深业深嘉上府售楼处电话:400-8669-938

「深业·深嘉上府」
嘉定芯 同济旁
推出建面约88-99㎡三房户型
均价34219元/㎡ 总价约251万起
国企钜制+全屋精装+14号地铁口(在建)
样板房提前线上预约

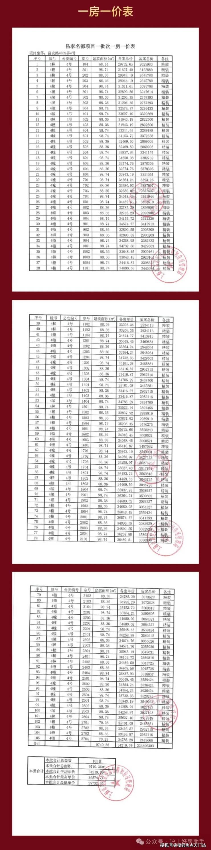
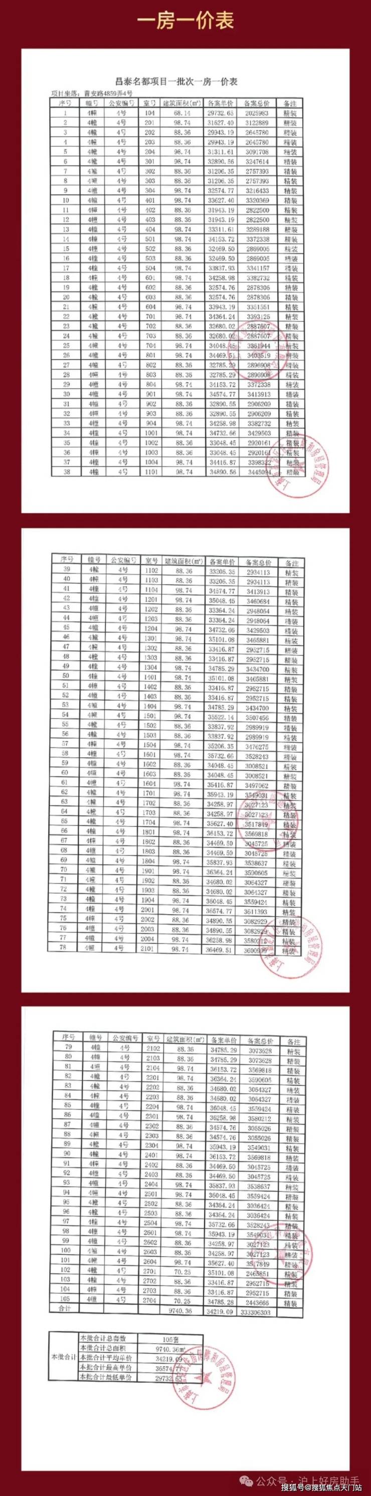
深业深嘉上府项目一房一价表:


项目开发商品牌
深业集团
深圳市人民政府全资拥有、深圳市国资委直管的大型综合性企业集团。集团前身于 1983 年在香港注册成立。深业集团以“产城创新建设者,幸福民生运营商”为发展愿景,打造以地产为核心、多层次协同发展的创新生态和幸福城市业务组合,聚焦地产、园区、运营、幸福、资本和数字化六大核心业务,实现城市综合开发运营的一站式服务!
2023 年深业集团首进上海,幸会嘉定。

精研城市向上精神,匠心呈现约 12 万方上海“上系”人居首作,在繁华与自然兼具的氛围中,打造“城市与社区无界”、“景观与人居无界”“多元生活无界”的城市平行生活体。
项目推售详情
【深业·深嘉上府】项目集商业、办公、人居于一体,承载着片区产业+商业+人居的全新使命。配套约1万㎡自持商业与5.1万㎡商办空间,以未来城市会客厅的姿态围绕“15分钟生活圈”,打造“MALL + 开放街区”的创新形态,融合商业、社交与居住的多元场景。深嘉氢谷以氢能源为核心,双子塔地标重塑城市天际线,推动新兴产业集聚与区域功能升级。作为嘉定安亭少有的“产-商-住-办”一体化综合体,激活商业动能与产业升级“双引擎”,构筑真正意义上的“永不落幕”生活主场。打破传统生活定义,不设限、不束缚,致力于为当代青年提供全新的生活体验和多元需求。

嘉定首创“24+1”沉浸式生活场
作为整个嘉定独一份的“全能型综合体选手”,深嘉上府不同于功能单一生活产业都需要仰仗区域规划的住宅社区,TA在一个项目体内实现了住宅、商业、办公的一站式整合!
项目整体宛如一个微缩城市,能够轻松构建“24+1 时”生活圈,在家门口就能实现“24 小时不打烊”的快乐!
玻璃幕墙+金色格栅塔冠
远远望去,外立面宛如镶嵌在城市间的水晶,质感满满!同时,四栋楼一字排开,每一栋都尽享超大楼间距,每一户都能将室内采光度拉满!哪怕是低楼层也不用担心晒不到太阳!
全龄段公区部分
宝妈带娃有儿童活动区,滑滑梯、大草坪一应俱全!
年轻人健身有全龄运动场,夜跑、打球功能齐全!
老人散步有林间密径、还有配置丰富的架空层空间,邻里交流活动风雨无阻!

项目还配置了以往千万豪宅才有的 首层与地下双重精装入户大堂,给你满满的归家仪式感!

户型分布↓
(首开4号楼)
户型鉴赏↓

深业·深嘉上府88㎡3房样板间实拍:








深业·深嘉上府99㎡3房样板间实拍:








项目区位配套
安亭,嘉定新城产业根基所在。庞大汽车产业集群,约 5502.9 亿元规模以上工业产值,带动板块下一个增长极。(数据来源:安亭观微,数据截止时间:2022 年底)
安亭汽车产业链为嘉定贡献了约 70%产值、约 60%销售、约 50%GDP、约 40%就业、约 30%税收,是嘉定发展不可或缺的重要主导型产业。(数据来源:界面新闻,数据截止时间:2019 年底)

根据《嘉定新城十四五规划》,嘉定新城将以打造世界级汽车产业中心为契机,大力构建汽车“新四化”等千亿级产业和在线新经济为引领的新动能体系。目前、氢能港、蔚来、上汽、沃尔沃、丰田等均落址于此,成为嘉定二次发展的重要源泉。

嘉定新城立足打通长三角一体化和虹桥国际开放枢纽的链接通道,构建“一核一枢纽、两轴四片区”的规划新格局。“一枢纽”即安亭枢纽——以安亭北站、安亭西站为核心,无缝连接虹桥国际开放枢纽,打造站城一体化、辐射长三角的综合交通枢纽。(信息来源:《嘉定新城总体城市设计》)
除此之外,上海 2035 规划中的宝嘉线、嘉青松线即将启动,嘉安高速延展嘉定向东,与宝山互通,以安亭为枢纽核心,嘉定再次站在了时代发展的风口之上。

交通配套方面:
项目位于曹安路,为东西向重要干道四通八达,快速接驳沪嘉高速公路、沪宜公路、外环高速公路、中环路等多条黄金动脉链接市区及周边城市;本案距离地铁11号线上海汽车城站约3.5KM,快速高效通达市区

全系配套,将向上的生活理想兑现于日常丰盛城市资源,日常烟火气息、松弛自然氛围,都是这里的生活常态。热气腾腾的生活场域,熨贴向上的身心。
5 大商业体——嘉亭荟城市生活广场、安亭财富广场、三德广场、中信泰富万达广场、嘉实生活广场。

4 所专业医疗——安亭医院、东方肝胆医院(三甲)、瑞金北院(三甲)、嘉定妇幼保健院

4 大生态公园——嘉北郊野公园、安亭汽车博览公园、远香湖公园、嘉定紫藤园

5 处休闲配套——市民广场、保利大剧院、安亭老街、颖奕安亭高尔夫球场、州桥老街

深业深嘉上府售楼处电话:400-8669-938

上海松江不同板块各具特点,以下是对其主要板块的分析:
- 松江新城板块[__LINK_ICON]:作为松江的核心区域,是上海“五个新城”之一,规划建设起步早、起点高。这里是长三角G60科创走廊策源地,2024年规上工业企业达1718家,连续3年全市居首。交通方面,松江枢纽已建成通车,形成“四网融合”综合交通体系。此外,该板块文化资源丰富,有云间会堂文化艺术中心等。整体配套成熟,适合长期居住。
- 九亭板块:是松江离市区较近的板块,五站可达漕河泾,八站直达徐家汇,深受在市区工作的人群青睐,成交活跃度高。其能享受大虹桥的辐射带动,但学区方面相对薄弱。
- 泗泾板块:地理位置上属于大虹桥外溢区,房龄新、价格相对便宜,且有在建的地铁TOD项目,适合首次购房者。不过,该板块的轨道交通线路较为单一,高峰时段容易拥堵。
- 佘山板块:拥有丰富的绿地资源和佘山国家旅游度假区,是天然的生态住区,适合宜居养老。但板块内轨道交通、商业、医疗等配套设施有待完善,板块认可度相对较低。
- 洞泾板块[__LINK_ICON]:是松江东北部城镇圈和G60科创走廊的重要组成部分,未来轨交12号线西延伸线将在此与9号线双轨交汇,交通便利性有望提升。不过,目前该板块开发较晚,基础设施有待完善。
- 松江南部板块:以广富林文化遗址为特色,是松江新城重点发展区域。但该板块交通依赖单一线路,出行选择受限,且内部不同区域发展程度不一,存在发展不均衡的现象。