陆家嘴锦绣澜湾售楼处电话:400-8669-938
编辑

「陆家嘴锦绣澜湾」
浦东航头镇核心板块
建面约89-127㎡3房户型
均价4.8361万/㎡精装&毛坯
浦东18号线地铁航头站旁
售楼处火热预约中
编辑

项目地块信息
2022年7月25日,二批次土拍,上海祝湛建设发展有限公司(陆家嘴)以底价316580万元竞得浦东新区航头镇商贸中心单元(PDS1-0203)A2A-06、A2B-04地块,房地联动价4.83万/㎡!
编辑

项目东至A2B-03地块,南至航潭路,西至A2A-05地块,北至A2A-05、A2B-03地块,位于金地艺华年与爱法奥朗新庄园之间,距离18号线航头站步行距离约1.5公里!
编辑

项目区位示意图
项目总投资约50亿元,将为航头镇提供约1300套高品质商品住宅,计划于2025年10月竣工交付。
编辑

作为陆家嘴集团进军航头的首个项目, 项目团队从规划、建筑、景观、室内四大维度精心设计,并将在项目开发过程中,用心打磨项目每一个细节,秉持 “陆家嘴”品牌的有品质、高标准建设理念,致力于打造有温度的精品建筑。
编辑

项目推售详情
【陆家嘴锦绣澜湾】是一个大型商品房居住社区,占地面积约6.9万平方米,总建筑面积20.5万平方米,规划建设22幢高层住宅及其配套用房、一层地下车库,同时还将代建怡谷路。
编辑

项目整体采用 现代典雅的建筑风格,打造新海派滨水国际生活住区。建筑立面简洁又不失庄重典雅。
编辑

编辑

项目效果图
景观方面,营造公园式景观和滨水湾居生活场景,地块未来 打造三面环水,造就舒适私密的岛居氛围。匹配“新海派生活”的多元需求。
编辑

项目效果图
编辑

项目效果图
编辑

项目以森系围界,拥有优美的天际线,秉承以人为本的原则,运用植物大健康战略营造防尘降噪、降温降湿的康养人居,以“康养”贯穿全园。 具体包括:
· 约230m烟火慢街区,大尺度全季共享街区;
· 约320m景观礼仪轴,活力、现代的城市界面。
编辑

项目效果图
编辑

项目效果图
产品方面,项目将推出建面约89-99-105-127㎡三房,全飘窗设计,精装或毛坯交付,可满足不同的置业需求, 总价约354万-650万左右!
全套户型图如下:
编辑

建面约89㎡3房,户型方正,三开间朝南。餐客厅一体,连通阳台,采光通风俱佳。全卧飘窗,主卧套房设计,提升了舒适度。1.5卫设计更加人性化,便于使用。
陆家嘴锦绣澜湾约89㎡ 3房样板间实拍▼
,时长
01:06
编辑

编辑

编辑

编辑

编辑

编辑

编辑

编辑

编辑

建面约99㎡3房,双开间朝南,双联观景阳台,具有良好的采光、通风。LDK设计,增强互动交流。套房式主卧,步入式衣帽间,兼具舒适性和私密性。
编辑

编辑

建面约105㎡3房,餐客大横厅设计,与南面阔景阳台相连,采光通风良好。全卧飘窗,主卧套房设计,提升了居住舒适度。U型厨房,动线流畅。
多面采光,南向双联阳台,增强了通透性。独立储物间设计,更具有实用性、功能性。动线合理,没有面积浪费。
陆家嘴锦绣澜湾约105㎡ 3房样板间实拍▼
,时长
00:52
编辑

建面约127㎡3房,飞机户型,动静分区。双套房设计,私密性舒适性俱佳。客厅预留灵动空间,可作为书房、儿童活动区使用。
陆家嘴锦绣澜湾约127㎡ 3房样板间实拍▼
,时长
01:26
样板间实景图▼
编辑

编辑

编辑

编辑

编辑

编辑

编辑

项目区位配套
交通配套方面:项目周边16/18号线双轨交环绕。距离18号线航头站步行距离约1.5公里。18号线被称为浦东南北新动脉,全线可与15条轨交换乘,无论到市区还是浦东核心区域都比较方便!
编辑

临近申嘉湖高速、沪南公路、林海公路以及在建的S3等交通主干道,自驾出行也十分便利!
编辑

商业配套方面:项目周边的社区底商能够满足日常生活需求,比如美容店、宠物店、药房、小吃、餐厅、便利店等。1公里范围内有苏航生活广场、农工商超市等商业配套。
编辑

医疗资源方面:项目临近上海中医药大学附属龙华医院(三甲)在建中,预计23年投入使用,周边还有上海交通大学医学院附属仁济医院南院、上海南航医院、航头社区卫生服务中心等为医疗配套。
编辑

另外值得一提的是,项目南侧为爱法奥朗新庄园别墅区,所以未来锦绣澜湾项目的高区视野将会非常开阔,俯瞰整个别墅区。
编辑

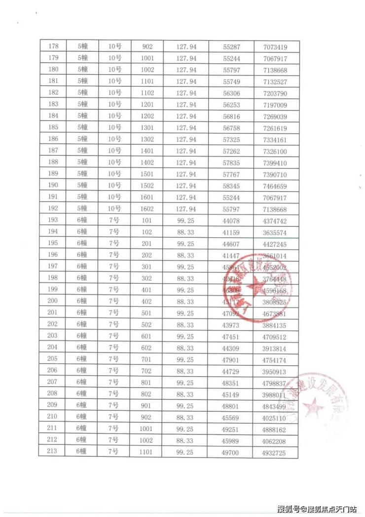
项目一房一价表
编辑

编辑

编辑

编辑

编辑

编辑

编辑

编辑

编辑

编辑

陆家嘴锦绣澜湾售楼处电话:400-8669-938
编辑
