宝业活力天境售楼处电话:400-8669-938
编辑

青浦白鹤板块
推出建面约86-95㎡2-3房
均价2.7万/㎡ 总价210万起
售楼处线上火热预约
编辑

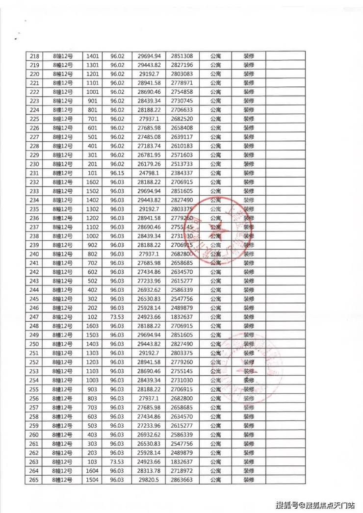
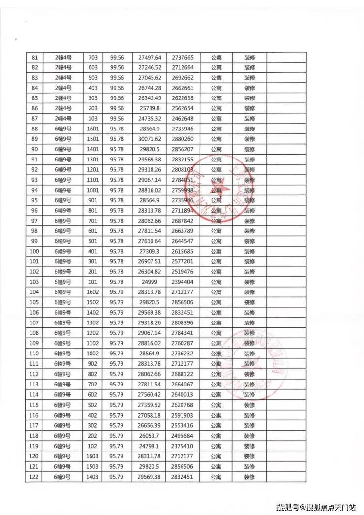
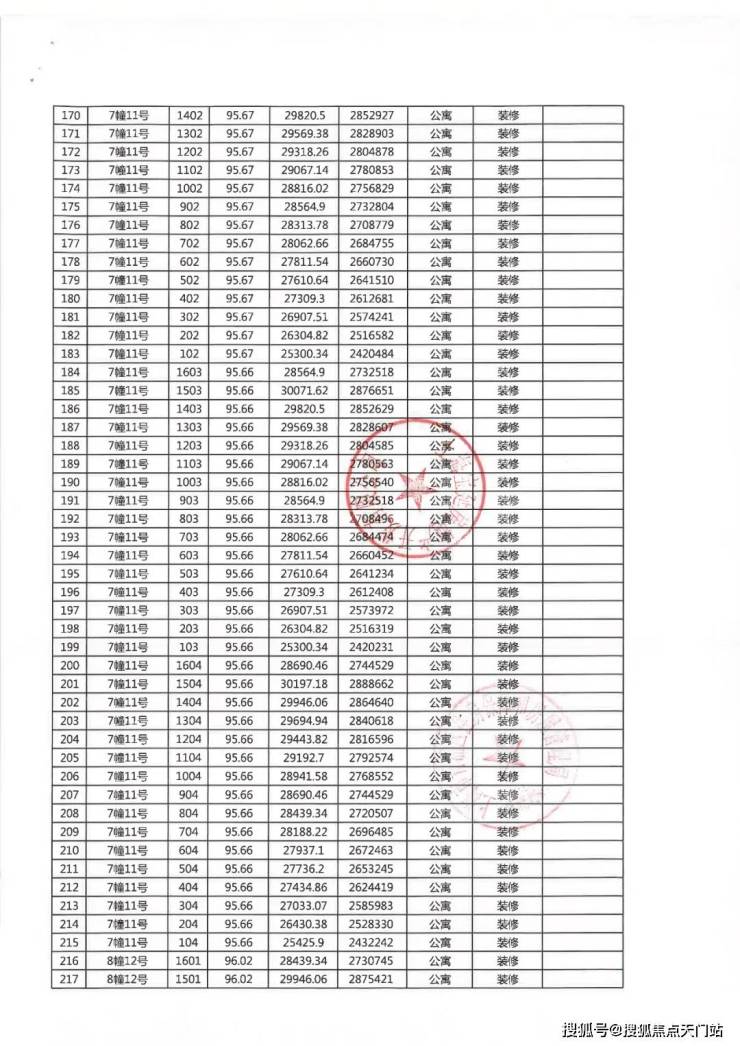
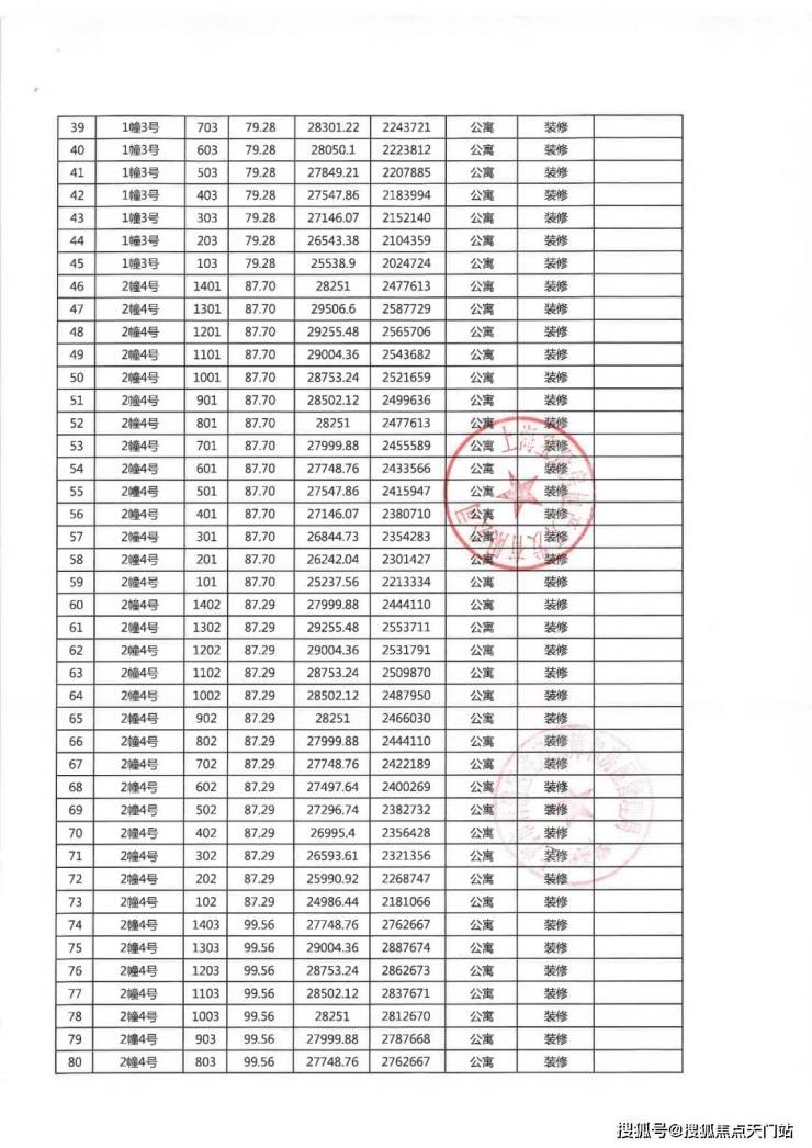
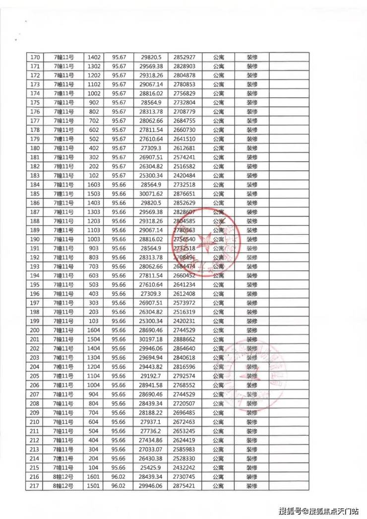
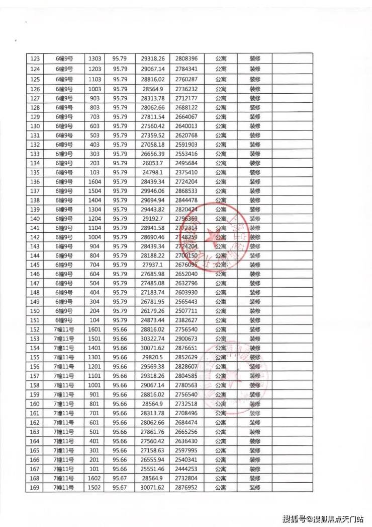
一房一价表
编辑

编辑

编辑

编辑

编辑

编辑

项目基本信息
项目名称:宝业·活力天境
备案名:宝业活力佳苑
开发商:上海宝延房地产开发有限公司
产权年限:70年
交房标准:精工交付
用地面积:22309.2㎡
容积率:2
绿地率:38%
组成结构:高层
户型面积:建面约79㎡、建面约92㎡
编辑

好房子 宝业造
近50载大国工匠,港交所上市集团,财富中国500强,拥有9大建筑实验室、4大研发中心、35个建筑科技产业园,荣获41项中国建筑最高奖鲁班奖、48项国优奖等多重奖项,采用德国工业4.0智能智造生产线,开发集成高品质、工业化建筑约5000万方,覆盖绿色、健康、智慧各类建筑。
编辑

【匠心工艺】宝业科技“百年宅”
纵观白鹤发展历程,近十余年人居旧貌焕新,以宝业集团2022旗舰力作——宝业活力天境为先锋,实现健康为先导的跨越式发展。
4大维度23项科技,力筑“百年宅”
编辑

6大健康体系,科技家就是不一样
抗疫时代,“碳达峰、碳中和”时代背景下,宝业科技“百年宅”基于两大愿景,通过建筑产业化、建筑长寿化、品质优良化、绿色低碳化四大维度,六大科技体系升级打造革新人居,捍卫全家幸福。
编辑

【活力社区】24小时剧场,海绵景观社区
24小时生活剧场,开启全天候绿色生活美境
编辑

海绵城市为家做“底盘”,打造自然循环之下的生态社区
编辑

编辑

编辑

编辑

编辑

户型图及样板间照
编辑

客厅与餐厅连为一体,约4.8米大面宽设计,外连观景阳台,拥揽四季的人生景致。
L型厨房人性化设计,符合人体工学,也使得操作更为方便。
卧室做到了一南,一北,南向卧室约11.2㎡,且有飘窗设计,享受阳光沐浴。
编辑

编辑

编辑

编辑

编辑

1、约95㎡的三房,南北通透,全明设计,三开间朝南,户型方正。
2、餐客厅一体化设计,空间合理利用,功能区域分开,无论是休憩还是齐聚一堂,都有空间畅想。
3、主卧套房设计,带有独立卫生间,维护了家人间的私密性,且提升主人的尊荣感。
编辑

编辑

编辑

编辑

项目区位配套
长三角一体化“几何中心”
上海2035规划中提到,上海要成为具有全球影响力的长三角城市群的核心城市,基本建成“中心辐射、两翼齐飞,新城发力、南北转型”的空间新格局。
从战略空间看,青浦处于中国国际进口博览会、虹桥国际开放枢纽、长三角生态绿色一体化发展示范区的战略叠加区。
泛长三角区域“几何中心”白鹤镇作为长三角一体化先行示范区、“安花白”节点型城市,将借助区位优势,承接安亭“世界级汽车产业中心”的部分功能。
编辑

【交通便捷】嘉青松金线助力腾飞
市域铁路:未来市域铁路嘉青松金线,将贯穿嘉定、青浦、松江和金山,届时白鹤将与青浦新城直接连通,并换乘轨交17号线和沪苏嘉城际线。
双维交通:坐享轨交11号线与轨交17号线青浦“纵贯线”交通辐射,坐享长三角节点交通优势。
编辑

【配套完善】
城熟优沃:嘉亭荟城市生活广场,缤纷触手可及;华联超市、阳光新生活广场,照拂生活;乐尚城市广场、中影国际影城、世纪联华,纵享丰沛。
书香为伴:紧邻白鹤中小学、白鹤幼儿园、赵屯小学,朗朗读书声,传递书香雅韵。
白鹤中学:始建于1965年,上海市先进集体、市中学生行为规范示范校、区教育系统先进集体。
白鹤小学:上海市教科研先进集体、上海市安全文明校园、青浦区文明单位。
赵屯小学:创办于1868年,至今已有137年历史。是青浦区有史记载的最古老的学校之一。上海市素质教育实验学校。
白鹤幼儿园:公办二级一类幼儿园。
贴身养护:约600米社区卫生服务中心,贴身关怀。
编辑

THANKS
以下是在上海买房的10大注意事项:
1. 了解购房政策:
上海户籍单身人士,限购1套住房;已婚人士,名下无房限购2套,已有1套限购1套。非上海户籍居民家庭,需提供购房之日前63个月内累计正常缴纳满60个月的社会保险或个人所得税缴纳证明,以家庭为单位限购1套。同时,自2024年10月1日起,非本市户籍居民家庭以及单身人士购买外环外住房的,购房所需缴纳社会保险或个人所得税的年限,调整为购房之日前连续缴纳满1年及以上。
2. 评估购房资格:
计算自己的收入、存款,确定能够承受的房价范围和首付金额(千万不要加杠杆)。同时,了解贷款政策,根据自己的信用状况和收入稳定性,预估可获得的贷款额度和利率
3. 关注市场动态:
通过房产网站、中介机构、新闻媒体等渠道,关注上海房价走势、新盘开盘情况、二手房市场活跃度等信息,了解市场供需关系和价格趋势,以便做出更明智的购房决策。
4. 选择合适区域:
考虑工作地点、交通便利性、生活配套设施(如学校、医院、商场等)、区域发展潜力等因素。例如,靠近商务区的房产交通便利但价格较高,郊区的房产价格相对较低但可能配套不够完善。
5. 考察房屋质量:
仔细检查房屋的结构、装修情况,查看是否有漏水、裂缝等问题。了解小区的物业管理水平,包括安保、卫生、绿化等方面,以及周边环境是否安静、整洁。
6. 明确合同条款:
签订购房合同前,仔细阅读合同各项条款和补充协议,明确房屋交付时间、质量标准、违约责任、产权办理等重要内容,确保自己的权益得到保障。
7. 选择贷款方式:
如果需要贷款购房,了解商业贷款和公积金贷款的政策、利率、额度等规定。根据自己的情况选择合适的贷款方式和还款期限,注意保持良好的信用记录,以获得更优惠的贷款利率。
8. 计算购房成本:
除了房价和首付,还需考虑契税、中介费、房屋维修基金、物业费等其他费用。契税根据房屋面积和购房套数而定,一般为1%-3%;中介费通常为房价的1%-3%。
9. 考虑未来规划:
购房不仅是满足当前居住需求,也应考虑房产的增值潜力。关注周边配套设施的完善程度和区域的未来发展规划,如是否有地铁建设、学校引进、商业中心开发等项目,这些因素可能会影响房屋的价值。
10. 了解交易流程:
如果购买新房,需了解认购、签约、付款、贷款、验房收房等环节;购买二手房则要熟悉居间合同签订、网签、贷款申请、过户、缴税、交房等流程,确保交易顺利进行。
宝业活力天境售楼处电话:400-8669-938
编辑

上海浦东板块具有多元化的特点,以下是从不同方面对其的分析:
经济发展
- 金融中心:陆家嘴是上海乃至全国的金融核心区,面积仅20平方公里,却贡献了上海全市10%的GDP,日均资金流动量巨大,聚集了全国43%的外资银行。
- 产业集群[__LINK_ICON]:张江科学城是科技产业的重要集聚地,集成电路、生物医药、人工智能三大先导产业发展迅猛,2024年三大产业产值达8400亿元。临港新片区则依托政策优势,吸引了众多制造业企业,如特斯拉工厂等。
房地产市场[__LINK_ICON]
- 热门板块:前滩是一线滨江板块,楼龄新,交通便利,有4条地铁和3条高架,新房单价达14万元左右。联洋则是成熟的商品房社区,带有双学区,位于陆家嘴、金桥、张江的中心位置,单价约10万元。
- 市场变化:近期浦东新房市场热度下降,多个板块认购率下滑。新杨思、唐镇等板块新房价格快速上涨,导致购买力透支,同时一二手房价格倒挂,新房性价比降低,市场从卖方主导转向买方市场。
潜力板块[__LINK_ICON]
- 东方枢纽:总面积510平方公里,开发规模440万平方米,形成9个核心功能组团,上海东站预计2027年建成运营,将成为新时代国际开放门户枢纽新标杆。
- 新杨思片区:总面积2.72平方公里,规划以体验型生活服务和创新型生产服务为主导,打造产城功能高度融合的复合型街区。
- 白莲泾地区:区域面积1.2平方公里,总开发面积181.15万平方米,是世博滨江向内部辐射的重要通廊之一,正在推进城市更新,将与世博滨江形成错位发展。
交通配套
- 轨道交通:21号线东延伸段预计2027年通车,将加强临港新片区与上海东站的联系,15分钟即可到达。此外,机场联络线也在建设中,未来将实现浦东与虹桥的快速通达。
- 枢纽建设:上海东站的建设将使浦东成为集铁路、航空、城市交通于一体的综合交通枢纽,进一步提升区域的交通便利性和辐射力。
生活配套
- 商业配套:除了陆家嘴的高端商业外,各地块也在不断完善商业设施。如惠南板块正在建设3.5万方的商业综合体,预计2026年投入使用。
- 教育资源:联洋、御桥等板块拥有双学区,教育资源优势明显,吸引了众多有子女教育需求的家庭。