龙湖御湖境官方网站-上海龙湖御湖境售楼处电话–龙湖御湖境楼盘详情-交房时间-地址-最新房价户型图-小区环境-楼盘详情-交房时间-周边配套-售楼处电话

搜狐焦点天门站 2026-01-19 20:10:00
用手机看
扫描到手机,新闻随时看

扫一扫,用手机看文章
更加方便分享给朋友

龙湖御湖境售楼处电话:400-8669-938

龙湖御湖境售楼处电话:400-8669-938

龙湖·御湖境

奉贤新城 上海之鱼旁

建面约107-175㎡高层/洋房

均价4.55万/㎡ 总价430万起

1500方海派会馆+低密滨湖墅境

样板房线上火热预约中

样板房开放中

项目线上预约看房

4

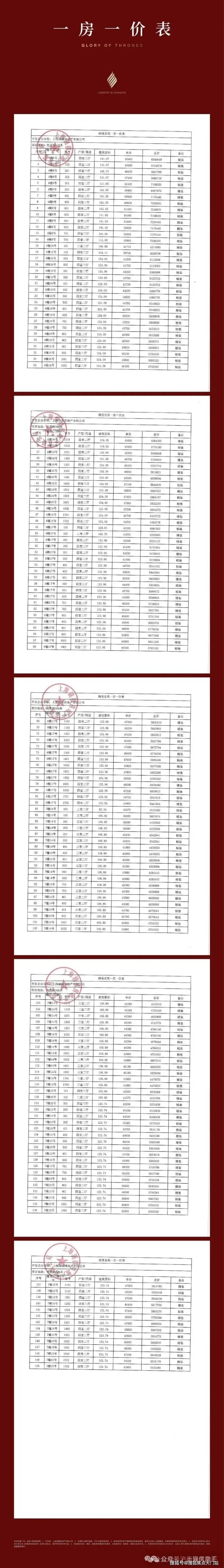
项目一房一价表:

近日,奉贤现象级红盘——龙湖·御湖境再次引发市场关注!

两开两捷,轰动奉贤楼市!首开十亿登顶奉贤,二开热销5亿续写热销传奇,造就 8月上海全市成交套数TOP3,8月外环外成交套数TOP1,荣居五大新城销量TOP1,持续霸榜奉贤成交套数面积金额三冠王,万众瞩目的沪上红盘!这印证了龙湖御湖境强大市场号召力及硬核产品力。

这般奇绩,源于龙湖超级的产品力+超前的兑现力,也是征服塔尖的本质与价值。 项目基本信息

项目名称: 龙湖·御湖境

项目位置: 奉贤新城

总套数: 364户

产品: 小高层&洋房

户型: 建面约107㎡、123㎡、140㎡、175㎡

得房率: 78%-82%

交付标准: 精装&毛坯

均价: 45200元/㎡

售价: 430万起

梯户比: 一梯两户

容积率: 2.2

绿化率: 35%

车位配比: 1:1.3

开发公司: 龙湖集团&建华地产

交付日期: 2026年12月

01.产品规划

御湖境,地处奉贤芯绝版宅地,占据南奉公路+金海公路黄金十字中轴,距奉贤天街直线仅约 300 米,地铁 5 号线奉贤新城站、奉贤中学、奉贤中心医院等高能级配套如众星捧月环绕。该项目占地23460㎡,总建面51611.16㎡,容积率2.2,绿化率30%,规划330户品质住宅。

02.建筑设计

奉贤御湖境以“馆藏”为概念,重写顶级豪宅会所的表达规则。长约54米、高约8米的「殿堂级门扉」,两侧铺陈“奢石之王”蓝翡翠,磅礴气场扑面而来。举首仰望,约 300㎡璀璨星空顶 模拟出浩瀚银河的深邃意境。正面是由1286块浅米色瓷筒融合在地非遗“锔瓷”技艺打造的 艺术瓷墙

来到致敬金贝尔美术馆打造的 「天穹光廊」 ,地面由蓝翡翠+汉白玉+温德姆灰3种奢石精细切割拼花而成,长廊尽头景墙精选龙纹绿奢石,中轴对称的庄严格局,仿佛漫步博物馆。

现代极简建筑,米白石材与深灰金属线条相得益彰,窗墙比0.45,部分楼栋更享270°全景视野,颜值与视野双重享受。

项目对标顶奢酒店礼序,项目前瞻性地打造 「奉贤首座中央车站」 ,将社区地库与地下会所的接待序厅无缝衔接, 车行道+人行道区隔 设计,归家不受风雨影响,指尖轻抚源自非洲的 卡里冰玉奢石 ,将每日必经之路升华为沉浸式美学体验。

深藏于建筑怀抱之中的 下沉式「琉璃光院」 ,是历经数十版方案淬炼出的灵魂之作。御湖境标志性 汉白玉玄月族徽 ,与 高10米的蓝水晶奢石光幕 ,共同演绎 “日月同辉” 的震撼场景。庭院深处 50年乌桕树王 矗立。

一汪深邃的 「宇宙之心」漩涡水景 ,灵感源自梵蒂冈博物馆举世闻名的双螺旋楼梯,模仿宇宙星系流转的宏大景象,纳藏天地万物生生不息的力量。

03.会所设计

御湖境斥巨资打造 约1500㎡「海派泳池会馆」 ——泳池会所,涵盖健身、瑜伽、社交、阅读等八大功能空间,如同一座生活的博物馆,为奉贤顶层人物提供全方位奢享!

「奉贤首个无边际恒温泳池」 是整个会所的灵魂所在。

泳池设计以“水韵织构”为核心理念,其视觉焦点在于穹顶,连续流畅的曲面拱顶如同被风吹皱的巨大水幕,又似凝固的海浪,与下方波光粼粼的泳池水面形成上下呼应的绝妙韵律,无边泳池又与琉璃光院在视觉上无缝衔接,在乌桕树的冠盖浓荫下恣意游弋,营造出泳池与天地共呼吸的震撼体验。

移步 森氧无界全景健身房 ,顶级健身器械一应俱全。在负氧离子机创造的富氧森林般环境中挥汗如雨,欣赏着全落地窗外琉璃光院的如画景致,身心与视野同频升华,疲惫瞬间消解。

午后时分,邀二三挚友落座行政酒廊。暖阳斜照,在优雅的环境中洽谈要事,或细细品味一杯手冲瑰夏咖啡的精致花果香,或小酌珍藏年份的单一麦芽威士忌,琥珀色的酒液在杯中折射岁月的光芒。

项目推售详情

据悉, 【龙湖·御湖境】 规划2栋7层洋房、5栋14 - 17层小高层 ,共348户 ,居住密度低,舒适度直线拉满。现推出107-123-140-175四种户型 ,共150套房源,均价54200元/㎡,正在认购中,总价430万起!

全套户型图如下:

龙湖御湖境,精装107㎡大三房,呈现跃级享受的奢华场景,打造PLUS超奢尺度,如约10.8米跃级南向采光,阔享市面120㎡户型的尺度感;约4.75m真横厅,从容聚会、开派对,大有排面,尽情摆阔。越是跃级,越是难求, 精装107㎡大三房,只此最后一栋,限量34席!

约 123 ㎡全能四房 , 致献奉贤塔尖,以全能大四房的形态,重新定义实用主义天花板,约 45m ² LDKG 客餐厨全打通,约 6.4m 巨幕面宽,一键切换轰趴、闺蜜局、生日宴等模式。奢配博世厨电 4 件套,烟机、灶具、洗碗机、蒸烤一体机,百年德系经典,经久耐用,妥妥的满分爆款!

龙湖·御湖境建面123㎡4房样板间实拍视频:

约 140 ㎡超配四房洋房,奢阔双厅南北通透,还可改造成约8m巨幕宽厅,

一线进口的博士厨电四件套,约 2 5 ㎡的臻奢套房主卧等高光标签,洋房更臻稀。

龙湖·御湖境建面140㎡4房样板间实拍视频:

城芯 传世孤品175㎡ 大平层,整个奉贤新城 20-25 年供应 4 551 套新房, 1 50 ㎡以上仅 1 50 套,供应占比不足 3% 的,每一席皆稀贵。其一宅一格局,为奉贤大人物量身定制,可谓真正的传世孤品。

项目区位配套

交通方面: 主出入口与轨交奉贤新城站1号口仅300米步行距离,真正实现“出家门即入站台”的地铁房标准。这里是 上海首个三轨交汇的新城片区 ,分别是 5号线、15号线延伸段、南枫线 ,未来 30分钟可直达莘庄、前滩等 城市副中心,45分钟贯通虹桥枢纽。

商业方面: 项目东西两侧分别与 龙湖天街、新世界休闲生活广场 无缝衔接,形成“商业双核驱动”格局。其中龙湖天街作为区域旗舰商业体,已引入超200家品牌,从高端餐饮到亲子教育一应俱全。这种“下楼即繁华”的配置,即便放在中环内也属稀缺资源。

教育方面: 背靠奉贤顶级学府奉贤中学,奉贤中学附属初中、 奉贤中学附属小学、金海幼儿园, 幼小初高教育资源环侧

医疗配套: 奉贤中心医院、奉贤中医医院、 上海交通大学医学院附属新华医院(即将开业)、国际妇幼 和平保健院奉贤分院等

龙湖御湖境售楼处电话:400-8669-938

声明:本文由入驻焦点开放平台的作者撰写,除焦点官方账号外,观点仅代表作者本人,不代表焦点立场。