深业·深嘉上府(售楼处)首页网站-2025深业·深嘉上府销售中心(营销中心)楼盘欢迎您-小区环境-户型-价格-地址-楼盘详情-周边配套

搜狐焦点天门站 2025-10-13 18:23:00
用手机看
扫描到手机,新闻随时看

扫一扫,用手机看文章
更加方便分享给朋友

「深业·深嘉上府」售楼处电话400-118-3159 嘉定芯 同济旁 推出建面约88-99㎡三房户型 均价34219元/㎡ 总价约251万起 国企钜制+全屋精装+14号地铁口(在建)

「深业·深嘉上府」售楼处电话400-118-3159

嘉定芯 同济旁

推出建面约88-99㎡三房户型

均价34219元/㎡ 总价约251万起

国企钜制+全屋精装+14号地铁口(在建)

样板房提前线上预约

点击输入图片描述(最多30字)

样板房开放中

项目线上预约看房

售楼处电话400-118-

进入“深业·深嘉上府”官方预约通道

案场销售会第一时间与您联系

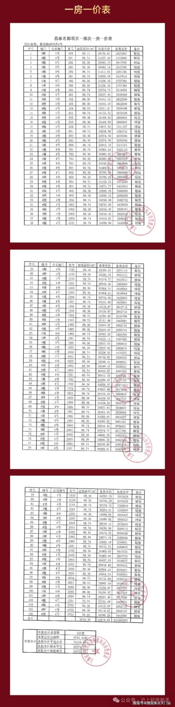
深业深嘉上府项目一房一价表:

点击输入图片描述(最多30字)

点击输入图片描述(最多30字)

项目开发商品牌

深业集团

深圳市人民政府全资拥有、深圳市国资委直管的大型综合性企业集团。集团前身于 1983 年在香港注册成立。深业集团以“产城创新建设者,幸福民生运营商”为发展愿景,打造以地产为核心、多层次协同发展的创新生态和幸福城市业务组合,聚焦地产、园区、运营、幸福、资本和数字化六大核心业务,实现城市综合开发运营的一站式服务!

2023 年深业集团首进上海,幸会嘉定。

点击输入图片描述(最多30字)

精研城市向上精神,匠心呈现约 12 万方上海“上系”人居首作,在繁华与自然兼具的氛围中,打造“城市与社区无界”、“景观与人居无界”“多元生活无界”的城市平行生活体。

项目推售详情

【深业·深嘉上府】项目集商业、办公、人居于一体,承载着片区产业+商业+人居的全新使命。配套约1万㎡自持商业与5.1万㎡商办空间,以未来城市会客厅的姿态围绕“15分钟生活圈”,打造“MALL + 开放街区”的创新形态,融合商业、社交与居住的多元场景。深嘉氢谷以氢能源为核心,双子塔地标重塑城市天际线,推动新兴产业集聚与区域功能升级。作为嘉定安亭少有的“产-商-住-办”一体化综合体,激活商业动能与产业升级“双引擎”,构筑真正意义上的“永不落幕”生活主场。打破传统生活定义,不设限、不束缚,致力于为当代青年提供全新的生活体验和多元需求。

点击输入图片描述(最多30字)

嘉定首创“24+1”沉浸式生活场

作为整个嘉定独一份的“全能型综合体选手”,深嘉上府不同于功能单一生活产业都需要仰仗区域规划的住宅社区,TA在一个项目体内实现了住宅、商业、办公的一站式整合!

项目整体宛如一个微缩城市,能够轻松构建“24+1 时”生活圈,在家门口就能实现“24 小时不打烊”的快乐!

点击输入图片描述(最多30字)

玻璃幕墙+金色格栅塔冠

远远望去,外立面宛如镶嵌在城市间的水晶,质感满满!同时,四栋楼一字排开,每一栋都尽享超大楼间距,每一户都能将室内采光度拉满!哪怕是低楼层也不用担心晒不到太阳!

点击输入图片描述(最多30字)

全龄段公区部分

宝妈带娃有儿童活动区,滑滑梯、大草坪一应俱全!

年轻人健身有全龄运动场,夜跑、打球功能齐全!

老人散步有林间密径、还有配置丰富的架空层空间,邻里交流活动风雨无阻!

点击输入图片描述(最多30字)

项目还配置了以往千万豪宅才有的 首层与地下双重精装入户大堂,给你满满的归家仪式感!

点击输入图片描述(最多30字)

户型分布↓

(首开4号楼)

点击输入图片描述(最多30字)

户型鉴赏↓

点击输入图片描述(最多30字)

深业·深嘉上府88㎡3房样板间视频实拍:

,时长01:40

点击输入图片描述(最多30字)

点击输入图片描述(最多30字)

点击输入图片描述(最多30字)

点击输入图片描述(最多30字)

点击输入图片描述(最多30字)

点击输入图片描述(最多30字)

点击输入图片描述(最多30字)

点击输入图片描述(最多30字)

深业·深嘉上府99㎡3房样板间视频实拍:

,时长01:11

点击输入图片描述(最多30字)

点击输入图片描述(最多30字)

点击输入图片描述(最多30字)

点击输入图片描述(最多30字)

点击输入图片描述(最多30字)

点击输入图片描述(最多30字)

点击输入图片描述(最多30字)

点击输入图片描述(最多30字)

项目区位配套

安亭,嘉定新城产业根基所在。庞大汽车产业集群,约 5502.9 亿元规模以上工业产值,带动板块下一个增长极。(数据来源:安亭观微,数据截止时间:2022 年底)

安亭汽车产业链为嘉定贡献了约 70%产值、约 60%销售、约 50%GDP、约 40%就业、约 30%税收,是嘉定发展不可或缺的重要主导型产业。(数据来源:界面新闻,数据截止时间:2019 年底)

点击输入图片描述(最多30字)

根据《嘉定新城十四五规划》,嘉定新城将以打造世界级汽车产业中心为契机,大力构建汽车“新四化”等千亿级产业和在线新经济为引领的新动能体系。目前、氢能港、蔚来、上汽、沃尔沃、丰田等均落址于此,成为嘉定二次发展的重要源泉。

点击输入图片描述(最多30字)

嘉定新城立足打通长三角一体化和虹桥国际开放枢纽的链接通道,构建“一核一枢纽、两轴四片区”的规划新格局。“一枢纽”即安亭枢纽——以安亭北站、安亭西站为核心,无缝连接虹桥国际开放枢纽,打造站城一体化、辐射长三角的综合交通枢纽。(信息来源:《嘉定新城总体城市设计》)

除此之外,上海 2035 规划中的宝嘉线、嘉青松线即将启动,嘉安高速延展嘉定向东,与宝山互通,以安亭为枢纽核心,嘉定再次站在了时代发展的风口之上。

点击输入图片描述(最多30字)

交通配套方面:

项目位于曹安路,为东西向重要干道四通八达,快速接驳沪嘉高速公路、沪宜公路、外环高速公路、中环路等多条黄金动脉链接市区及周边城市;本案距离地铁11号线上海汽车城站约3.5KM,快速高效通达市区

点击输入图片描述(最多30字)

全系配套,将向上的生活理想兑现于日常丰盛城市资源,日常烟火气息、松弛自然氛围,都是这里的生活常态。热气腾腾的生活场域,熨贴向上的身心。

5 大商业体——嘉亭荟城市生活广场、安亭财富广场、三德广场、中信泰富万达广场、嘉实生活广场。

点击输入图片描述(最多30字)

4 所专业医疗——安亭医院、东方肝胆医院(三甲)、瑞金北院(三甲)、嘉定妇幼保健院

点击输入图片描述(最多30字)

4 大生态公园——嘉北郊野公园、安亭汽车博览公园、远香湖公园、嘉定紫藤园

点击输入图片描述(最多30字)

5 处休闲配套——市民广场、保利大剧院、安亭老街、颖奕安亭高尔夫球场、州桥老街

点击输入图片描述(最多30字)

样板房开放中

项目线上预约看房

售楼处电话400-118-3159

进入“深业·深嘉上府”官方预约通道

案场销售会第一时间与您联系

声明:本文由入驻焦点开放平台的作者撰写,除焦点官方账号外,观点仅代表作者本人,不代表焦点立场。