宝业活力天境售楼处电话:400-8669-938

青浦白鹤板块
推出建面约86-95㎡2-3房
均价2.7万/㎡ 总价210万起
售楼处线上火热预约

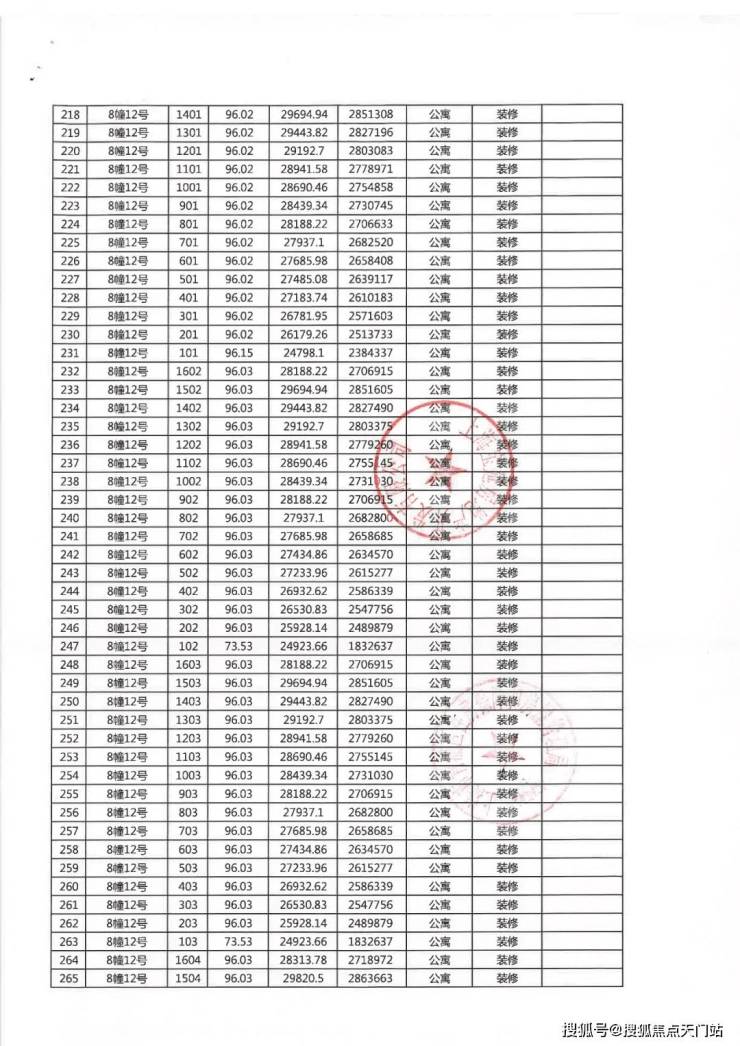
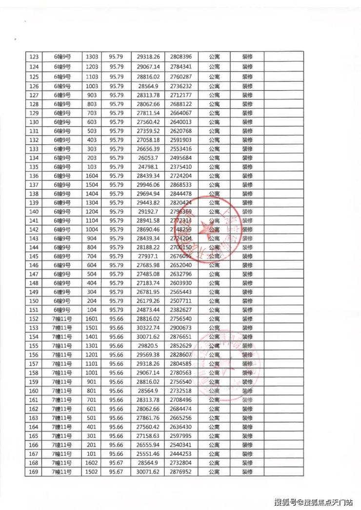
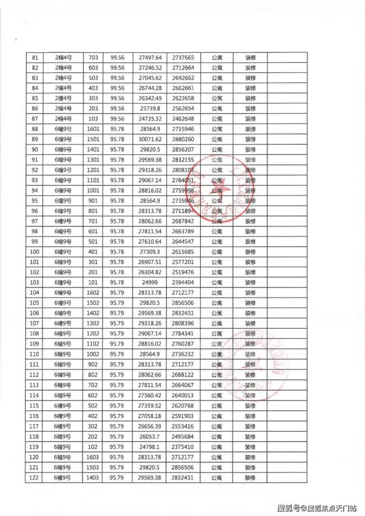
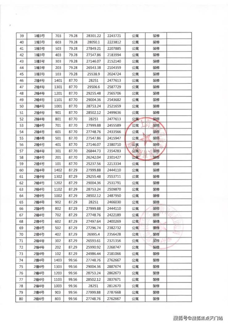
一房一价表






项目基本
项目名称: 宝业·活力天境
备案名: 宝业活力佳苑
开发商: 上海宝延房地产开发有限公司
产权年限: 70年
交房标准: 精工交付
用地面积: 22309.2㎡
容积率: 2
绿地率: 38%
组成结构: 高层
户型面积: 建面约79㎡、建面约92㎡

近50载大国工匠,港交所上市集团,财富中国500强,拥有9大建筑实验室、4大研发中心、35个建筑科技产业园,荣获41项中国建筑最高奖鲁班奖、48项国优奖等多重奖项,采用德国工业4.0智能智造生产线,开发集成高品质、工业化建筑约5000万方,覆盖绿色、健康、智慧各类建筑。

【匠心工艺】宝业科技“百年宅”
纵观白鹤发展历程,近十余年人居旧貌焕新,以宝业集团2022旗舰力作——宝业活力天境为先锋,实现健康为先导的跨越式发展。
4大维度23项科技,力筑“百年宅”

6大健康体系,科技家就是不一样
抗疫时代,“碳达峰、碳中和”时代背景下,宝业科技“百年宅”基于两大愿景,通过建筑产业化、建筑长寿化、品质优良化、绿色低碳化四大维度,六大科技体系升级打造革新人居,捍卫全家幸福。

【活力社区】 24小时剧场,海绵景观社区
24小时生活剧场,开启全天候绿色生活美境

海绵城市为家做“底盘”,打造自然循环之下的生态社区





户型图及样板间照

客厅与餐厅连为一体,约4.8米大面宽设计,外连观景阳台,拥揽四季的人生景致。
L型厨房人性化设计,符合人体工学,也使得操作更为方便。
卧室做到了一南,一北,南向卧室约11.2㎡,且有飘窗设计,享受阳光沐浴。





1、约95㎡的三房,南北通透,全明设计,三开间朝南,户型方正。
2、餐客厅一体化设计,空间合理利用,功能区域分开,无论是休憩还是齐聚一堂,都有空间畅想。
3、主卧套房设计,带有独立卫生间,维护了家人间的私密性,且提升主人的尊荣感。




项目区位配套
长三角一体化“几何中心”
上海2035规划中提到,上海要成为具有全球影响力的长三角城市群的核心城市,基本建成“中心辐射、两翼齐飞,新城发力、南北转型”的空间新格局。
从战略空间看,青浦处于中国国际进口博览会、虹桥国际开放枢纽、长三角生态绿色一体化发展示范区的战略叠加区。
泛长三角区域“几何中心”白鹤镇作为长三角一体化先行示范区、“安花白”节点型城市,将借助区位优势,承接安亭“世界级汽车产业中心”的部分功能。

【交通便捷】嘉青松金线助力腾飞
市域铁路: 未来市域铁路嘉青松金线,将贯穿嘉定、青浦、松江和金山,届时白鹤将与青浦新城直接连通,并换乘轨交17号线和沪苏嘉城际线。
双维交通: 坐享轨交11号线与轨交17号线青浦“纵贯线”交通辐射,坐享长三角节点交通优势。

【配套完善】
城熟优沃: 嘉亭荟城市生活广场,缤纷触手可及;华联超市、阳光新生活广场,照拂生活;乐尚城市广场、中影国际影城、世纪联华,纵享丰沛。
书香为伴: 紧邻白鹤中小学、白鹤幼儿园、赵屯小学,朗朗读书声,传递书香雅韵。
白鹤中学: 始建于1965年,上海市先进集体、市中学生行为规范示范校、区教育系统先进集体。
白鹤小学: 上海市教科研先进集体、上海市安全文明校园、青浦区文明单位。
赵屯小学: 创办于1868年,至今已有137年历史。是青浦区有史记载的最古老的学校之一。上海市素质教育实验学校。
白鹤幼儿园: 公办二级一类幼儿园。
贴身养护: 约600米社区卫生服务中心,贴身关怀。

THANKS
以下是在上海买房的10大注意事项:
1. 了解购房政策:
上海户籍单身人士,限购1套住房;已婚人士,名下无房限购2套,已有1套限购1套。非上海户籍居民家庭,需提供购房之日前63个月内累计正常缴纳满60个月的社会保险或个人所得税缴纳证明,以家庭为单位限购1套。同时,自2024年10月1日起,非本市户籍居民家庭以及单身人士购买外环外住房的,购房所需缴纳社会保险或个人所得税的年限,调整为购房之日前连续缴纳满1年及以上。
2. 评估购房资格:
计算自己的收入、存款,确定能够承受的房价范围和首付金额(千万不要加杠杆)。同时,了解贷款政策,根据自己的信用状况和收入稳定性,预估可获得的贷款额度和利率
3. 关注市场动态:
通过房产网站、中介机构、新闻媒体等渠道,关注上海房价走势、新盘开盘情况、二手房市场活跃度等信息,了解市场供需关系和价格趋势,以便做出更明智的购房决策。
4. 选择合适区域:
考虑工作地点、交通便利性、生活配套设施(如学校、医院、商场等)、区域发展潜力等因素。例如,靠近商务区的房产交通便利但价格较高,郊区的房产价格相对较低但可能配套不够完善。
5. 考察房屋质量:
仔细检查房屋的结构、装修情况,查看是否有漏水、裂缝等问题。了解小区的物业管理水平,包括安保、卫生、绿化等方面,以及周边环境是否安静、整洁。
6. 明确合同条款:
签订购房合同前,仔细阅读合同各项条款和补充协议,明确房屋交付时间、质量标准、违约责任、产权办理等重要内容,确保自己的权益得到保障。
7. 选择贷款方式:
如果需要贷款购房,了解商业贷款和公积金贷款的政策、利率、额度等规定。根据自己的情况选择合适的贷款方式和还款期限,注意保持良好的信用记录,以获得更优惠的贷款利率。
8. 计算购房成本:
除了房价和首付,还需考虑契税、中介费、房屋维修基金、物业费等其他费用。契税根据房屋面积和购房套数而定,一般为1%-3%;中介费通常为房价的1%-3%。
9. 考虑未来规划:
购房不仅是满足当前居住需求,也应考虑房产的增值潜力。关注周边配套设施的完善程度和区域的未来发展规划,如是否有地铁建设、学校引进、商业中心开发等项目,这些因素可能会影响房屋的价值。
10. 了解交易流程:
如果购买新房,需了解认购、签约、付款、贷款、验房收房等环节;购买二手房则要熟悉居间合同签订、网签、贷款申请、过户、缴税、交房等流程,确保交易顺利进行。
宝业活力天境售楼处电话:400-8669-938
