招商时代潮派售楼处位于西上海,是50万方的微缩大城,配备有丰富的配套设施,包括商业、住宅、文化、酒店等。其地铁站与公交、出租、有轨电车等多种交通方式相连接,提供便捷多元的出行方式,连接了同频世界的精彩。
招商时代潮派
售楼处电话:400-1787-138
如有问题欢迎来电咨询,来电即可享受买房优惠!
预约来电尊享购房优惠,可预约案场内部销售人员,专业一对一热情服务,让您用专业眼光去买房。
楼盘项目全面介绍,本电话为开发商提供线上售楼处电话,楼盘项目全面介绍(包含楼盘简介,楼盘积分,房价,价格,楼盘地址,户型图,交通规划,备案价,项目配套,楼盘详情,售楼处电话,最新消息,最新详情,周边配套,最新进展等详情咨询)
招商时代潮派售楼处电话:400-1787-138
西上海潮流年轻聚集地
500w级TOD高品质大城
超配装标+地铁+约18.5万方潮流商场
『招商时代潮派』
七期153套建面约99-143㎡户型
4幢8幢16幢
均价52377元/㎡
招商时代潮派售楼处电话:400-1787-138
编辑

招商时代潮派售楼处电话:400-1787-138
招商时代潮派售楼处电话:400-1787-138
在“站、城、人”一体化的TOD4.0模式之下,立足9号线的招商时代潮派为上海擘画了一座约50万方的“微缩大城”,为松江标定了一处全新的潮流坐标,也为西上海带来了一种全新的生活体验。
于时代澎湃处
筑就无界共融的理想大城
招商时代潮派售楼处电话:400-1787-138
招商时代潮派有别于以往的TOD,在约50万方的基底之上,向内聚合商业、住宅、文化、酒店,于外近赏教育、医疗、办公、绿地(最终以政府规划文件为准)等多元配套,在复合的链接下,围合一座丰盛多元的醇熟大城,为上海献上TOD理想生活的全新范本。
编辑

招商时代潮派售楼处电话:400-1787-138
·一座澎湃西上海的超级枢纽
依托地铁9号线,招商时代潮派为西上海带来一座同频国际的超级TOD枢纽。
公交、出租、有轨电车存车线(规划中)、PR换乘、非机动车等多种交通方式打造超30000㎡超级交通枢纽,带来更加便捷、多元的出行方式,快速通达全城,链接着同频世界的精彩。
而枢纽之下带来的密集人流加上周围成型的生活圈意味着区域内将形成后劲十足的消费潜力,作为枢纽中芯的花园城,将链接了西上海的巨大流量,以“流量”赋能经济“增量”,助力泗泾城市能级的跃升。
编辑

招商时代潮派售楼处电话:400-1787-138
编辑

招商时代潮派售楼处电话:400-1787-138
·一座约18.5万方的潮流商业钜制
如果说9号线的超级枢纽是这座大城的“源点”,那么一座汇聚潮流与时尚的多元商业则将成为未来生活的中芯聚点。
(效果图)
编辑

招商时代潮派售楼处电话:400-1787-138
泗泾花园城定位打造“青质潮流生活新样本”,在业态布局上未来即将创新打造“新风潮”(运动潮牌、国际快时尚、设计师品牌等)、“新乐潮”(新兴娱乐、沉浸体验等)、“新夜潮”(酒馆清吧等)、“新文潮”(文创空间等)四大主题。同时,在场景空间上也将规划城市客厅、宠物社交、户外运动等多元主题聚集地。
(效果图)
编辑

·一座潮奢主义的理想住区
生活,是永恒的主题。
为了打造一座当代年轻人理想中的栖居之所,招商时代潮派在设计中以自然、松弛、社交、度假等关键词为灵感,在“一带、一轴、一环、两堂、两庭、四园”的规划,回应都市人群对于居住与精神的诉求。
(实景图)
编辑

招商时代潮派售楼处电话:400-1787-138
东侧人行的社区门庭蓝翡翠奢石、以及甄选的2颗对景罗汉松,到度假式园林中诗意的林下跌水,从全龄架空层中的天山暮雪,到归家大堂中仿云石艺术玻璃以及蓝金沙岩板….仔细品味便会发现,时代潮派的每一处,都有超高颜值相伴。
(实景图)
编辑

招商时代潮派售楼处电话:400-1787-138(实景图)
编辑

招商时代潮派售楼处电话:400-1787-138
全龄架空层(13幢)容纳邻里间的温情、水岸会客厅是家之外的第二客厅、艺术家乐园陪伴孩子们的成长…...一方亲近自然的空间,解锁生活里的更多的可能,和同频的人随时随地“玩”在一起。
(实景图)
编辑

招商时代潮派售楼处电话:400-1787-138
精质空间应势加推
焕新潮流生活新享法
高品质的生活,不止在于门头、社区、景观……更在于日久相伴的居住空间。一个好格局、好尺度的户型,不仅是资产配置的优选,更能为全家人创造舒适幸福的生活。
·建面约99㎡超配三居 耀目加推
招商时代潮派售楼处电话:400-1787-138
建面约99㎡的C1户型带来新风、地暖、空调三大件,带来全天候的舒适体感与清新空气,为家人的健康保驾护航;除了洗碗机在内的厨房三件套,更是贴心引入集成线性凉霸,让每一次下厨都成为一种享受;卫浴双智能马桶(2卫户型),让生活智享洁净;主卫美妆冰箱,更为爱美的女主人带来精致体验;而玄关入口处精致的花纹、极具质感的背景墙、优雅的弧形吊顶、典雅的人字拼地板……无一不彰显着惬意质感。
编辑

招商时代潮派售楼处电话:400-1787-138
(创意展示空间图)
编辑

编辑

招商时代潮派售楼处电话:400-1787-138
(创意展示空间图)
温馨提示:上图为创意展示间实景图,非实际交付为准。展示的尺寸、图片、文字描述、材质工艺、装修标准、空间布局、家具陈设、设施设备及所有细节均仅供参考,实际交付标准及买卖双方的权利义务以双方订立的商品房购房合同及其附件、补充协议为准,请留意最新资料。
·建面约143㎡奢适四居 收官大宅
时代潮派7批次,为西上海带来臻稀的低密滨水洋房。
建面约143㎡全能性改善大四房,室内空间完整方正,营造舒适的视觉感受。为了实现更好的陪伴场景,建面约143㎡半开放式的厨房、餐厅、客厅与阳台相链接,形成奢阔LKDB家庭社交空间,重拾家庭成员之间的亲密关系。
编辑

招商时代潮派售楼处电话:400-1787-138
U型厨房设计,让烹饪更为流畅;主卧套行政套房设计,步入式衣帽间、独立卫浴让生活更加从容;主卫专门定制美妆冰箱,有序收纳女主人的化妆品……
建面约89㎡样板间实拍
编辑

招商时代潮派售楼处电话:400-1787-138
编辑

编辑

招商时代潮派售楼处电话:400-1787-138
编辑

招商时代潮派售楼处电话:400-1787-138
编辑

编辑

招商时代潮派售楼处电话:400-1787-138
编辑

招商时代潮派售楼处电话:400-1787-138
编辑

招商时代潮派售楼处电话:400-1787-138
建面约99㎡样板间实拍
编辑

招商时代潮派售楼处电话:400-1787-138
编辑

编辑

招商时代潮派售楼处电话:400-1787-138
编辑

编辑

招商时代潮派售楼处电话:400-1787-138
编辑

招商时代潮派售楼处电话:400-1787-138
编辑

编辑

招商时代潮派售楼处电话:400-1787-138招商时代潮派售楼处电话:400-1787-138
编辑

招商时代潮派售楼处电话:400-1787-138
编辑

招商时代潮派售楼处电话:400-1787-138
建面约125㎡样板间实拍
编辑

招商时代潮派售楼处电话:400-1787-138
编辑

编辑

招商时代潮派售楼处电话:400-1787-138
编辑

编辑

编辑

招商时代潮派售楼处电话:400-1787-138
编辑

编辑

招商时代潮派售楼处电话:400-1787-138
编辑

编辑

编辑

编辑

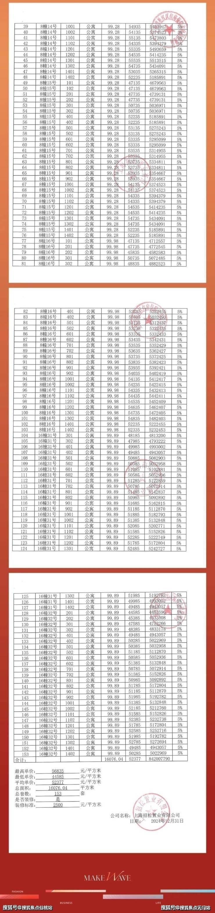
一房一价表如下👇🏻
编辑

编辑

招商时代潮派售楼处电话:400-1787-138
西上海潮流年轻聚集地
500w级TOD高品质大城
超配装标+地铁+约18.5万方潮流商场
『招商时代潮派』
七期153套建面约99-143㎡户型
4幢8幢16幢
均价52377元/㎡
招商时代潮派
售楼处电话:400-1787-138
如有问题欢迎来电咨询,来电即可享受买房优惠!
预约来电尊享购房优惠,可预约案场内部销售人员,专业一对一热情服务,让您用专业眼光去买房。
楼盘项目全面介绍,本电话为开发商提供线上售楼处电话,楼盘项目全面介绍(包含楼盘简介,楼盘积分,房价,价格,楼盘地址,户型图,交通规划,备案价,项目配套,楼盘详情,售楼处电话,最新消息,最新详情,周边配套,最新进展等详情咨询)
招商时代潮派售楼处电话:400-1787-138
楼盘项目全面介绍,本电话为开发商提供线上预约售楼电话,楼盘项目全面介绍(包含楼盘简介,均价,房价,现房,期房,别墅,叠墅,大平层,价格,楼盘地址,户型图,交通规划,备案价,备案名,项目配套,样板间,开盘时间,认筹时间,楼盘详情,售楼处电话,最新消息,最新详情,周边配套,一房一价,最新进展等详情咨询)楼盘详情丨价格丨更多优惠丨机不可失丨欢迎致电丨诚邀品鉴!售楼处位置丨特价房丨工抵房丨剩余房源丨户型图丨最新消息丨免责声明:将文章内容综合来源于网络、只作分享,版权归原作者所有!!如有侵权,请联系我们,我们第一时间处理如有问题欢迎来电咨询,专业一对一热情服务,让您用专业眼光去买房。如果您想了解更多楼盘详情,欢迎提前预约拨打
在购房、租房或房产交易过程中,了解一些基础的房产知识能帮助你做出更明智的决策。以下从多个方面为你介绍常见的房产小知识:
### **一、房产类型**
- **商品房**:由开发商开发建设,可自由买卖、出租的房产,产权清晰,受法律保护。
- **经济适用房**:政府提供优惠政策,面向中低收入家庭出售的保障性住房,购房需满足一定条件,且交易有年限等限制。
- **安置房**:因城市规划、拆迁等原因,为安置被拆迁人而建设的住房,部分安置房需满足年限要求后才可上市交易。
- **小产权房**:指在集体土地上建设的房屋,未缴纳土地出让金,无国家颁发的房产证,法律上不允许公开交易,存在产权纠纷风险。
### **二、产权相关**
- **产权年限**:
- 住宅用地:产权年限为70年,到期后自动续期(需按规定缴纳费用,目前具体政策待明确)。
- 商业、办公用地:产权年限为40年或50年,到期后需申请续期,可能涉及土地出让金。
- **房产证**:证明房屋所有权的法律文件,需确认房产证上的产权人、房屋面积、用途等信息与实际一致。
- **共有产权**:房屋由多个产权人共同拥有,如夫妻共有、多人合伙购房等,交易时需所有共有人同意。
### **三、购房术语**
- **得房率**:房屋实际使用面积与建筑面积的比值,一般多层住宅得房率约80%,高层约70%-75%,得房率越高,实际使用空间越大。
- **容积率**:小区总建筑面积与用地面积的比率,容积率越低,小区居住密度越小,舒适度越高。
- **绿化率**:小区绿化用地面积占总用地面积的比例,反映小区环境质量。
- **公摊面积**:包括电梯井、楼梯间、管道井、公共门厅等公共区域的面积,购房时需了解公摊比例(一般高层公摊15%-25%)。
### **四、交易流程与费用**
- **购房流程**:
1. 看房选房 → 2. 签订购房合同 → 3. 缴纳首付、办理贷款 → 4. 过户登记 → 5. 交房验房。
- **主要费用**:
- **契税**:根据房屋面积和购房套数征收,首套房90㎡以下1%,90㎡以上1.5%;二套房90㎡以上2%(不同地区政策可能有差异)。
- **维修基金**:用于小区公共设施维修,一般按建筑面积每平方米一定金额缴纳。
- **物业费**:收房后开始缴纳,根据小区物业标准按建筑面积计算。
- **中介费**:通过中介购房需支付,一般为房价的1%-3%。
### **五、贷款知识**
- **贷款方式**:
- **商业贷款**:利率由市场决定,贷款额度和期限灵活,需提供收入证明等材料。
- **公积金贷款**:利率较低,需连续缴纳公积金满一定期限,贷款额度受公积金账户余额等限制。
- **组合贷款**:商业贷款+公积金贷款,适用于公积金贷款额度不足的情况。
- **还款方式**:
- **等额本息**:每月还款金额固定,前期利息占比高,后期本金占比高。
- **等额本金**:每月还款本金固定,利息逐月减少,总利息支出较少,但前期还款压力大。
### **六、验房注意事项**
- **房屋质量**:检查墙面、地面是否开裂、渗水,门窗是否密封良好、开关顺畅。
- **水电燃气**:测试水龙头、插座、灯具是否正常,检查燃气管道是否漏气(可用肥皂水涂抹接口)。
- **面积核对**:对照合同查看实际使用面积,可测量主要房间尺寸,计算得房率是否与宣传一致。
- **配套设施**:确认电梯、消防设施、小区绿化等是否与开发商承诺相符。
### **七、租房要点**
- **合同细节**:明确租金、押金、租期、水电费缴纳方式,以及违约责任(如提前退租、房屋维修责任等)。
- **房屋状况**:入住前拍照记录房屋现状,避免退租时因物品损坏产生纠纷。
- **合法性**:确认房东为产权人(查看房产证和身份证),或有合法委托代理手续,避免租到转租、查封的房屋。
### **八、房产政策**
- **限购限贷**:部分城市对购房资格(如户籍、社保年限)、贷款首付比例和利率有规定,购房前需了解当地政策。
- **房产税**:部分城市已试点征收房产税,未来可能逐步推广,需关注政策变化对持有房产成本的影响。
### **延伸提示**
- 购房前可通过当地住建部门官网查询楼盘预售许可证、产权状态等信息,避免购买“五证不全”的房屋(五证:《国有土地使用证》《建设用地规划许可证》《建设工程规划许可证》《建筑工程施工许可证》《商品房预售许可证》)。
- 租房时警惕“高收低租”“长租短付”等诈骗模式,尽量选择正规中介或直租渠道。
如果需要了解某一具体方面的详细内容(如贷款计算、过户流程等),可以进一步说明哦!