贯制的上外云间学校。
软实力上,这所学校当初的建设 总投资约8亿元 ,是松江迄今为止投资总量更大、设计标准更高、设施配套更全的学校。
硬实力上,上外系的学校 在松江几乎都是梯队内的标杆学校,实力之强有目共睹。
编辑

除此之外,南侧不远处还有 赫贤双语学校 (原赫德双语学校) ,补充了国际教育需求。
(预售房屋不划分学区,项目周边学校等教育资源的介绍仅为提供相关信息参考,开发商不对项目交房后所属学区、学校做任何承诺,教育资源分配或学校/学区划分以及学校的具体招生规则等请以政府相关主管部门、教育机构公开的最新信息为准。)
生态上:项目步行范围内就有一座五龙湖公园,约 16公顷的广阔面积,与约5.9公里的绿道长度相得益彰。
湖畔风光旖旎 ,很适合早上晨练,晚饭后散步,居住环境优美。
编辑

最后,来重点聊一下交通:从项目出发,经T2电车直达9号线松江大学城站。
上车后,业主6站七宝、9站漕河泾,并且能轻松畅达徐家汇、打浦桥等浦西区域。
除此之外,1站就能换乘即将通车的12号线西延伸段,即可畅达莘庄、徐汇滨江、南京西路。
编辑

除了轨交外,最值得一提的是项目的自驾: 距离项目直线约900米的沪松快速路,预计2028年通车。
编辑

这条快速路链接着通往市区的外 环 、 中环 以及 漕宝路快速路 ;通往虹桥以及闵行南部的 嘉 闵 高架 ;还有直插浦西腹地的烫金大动脉 延安高架 。
未来,沪松快速路+漕宝路快速路+中环/外环去往前滩、世博;
沪松快速路+外环+延安高架去静安寺、南京西路等浦西核心;
沪松快速 路+嘉闵高 架直通虹桥机场。
...
也就是说,只需零星几个红绿灯,西派云间的业主就可以一脚油门直达浦西、浦东等大多数的核心CBD。
编辑

中国铁建将TOP级“西派系”落子于此,正是一次极具前瞻性的战略抉择。
整个松江新城,乃至整个上海外环,都有一个问题:以刚需的小户型为主。
编辑

这意味着三点:
第一,建面约120㎡以下的刚需小户型供应庞大,二手市场竞争激烈,很难走出独立行情。
第二,几乎所有外环外的小区,或多或少都有小户型,整个社区的调性、理念、圈层很难达到统一。
第三,小户型的尺度感、私密性、实用性都很欠缺,就算上车了过几年还需要再置换,无法实现真正的终极改善。中国铁建深谙此理,为此打造了一个建面约125㎡起纯粹的改善型社区。
如此配置的项目,整个松江新城乃至整个外环外,西派云间独一份。
并且,项目的户型真的迭代到了最新款:
编辑

尺度感上:这是新政后松江板块首个四开间朝南、且不封阳台的三阳台户型。
光着3个阳台的面积就高达约15㎡,还有5个飘窗,这个套内可实际使用的面积可能堪比曾经约140㎡左右的大户型了。
实用性上:由于3阳台的设计,项目的4间房间尺度感都非常惊人,可以满足多胎家庭和三代同堂的全生命周期需求。
尤其是北次卧,面积约9㎡,几乎对标同类竞品的主卧大小了,结合北向景观飘窗,视觉上增加室内通透度,提升空间利用率。
编辑

并且,南次卧独立阳台的隔断墙为非承重墙,可进行灵活改造。如果不想要四房,那可以打通改造成一个约6.8米南向大横厅。
编辑

这个尺度感足以容纳一场大型的家庭Party,是遥遥领先于同面积段产品的。
编辑

私密性上:项目是一梯一户的设计,预留了独立电梯厅。
这个电梯厅集收纳、私密、仪式感于一体,从业主踏进家门的第一步,就能感受到那份专属的尊崇感和私密性。
编辑

除此之外,项目是双玄关收纳,穿过高端定制铸铝装甲门,就是套内玄关,可以满足日常收纳需求,实用性拉满。
附样板间实景:
编辑

西派云间的终极改善户型,南向双阳台+可改造的灵动空间,这个会客厅的尺度高达约34㎡。而一般市区约200㎡的大平层也不过是这个尺度感。
编辑

同样一梯一户的设计,只不过大户型的独立电梯厅会更大,并且是阳光电梯厅,采光视野通透,也能容纳更多的生活想象。
编辑

除此之外,边套的建面约145㎡拥有约270°无柱景观飘窗,大幅拓展空间与视野,采光通透感拉满。
编辑

并且,整个主卧套房设计,还配置了豪华的主卫空间。
编辑

餐厅面宽与客厅同宽,可摆放多人位的圆形餐桌,轻松容纳全家人用餐。
这个户型堪比松江新城建面约160㎡以上的超大产品。
聊一下精装方面的细节:
三大件方面,大金(或同档次品牌,下同)的中央空调、地暖两联供;兰舍、爱迪士的新风,都是国际一线品牌。
厨房方面,老板、方太的灶蒸烤一体机、洗碗机;怡口、滨特尔的末端净水器;西顿、雷士的线型凉霸;摩恩、欧琳的垃圾处理器,你能想到的厨房细节,西派云间一应俱全。
卫浴就更是大牌云集了,唯宝的淋浴花洒、台面龙头;高仪的台盆、主卫智能马桶,都是豪宅的标配。
中国铁建以远超市面标准的投入,于产品设计、选材营造等环节倾注心力,打造了一个匹配新城核芯地位的品质标杆。整个项目有几个颠覆性的设计,跟大家分享下:
约2000㎡奢装会所。
西派云间约2000㎡的超大规模双下沉庭院艺术会所,是氛围与功能的极致融合。
首先,会所的入口设计奠定了整个空间的艺术基调。实景中,地面常采用天然石材的拼花工艺,不同色调的石材精准对缝,形成简洁而富有层次的几何图案,彰显低调的仪式感。
编辑

编辑

上方悬垂的艺术吊灯并非一味追求宏大,而是更注重造型的现代感与光影的层次,光线柔和地洒下来,营造出静谧、高级的氛围。
编辑

整体设计语言克制而精致,从第一步开始便传递出“酒店式”的归家礼序与专属格调。其次,这个会所的体量和能级,超越了目前市场上所有的千万级的高端豪宅。首先是体量,小编统计了部分顶豪会所,大家感受一下:
编辑

除此之外,整个会所包括了健身房、泳池、私宴厅、立体云间书吧等高端配套。
编辑

也就是说,无论是清晨的瑜伽、午后的艺术鉴赏、傍晚的泳池放松,还是周末的私人宴请,所有顶级生活场景皆在社区内、触手可及的高度上得以完美实现。 “这2000㎡是对‘圈层’和‘生活’最实质的投入。它意味着您的家庭生活、社交娱乐、健康养生,都有了顶级且私享的解决方案。
松江首个社区水幕瀑布。
最近在顶豪市场出现了利用高低落差来打造社区景观的项目,例如徐汇滨江约19.5万/㎡的绿城项目;大宁14万/㎡的中建项目。这是顶豪的标配,是上海更前端的设计理念。而这,却出现在了西派云间的社区内。这水幕瀑布景观,让不少千万级的豪宅都望尘莫及。
编辑

中央车站。
项目颠覆了传统地库的冰冷印象,打造酒店式中央车站。
以「中央车站」概念打造枢纽式空间,连通会所与庭院,实现高效通行与私密守护的平衡。让地下空间也成为「可社交的星级场所」。
这也是只有一些五星级酒店,以及市区最新的大几千万级的豪宅才会拥有的配置!
编辑

双桥入户。
项目的西侧与南侧双面临河,拥有约400米滨河带。
一方面,这样的占位让这个社区拥有出众的水系景观。
另外一方面,由于这样独特的天赋。当市场仍在追求入户大堂的奢华,西派云间已构建“城市—河流—社区” 的三阶归家礼序。
独创的双桥跨水入户系统,凌驾于碧波之上,行人踏桥而过时,城市喧嚣被流水隔绝,归家的静谧与尊崇感油然而生。
编辑

这种场景的递进,不仅是空间的切换,更是情绪的自然转化,让每一次归家都成为一场穿越风景的仪式。
可以看到,西派云间不是在卖房子,而是在提供一个位于城市核心的、独一无二的“出则繁华,入则隐逸”的生活解决方案。
这更是属于松江新贵的身份标识,是面子的荣耀,更是里子的笃定。
据悉,在产品方面,西派云间打造了约2000㎡奢装会所、松江首个社区水幕瀑布、中央车站等。
效果图如下:
编辑

编辑

编辑

编辑

编辑

编辑

中国铁建·西派云间
备案名:滨悦云庭
开发商:上海京涧房地产有限公司
认购时间:9月27日9时至10月1日12时
认购金:20万元(个人)
存款证明:首套109万元,二套146万元
社保系数:0.12分/月
开盘时间:10月12日13:30
本项目预售许可证:
松江房管(2025)预字0000309号、松江房管(2025)预字0000310号
编辑

编辑

编辑

编辑

编辑

编辑

中国铁建西派云间售楼处电话:400-8669-938
编辑
