大华公园柏翠 售楼处电话:400-818-9938(已认证) 大华公园柏翠营销中心热线:400-818-9938(欢迎致电)
售楼处预约电话:400-818-9938 ☎☎☎如有问题可来电咨询, 一对一为您服务! 口令:大华公园柏翠
大华公园柏翠
售楼处电话:400-818-9938(已认证)
大华公园柏翠营销中心热线:400-818-9938(欢迎致电)
售楼处预约电话:400-818-9938
☎☎☎如有问题可来电咨询,
一对一为您服务!
口令:大华公园柏翠
编辑
编辑

总价520万起!静安中环旁双轨交.少量建面约101-142㎡3-4房丨附线上预约通道!
仅接待预约客户,看房请拨打400电话提前预约销售
编辑
编辑

编辑
编辑

静安中环旁巅峰作品
1、18号线双轨交
「大华·公园柏翠」持续热销中!
少量建面约101-142㎡3-4房
均价65327元/㎡!总价520万起
样板房线上火热预约中!
编辑
编辑

近期不少粉丝群里,在市区上班,手握600-700万预算还能买到中环旁的新房吗?
✅✅✅它的地理优势明显,距离静安只有约400米、距离中环线直线约3km,同频享受静安的商业、医疗、文化等资源;品质方面能够比肩千万级奢宅的楼盘,价格却超香!
编辑
编辑

项目距离中环线约3km!✅✅✅同纬度的板块,新房均价起码约8.58万/㎡起,单价约10万+的区域比比皆是。
编辑
编辑

编辑
编辑

内行人看门道,大宁土地价值再次得到印证和提升,接下来买到核芯地段、品质新房的门槛将大幅度的提高,而位处大宁之上,距新地块咫尺距离的.首批均价约6.3万/㎡,售价优于楼板价的楼盘,实属难得。在品质打造方面比肩千万级奢宅,潜力清晰可见,可谓是难得一遇的“黄金置业机遇”近在眼前,怎能错过?
编辑
编辑

编辑
编辑

编辑
编辑

编辑
编辑

编辑
编辑

编辑
编辑

编辑
编辑

编辑
编辑

编辑
编辑

编辑
编辑

编辑
编辑

编辑
编辑

编辑
编辑

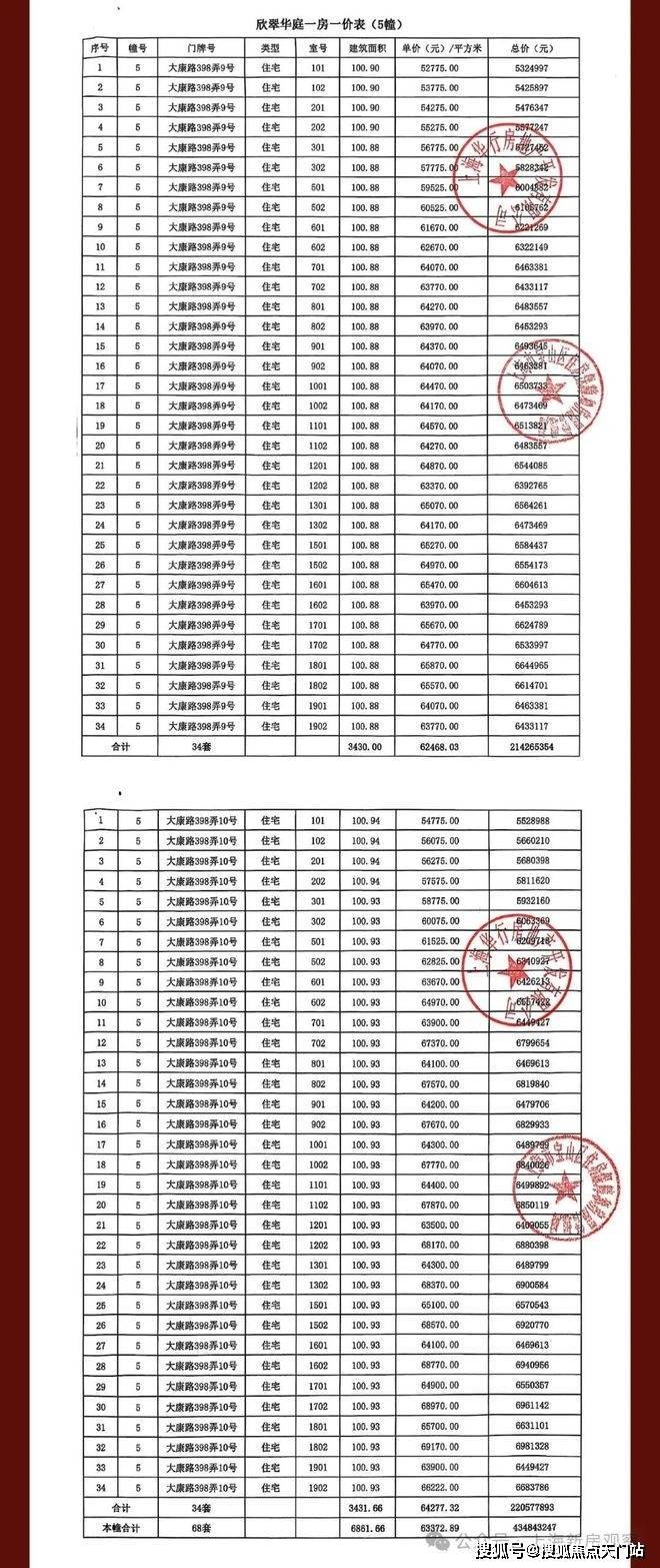
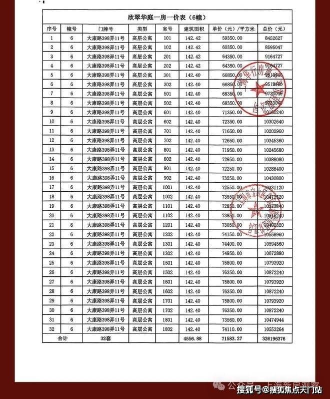
一房一价表如下:
编辑
编辑

编辑
编辑

编辑
编辑

编辑
编辑

官方户型图如下:
编辑
编辑

编辑
编辑

编辑
编辑

来看样板间实拍
编辑
编辑

编辑
编辑

编辑
编辑

编辑
编辑

编辑
编辑

编辑
编辑

编辑
编辑

编辑
编辑

编辑
编辑

编辑
编辑

编辑
编辑

编辑
编辑

(示意图,图片源于网络,且学校不作为购房承诺)
·首先,自然生态,让家时刻生长于公园里。项目外部生态环境非常优越,内部同样采取公园的模式,以“一轴、一带、一环、九园”的设计手法,打造了一座公园里的家。
一轴:是纵向的公园归家轴。通过它享受仪式感的归家体验,并一秒转换回家的心情。
编辑
编辑

(效果图)
一带:是横向精致花园带。它将社区里的每个景点串联,即通达便利又独具一格。
一环:是阳光有氧环形跑道。每日楼下的慢跑,即便捷又安静。
编辑
编辑

(效果图)
九园:是多重交互的娱乐场所。有潮汐花园(社区外围口袋花园)、浔湾秘境(会所式入户)、社交剧场、漫游森境、下沉会所、阅读花园、社交花园、自然博物馆等,满足不同人群的需求空间,包括萌宠。
编辑
编辑

(效果图)
·其次,品质细节,让家时刻保持于高品位。建筑设计整体通透明亮,即有现代的审美又有采光引入的实用,保持着永不过时的风格。而且超宽楼距,阳光与风景都无遮挡。
编辑
编辑

约80米气派门头,尽享气派的归家仪式感。
编辑
编辑

星级酒店大堂,让尊贵的仪式感无限延伸。全T2设计,悦享私密的遵崇,让出入更从容。
编辑
编辑

编辑
编辑

(示意图,来源于网络)
大华公园柏翠距离静安区只有约400米左右的直线距离,是整个宝山距离中心城区最近的新房。加上周边1号线、18号线、南北高架等城市主动脉的加持,整个大华公园柏翠去哪儿都方便。
编辑
编辑

市北高新以数字经济全生态+数据要素创新等产业形态,与张江科学城(硬科技)、漕河泾(电子信息)形成错位竞争.其能级位居上海中心城区科技园区第一梯队,更是上海数字化转型的核心引擎之一。
编辑
编辑

从地图上看,该地块距离静安区的直线距离只有400米,距离大宁核心区域仅约5公里,不仅离大宁国际商圈近,周边还有宝山万达、大华商圈等大型商业配套。
编辑
编辑

除此之外,依托经过传统市中心的1号线,可以快速直达大宁、人民广场、淮海路、陕西南路等,经转乘通往陆家嘴、南京东路、南京西路也极为便捷。
编辑
编辑

1号线线路图
大华·公园柏翠区别于其他区域或者其他刚需项目,这个地块不仅公共交通无死角,商超配套、教育资源,自驾出行也刚好都跟得上,刚好能满足你所有的生活需求!
商超配套方面,大宁区域内的大宁国际广场、大宁音乐广场、静安大融城、协信星光广场、大宁久光百货等大型商业,还能享受社区商业,同时毗邻社区菜场,生活非常便捷。
编辑
编辑

协信星光广场 配套实景图
编辑
编辑

大宁音乐广场 配套实景图
教育方面,附近不仅有陈伯吹实验幼儿园、华东师大实验学校等名校,项目还规划配套学校。
编辑
编辑

陈伯吹实验幼儿园
大华·公园柏翠生态也是一大亮点,家门口就拥有千亩城市绿地。日常放松身心、休闲散步都有了好去处。项目坐拥五大公园:约80万方伟岸绿境环抱,约等于两个长风公园大小!包括千亩绿境(约60万方绿化在侧),约3万方庙行公园、约4.2万方共和公园,约2.7万方三泉公园、约9.3万方彭浦四季公园等。
编辑
编辑

大宁北1/18号线旁「公园柏翠」少量建面约101-142㎡3-4房,均价65327元/㎡!
总价520万起!
大华公园柏翠
售楼处电话:400-818-9938(已认证)
大华公园柏翠营销中心热线:400-818-9938(欢迎致电)
售楼处预约电话:400-818-9938
☎☎☎如有问题可来电咨询,
一对一为您服务!
口令:大华公园柏翠