安澜上海售楼处电话/安澜上海地址/安澜上海在售户型/安澜上海营销中心/最新价格/首页网站/周边配套/容积率/楼盘小区详情
扫描到手机,新闻随时看
扫一扫,用手机看文章
更加方便分享给朋友
安澜上海售楼处电话:400-936-9938(已认证)

徐汇滨江 上海CBD新封面
【安澜上海】
主力总价4500-7000万
新规后上海首个“全域抬板
约3万方主题商业街区+约8000㎡檐下邻里荟
建面约195-245-280-370㎡户型
楼王370㎡样板房已开放 211套房源,均价17.88万/㎡
认购时间:12月19日-23日
认购地点:徐汇区零陵路与东安路交叉口
个人认购金:300万元
首套房:399万元 二套房:865万元
企业认购金:900万元
开盘时间:12月26日
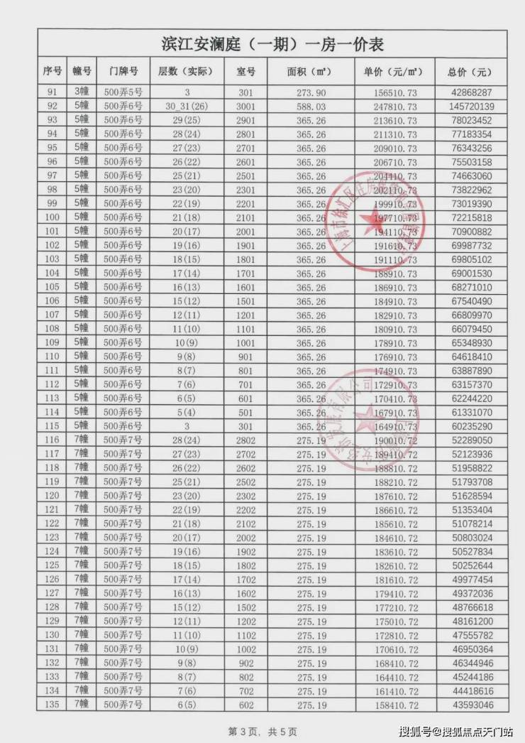
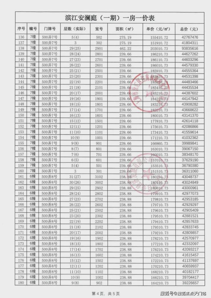
【安澜上海】一房一价表:
建面约195㎡,总价预计2700-3400万,折算单价约13.8-17.5万元/㎡
建面约245㎡,总价预计3700-4800万,折算单价15.1-19.6万元/㎡
建面约280㎡,总价预计4300-5600万,折算单价15.3-20万元/㎡
建面约370㎡,总价预计6000-7900万,折算单价16.2-21.3万元/㎡
安澜上海推出建面约192-365m²户型,以极致的面宽,和首个实现三面环幕采光全景舱创造出极致通透与纯粹的居住体验。
环幕全景舱238户型,三面采光的环幕全景舱空间,以框架剪力墙结构打破传统空间的视觉阻隔,极大程度上引入阳光与风景,带来纯粹通透的空间感官。同时新规之下带来阳台、飘窗等更多可拓展空间,满足多元场景下的空间生活需要,实现超高的空间实用率和居住品质感提升。
超面宽全能275户型以中央殿堂级家庭厅重构家庭情感交互方式,双主卧级套房设计尊重不同代际的私密需求,从专属归家动线到生活动线,每一处空间转换都经过精心编排,重新定义了"一生之宅"的内涵。
典藏365以约60米最大尺度的三面环幕视野,将徐汇滨江的天际线纳入生活画卷。垂直生活动线不仅是居住空间的创新,更是对生活仪式感的极致表达。超级沉浸式会客厅的双分区设计,南北套房的独立视野与私密世界,共同构建出超越传统豪宅的家族生活长卷。在这里,空间不仅是居所,更是私人志趣与时代滨江的典藏。
左右滑动查看更多
370样板间谍照:
会所效果图如下:
最新楼栋分布及户型图如下:
1
项目基本信息介绍
2025年9月,中海、招商、徐汇城投、中旅四家国央企以439.5亿的总价成功拿下上海徐汇东安地块(125 - 31,127b - 24),项目案名“安澜上海”, 总价超越香港中环地王,成为“全球新地王”,预计售价约20万/m²上下。
该项目位于上海徐汇滨江核芯区,是上海新规后的第壹个顶级豪宅产品,创新采用上海首个全地块4米以上整层抬板设计,将传统“地面—建筑—地下”的垂直结构重构为丰富高效与纯粹松弛的平行生活系统。
阳光车库,立体景观绿化,阳光会所,全景舱户型,超高得房率...主力户型200-400㎡大平层。
项目总体量约80万方,其中规划约3万平方米商业街区与约8000平方米全龄社区配套,成为整个社区的生活超级底盘。
安澜上海携手gad、CCD郑中设计、梁志天设计集团、无间设计、LSD、召禾、承迹、翊象设计等近20家国内外一线设计机构共同参与打造。
如此多元且顶尖的设计力量联合发力,不仅能让抬板更高级,还能将更多全球前沿的设计理念融入其中,让安澜上海的“抬板”不仅是功能升级,更成为上海顶豪产品的设计标杆。
整层抬板设计:约4米的高差抬板让地面空间与地下空间彻底分层。
三层归家动线:从地面景观层到架空层,再到入户层,穿越绿植、光影与水景,步步进入私域。
阳光地库与下沉花园:通过挑空与天井引光,将自然光线引入地库和会所空间。
大尺度楼间距与中央绿谷:楼间距约70米、中央绿谷约4000平米,让整个社区在城市高密度中仍拥有视野与空气的流动性。
项目上层则为悬浮的“浮岛花园”住宅区,住宅组团如“浮岛花园”悬浮于城市之上,实现真正意义上的人车分流与立体绿化。
立面设计采用大量的玻璃幕墙和金属材质,增强建筑的通透感和现代感。
项目打造了层次丰富的立体景观,通过抬板、立体庭院、下沉式绿化与建筑第五立面的融合,项目营造出了一个充满生机与活力的自然生态社区。
本项目专注改善型大户型,营造纯粹圈层,主力户型建筑面积约200-400㎡。
户型设计遵循新规,充分利用约16㎡阳台赠送面积,引入全景舱与三面采光设计,显著提升观景体验。

以下为建面约370㎡户型过程稿亮点:
超长采光面结合开阔视野,空间通透明亮;
别墅级全景舱聚会客厅,面积超80㎡,集天幕客厅、空中花园、独立吧台与藏酒功能于一体,满足高端社交需求;
双开间采光主卧,采光面约8米,打造约270°全景睡眠区,衣帽间采用三重分区收纳,卫生间明亮通透,并设独立玄关;
创新独立空中早餐厅,开启精致brunch生活场景;
顶豪配置:宽敞电梯厅、三间奢适套房、独立家政动线、独立中岛厨房与西厨区域。

设计意向图,仅供参考
2
项目周边综合配套
徐汇滨江东安项目【安澜上海】占位徐汇滨江核芯CBD,无缝连接徐家汇、淮海路等传统核心商圈,未来项目依托枫林路片区雄厚的医疗健康产业基础,与西岸金融城(西岸中環)、西岸数字谷(均预计2027年开业)形成功能互补,打造徐汇滨江产业发展的“第三极”。(数据源于上海规划资源)
世界级滨水封面的核心承载区
徐汇滨江凭借天然S湾岸线与核心段龙头地位,成为上海超越发展周期的黄金轴。作为徐汇滨江罕有的成片整体开发区域,安澜上海项目与西岸金融城共同擘画约260万方核心CBD,以“双地王”规模划界世界级卓越水岸的磅礴图景。
产业动能:全球资源聚合的未来经济引擎
项目依托漕河泾人工智能基底、下游数字谷与传媒港的产业培植力,以及枫林生命科学资源,吸引阿迪达斯大中华区总部、Lululemon中国总部等标杆企业落户。
超65万方甲级办公集群与290米地标双子塔,进一步强化前沿产业集聚效应,推动区域经济能级持续跃升。
配套能级:定义全球标杆的滨水生活范式
商业引力:超24万方零售生态中,约1.2公里空中大道、西岸中環重奢购物中心与顶奢旗舰店集群,形成亚洲标志性商业长廊。
奢享体验:全球罕有的三座文华东方酒店群,重新定义滨江旅居美学。
文化磁场:西岸漩心、龙美术馆等6大艺术场馆与品牌首发秀场,缔造全球时尚艺术策源地。
滨水休闲:百分百贯通的步行、骑行、车行观江动线,提供多元活力的公共亲水空间。
生活图景:层峰圈层的超级生活底盘
项目以约3万方东安不夜巷、约8000平米邻里聚落及5500平米高定会所,构建“潮流商业+圈层社交”双舞台。
结合SQL学校、南洋模范中学等优质教育资源,以及中山医院等三甲医疗资源,形成闭环式高端生活体系。四轨交汇与双隧道枢纽,进一步强化区域超链优势。
安澜上海项目的全面落地,标志着区域核心CBD功能要素的完整聚合。
以产业、商业、文化、居住的协同赋能,这里不仅成为世界级滨水封面上的鎏金之地,更将承载全球层峰人士对恒贵资产的终极向往。
安澜上海售楼处电话:400-936-9938(已认证)

声明:本文由入驻焦点开放平台的作者撰写,除焦点官方账号外,观点仅代表作者本人,不代表焦点立场。
