上海宝业活力天境售楼处电话–楼盘详情-交房时间-宝业活力天境地址-最新房价户型图-小区环境-楼盘详情-交房时间-周边配套-售楼处电话

搜狐焦点天门站 2025-12-21 16:41:00
用手机看
扫描到手机,新闻随时看

扫一扫,用手机看文章
更加方便分享给朋友

宝业活力天境售楼处电话:400-8669-938

宝业活力天境售楼处电话:400-8669-938

青浦白鹤板块

推出建面约86-95㎡2-3房

均价2.7万/㎡ 总价210万起

售楼处线上火热预约

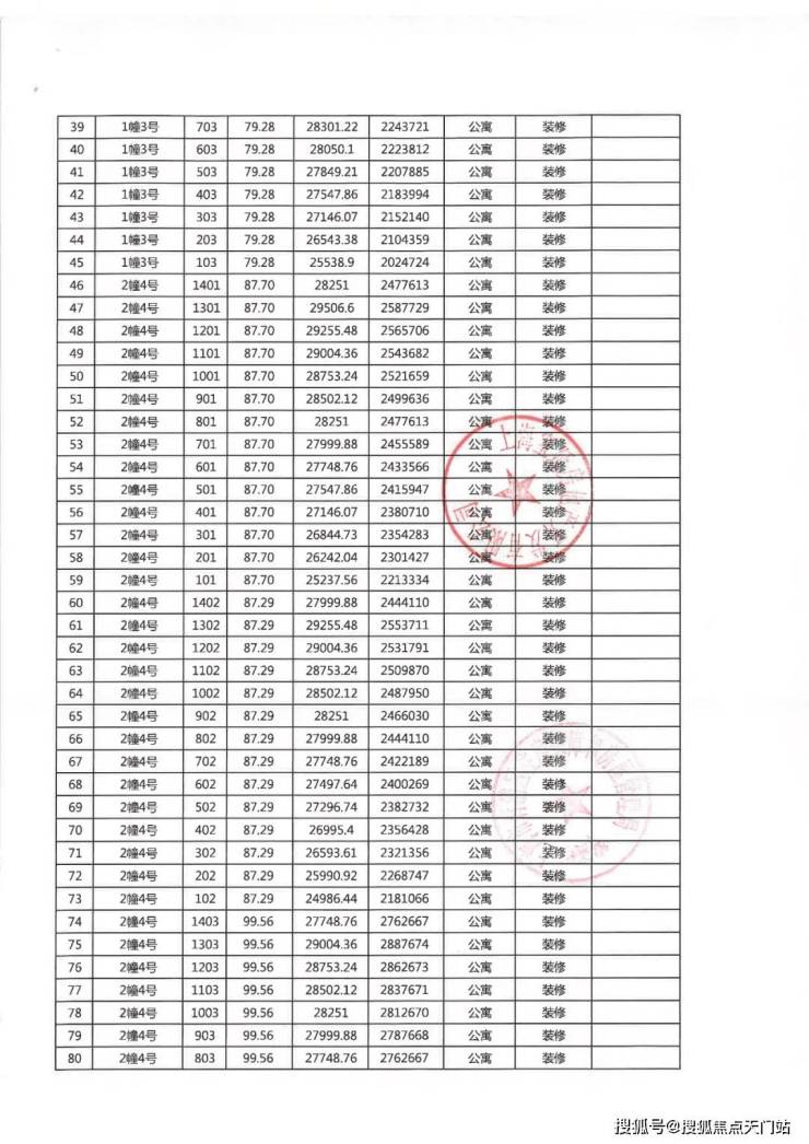
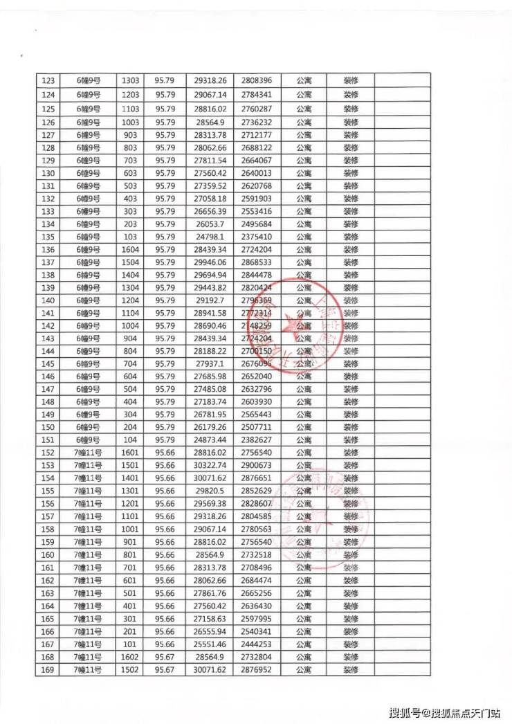
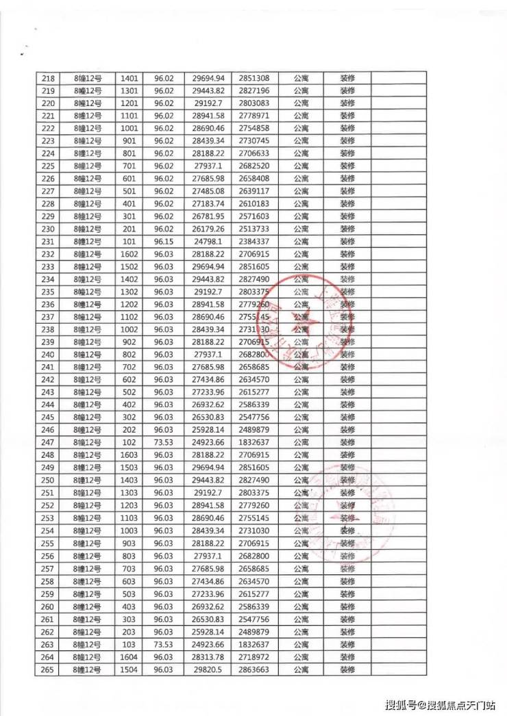
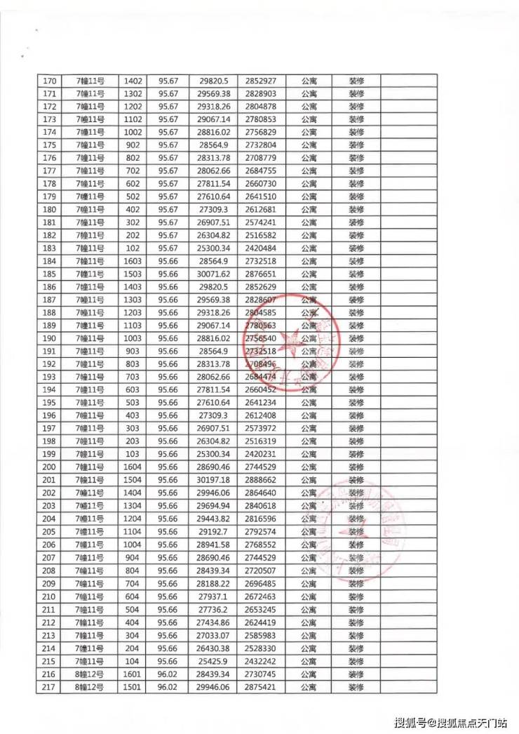
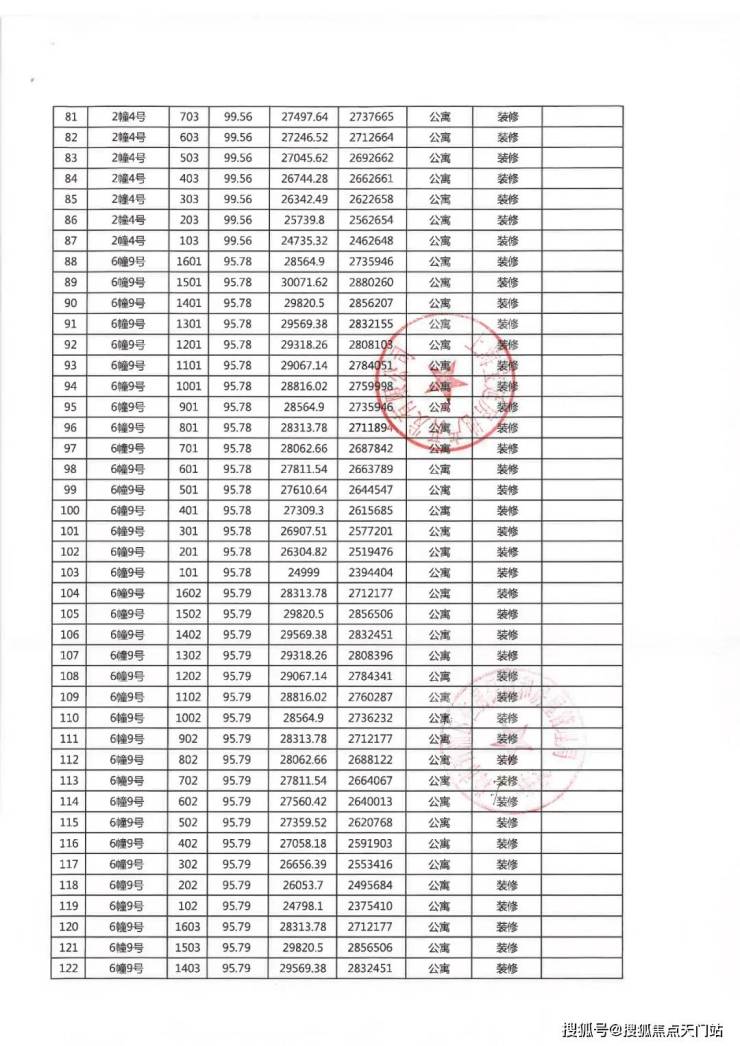
一房一价表

项目基本信息

项目名称:宝业·活力天境

备案名:宝业活力佳苑

开发商:上海宝延房地产开发有限公司

产权年限:70年

交房标准:精工交付

用地面积:22309.2㎡

容积率:2

绿地率:38%

组成结构:高层

户型面积:建面约79㎡、建面约92㎡

好房子 宝业造

近50载大国工匠,港交所上市集团,财富中国500强,拥有9大建筑实验室、4大研发中心、35个建筑科技产业园,荣获41项中国建筑最高奖鲁班奖、48项国优奖等多重奖项,采用德国工业4.0智能智造生产线,开发集成高品质、工业化建筑约5000万方,覆盖绿色、健康、智慧各类建筑。

【匠心工艺】宝业科技“百年宅”

纵观白鹤发展历程,近十余年人居旧貌焕新,以宝业集团2022旗舰力作——宝业活力天境为先锋,实现健康为先导的跨越式发展。

4大维度23项科技,力筑“百年宅”

6大健康体系,科技家就是不一样

抗疫时代,“碳达峰、碳中和”时代背景下,宝业科技“百年宅”基于两大愿景,通过建筑产业化、建筑长寿化、品质优良化、绿色低碳化四大维度,六大科技体系升级打造革新人居,捍卫全家幸福。

【活力社区】24小时剧场,海绵景观社区

24小时生活剧场,开启全天候绿色生活美境

海绵城市为家做“底盘”,打造自然循环之下的生态社区

户型图及样板间照

客厅与餐厅连为一体,约4.8米大面宽设计,外连观景阳台,拥揽四季的人生景致。

L型厨房人性化设计,符合人体工学,也使得操作更为方便。

卧室做到了一南,一北,南向卧室约11.2㎡,且有飘窗设计,享受阳光沐浴。

1、约95㎡的三房,南北通透,全明设计,三开间朝南,户型方正。

2、餐客厅一体化设计,空间合理利用,功能区域分开,无论是休憩还是齐聚一堂,都有空间畅想。

3、主卧套房设计,带有独立卫生间,维护了家人间的私密性,且提升主人的尊荣感。

项目区位配套

长三角一体化“几何中心”

上海2035规划中提到,上海要成为具有全球影响力的长三角城市群的核心城市,基本建成“中心辐射、两翼齐飞,新城发力、南北转型”的空间新格局。

从战略空间看,青浦处于中国国际进口博览会、虹桥国际开放枢纽、长三角生态绿色一体化发展示范区的战略叠加区。

泛长三角区域“几何中心”白鹤镇作为长三角一体化先行示范区、“安花白”节点型城市,将借助区位优势,承接安亭“世界级汽车产业中心”的部分功能。

【交通便捷】嘉青松金线助力腾飞

市域铁路:未来市域铁路嘉青松金线,将贯穿嘉定、青浦、松江和金山,届时白鹤将与青浦新城直接连通,并换乘轨交17号线和沪苏嘉城际线。

双维交通:坐享轨交11号线与轨交17号线青浦“纵贯线”交通辐射,坐享长三角节点交通优势。

【配套完善】

城熟优沃:嘉亭荟城市生活广场,缤纷触手可及;华联超市、阳光新生活广场,照拂生活;乐尚城市广场、中影国际影城、世纪联华,纵享丰沛。

书香为伴:紧邻白鹤中小学、白鹤幼儿园、赵屯小学,朗朗读书声,传递书香雅韵。

白鹤中学:始建于1965年,上海市先进集体、市中学生行为规范示范校、区教育系统先进集体。

白鹤小学:上海市教科研先进集体、上海市安全文明校园、青浦区文明单位。

赵屯小学:创办于1868年,至今已有137年历史。是青浦区有史记载的最古老的学校之一。上海市素质教育实验学校。

白鹤幼儿园:公办二级一类幼儿园。

贴身养护:约600米社区卫生服务中心,贴身关怀。

THANKS

以下是在上海买房的10大注意事项:

1. 了解购房政策:

上海户籍单身人士,限购1套住房;已婚人士,名下无房限购2套,已有1套限购1套。非上海户籍居民家庭,需提供购房之日前63个月内累计正常缴纳满60个月的社会保险或个人所得税缴纳证明,以家庭为单位限购1套。同时,自2024年10月1日起,非本市户籍居民家庭以及单身人士购买外环外住房的,购房所需缴纳社会保险或个人所得税的年限,调整为购房之日前连续缴纳满1年及以上。

2. 评估购房资格:

计算自己的收入、存款,确定能够承受的房价范围和首付金额(千万不要加杠杆)。同时,了解贷款政策,根据自己的信用状况和收入稳定性,预估可获得的贷款额度和利率

3. 关注市场动态:

通过房产网站、中介机构、新闻媒体等渠道,关注上海房价走势、新盘开盘情况、二手房市场活跃度等信息,了解市场供需关系和价格趋势,以便做出更明智的购房决策。

4. 选择合适区域:

考虑工作地点、交通便利性、生活配套设施(如学校、医院、商场等)、区域发展潜力等因素。例如,靠近商务区的房产交通便利但价格较高,郊区的房产价格相对较低但可能配套不够完善。

5. 考察房屋质量:

仔细检查房屋的结构、装修情况,查看是否有漏水、裂缝等问题。了解小区的物业管理水平,包括安保、卫生、绿化等方面,以及周边环境是否安静、整洁。

6. 明确合同条款:

签订购房合同前,仔细阅读合同各项条款和补充协议,明确房屋交付时间、质量标准、违约责任、产权办理等重要内容,确保自己的权益得到保障。

7. 选择贷款方式:

如果需要贷款购房,了解商业贷款和公积金贷款的政策、利率、额度等规定。根据自己的情况选择合适的贷款方式和还款期限,注意保持良好的信用记录,以获得更优惠的贷款利率。

8. 计算购房成本:

除了房价和首付,还需考虑契税、中介费、房屋维修基金、物业费等其他费用。契税根据房屋面积和购房套数而定,一般为1%-3%;中介费通常为房价的1%-3%。

9. 考虑未来规划:

购房不仅是满足当前居住需求,也应考虑房产的增值潜力。关注周边配套设施的完善程度和区域的未来发展规划,如是否有地铁建设、学校引进、商业中心开发等项目,这些因素可能会影响房屋的价值。

10. 了解交易流程:

如果购买新房,需了解认购、签约、付款、贷款、验房收房等环节;购买二手房则要熟悉居间合同签订、网签、贷款申请、过户、缴税、交房等流程,确保交易顺利进行。

宝业活力天境售楼处电话:400-8669-938

声明:本文由入驻焦点开放平台的作者撰写,除焦点官方账号外,观点仅代表作者本人,不代表焦点立场。