"绿城·春晓园"位于上海,位于青浦区徐泾镇双联路北侧36-01地块,占地3.52公顷,容积率2.2,建筑面积77495.44平米,预计建面约100-150平米的3-4房,单价60910元/平米,联动价62000元/平米。
「绿城·春晓园 」
售楼处电话:400-1787-138(已认证)
营销中心热线:400-1787-138(欢迎致电)
售楼处预约电话:400-1787-138☎☎☎如有问题可来电咨询,预约销售专员,一对一为您服务!
绿城大虹桥首作
最新鸟瞰图
均价60910元/㎡
建面约100-150㎡3-4房
编辑

点击输入图片描述(最多30字)
8月2日上海二批次土拍第二轮,绿城以总价285574万元竞得青浦区徐泾镇双联路北侧36-01地块,地块出让面积35225.20㎡,容积率2.2,溢价率10%,楼板价36850元/㎡,房地联动价62000元/㎡。
地块详情:
编辑

点击输入图片描述(最多30字)
地块名称:青浦区徐泾镇双联路北侧36-01地块
四至范围:东至官路浜、南至双联路、西至经五路、北至徐德路
土地属性:普通商品房
出让面积:3.52公顷
容积率:2.2
建筑面积:77495.44㎡
住宅套数:685套
套均面积:约113㎡
编辑

点击输入图片描述(最多30字)
项目对于内部公共空间的设计规划有着明确的要求,包括公共设施、环形跑道、架空层、连廊等,可以满足对高端改善需求的期待,联动价6.2万/㎡!
编辑

点击输入图片描述(最多30字)
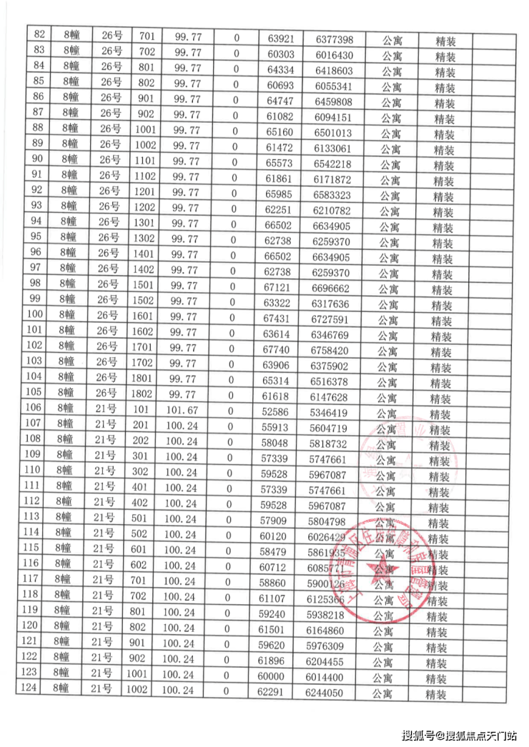
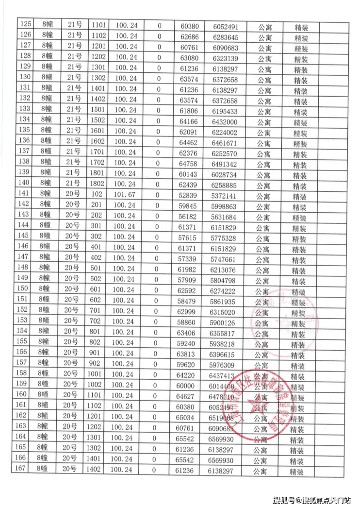
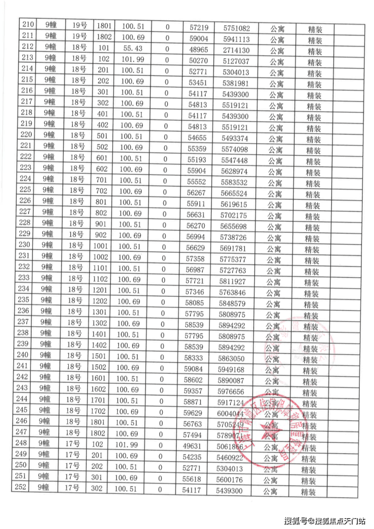
一房一价表:
编辑

点击输入图片描述(最多30字)
编辑

点击输入图片描述(最多30字)
编辑

点击输入图片描述(最多30字)
编辑

点击输入图片描述(最多30字)
编辑

点击输入图片描述(最多30字)
编辑

点击输入图片描述(最多30字)
编辑

点击输入图片描述(最多30字)
交通方面:项目地块与17号线徐盈路站的步行距离仅约1公里。
编辑

点击输入图片描述(最多30字)
商业方面:项目地处西虹桥15分钟生活圈城市样板区域,步行约1公里即可到达约10万方的西上海新晋网红商业中心——天空万科广场!
编辑

点击输入图片描述(最多30字)
教育方面:徐盈国际住区足足规划了多宗教育用地,将成为整个大虹桥的教育高地。随着众多优质学校先后进驻徐泾,徐泾国际住区的教育资源也越来越强,从小学到高中全覆盖!
编辑

点击输入图片描述(最多30字)
免责声明:对学校列举仅作描述使用,不代表或隐含开发商学区保证,具体请以政府规划为准
「绿城·春晓园 」
售楼处电话:400-1787-138(已认证)
营销中心热线:400-1787-138(欢迎致电)
售楼处预约电话:400-1787-138☎☎☎如有问题可来电咨询,预约销售专员,一对一为您服务!
一、购房前必知
产权性质:商品房、经济适用房、安置房等产权年限不同(住宅产权 70 年,商业 40 年),影响交易税费和落户。
五证齐全:《国有土地使用证》《建设用地规划许可证》《建设工程规划许可证》《建筑工程施工许可证》《商品房预售许可证》,缺一不可。
得房率:高层住宅得房率约 70%-75%,多层约 80%-85%,过高或过低都需警惕(如公摊过小可能影响公共设施)。