售楼处电话:400-961-9938(已认证) 营销中心热线:400-961-9938(欢迎致电) 售楼处预约电话:400-961-9938☎☎☎如有问题可来电咨询,预约销售专员,一对一为您服务!
龙湖御湖境售楼处电话:400-961-9938(已认证)

7月26日 龙湖·御湖境首开 ,推出180套房源,热销10亿元。
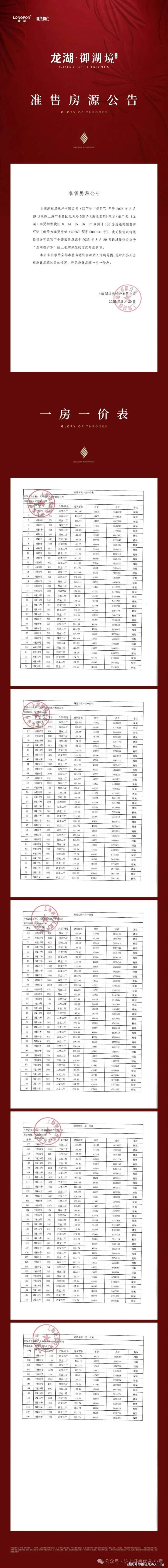
8月21日项目尾盘开启认购,共计150套房源,户型包括约107㎡、123㎡、140㎡房源,将于8月29日开盘。





2017-2025龙湖深耕奉贤8年 ,也一直在对产品进行自我升级迭代,从 春江天玺、春江天越 双双品质出圈,到 奉贤首个“千人摇”楼盘天曜 ,再到拿地7个月 三开三磬的“日光红盘”观萃 。
3座购物中心、5座人居标杆、1座冠寓 ,在奉贤划定一片以龙湖为名的繁华生活圈,让龙湖两个字俨然成为奉贤楼市的当代神话。

如今,龙湖携 高端产品系的顶序之作 - 御湖境 ,择址奉贤芯,向这片土地致献臻心。天街旁 奉贤 “宇宙中心”绝版留白地
对豪宅来说,原始股和稀缺度才决定了终极价值。
奉贤新城核心区,高浓度资源汇集,土地资源稀缺,御湖境屹立南奉公路+金海公路黄金十字中轴之上, 距奉贤天街及地铁5号线奉贤新城站直线距离约500m,九棵树、奉贤博物馆、上海之鱼 等高阶资源环绕,奉贤芯最后一块绝版宅地上的压轴之作,是入主城芯豪宅区的最后机会。

项目以稀缺藏品之姿,重磅打造区域罕见的低密带洋房住区,大隐于繁华都市,缔造足以跨越时间的资产,为奉贤献上了低密「原始股」入场券。
奉贤产品力之王 仅献1%的塔尖藏家

奉贤御湖境成为现象级作品,离不开产品力的极致营造。

长约54米、高约8米的「殿堂级门扉」 ,两侧铺陈“奢石之王”蓝翡翠,磅礴气场扑面而来。举首仰望,约 300㎡璀璨星空顶 模拟出浩瀚银河的深邃意境。正面是由1286块浅米色瓷筒融合在地非遗“锔瓷”技艺打造的 艺术瓷墙 。
来到致敬金贝尔美术馆打造的 「天穹光廊」 ,地面由蓝翡翠+汉白玉+温德姆灰3种奢石精细切割拼花而成,长廊尽头景墙精选龙纹绿奢石,中轴对称的庄严格局,仿佛漫步博物馆。

对标顶奢酒店礼序,项目前瞻性地打造 「奉贤首座中央车站」 ,将社区地库与地下会所的接待序厅无缝衔接, 车行道+人行道区隔 设计,归家不受风雨影响,指尖轻抚源自非洲的 卡里冰玉奢石 ,将每日必经之路升华为沉浸式美学体验。
深藏于建筑怀抱之中的 下沉式「琉璃光院」 ,是历经数十版方案淬炼出的灵魂之作。御湖境标志性 汉白玉玄月族徽 ,与 高10米的蓝水晶奢石光幕 ,共同演绎 “日月同辉” 的震撼场景。庭院深处 50年乌桕树王 矗立。
一汪深邃的 「宇宙之心」漩涡水景 ,灵感源自梵蒂冈博物馆举世闻名的双螺旋楼梯,模仿宇宙星系流转的宏大景象,纳藏天地万物生生不息的力量。
奉贤首个海派泳池会馆 荟萃寰宇
传统的豪宅,会所的本质功能是“售楼处”。而奉贤御湖境则以“馆藏”为概念,重写顶级豪宅会所的表达规则。
御湖境斥巨资打造 约1500㎡「海派泳池会馆」 ——泳池会所,涵盖健身、瑜伽、社交、阅读等八大功能空间,如同一座生活的博物馆,为奉贤顶层人物提供全方位奢享!

「奉贤首个无边际恒温泳池」 是整个会所的灵魂所在。
泳池设计以“水韵织构”为核心理念,其视觉焦点在于穹顶,连续流畅的曲面拱顶如同被风吹皱的巨大水幕,又似凝固的海浪,与下方波光粼粼的泳池水面形成上下呼应的绝妙韵律,无边泳池又与琉璃光院在视觉上无缝衔接,在乌桕树的冠盖浓荫下恣意游弋,营造出泳池与天地共呼吸的震撼体验。

移步 森氧无界全景健身房 ,顶级健身器械一应俱全。在负氧离子机创造的富氧森林般环境中挥汗如雨,欣赏着全落地窗外琉璃光院的如画景致,身心与视野同频升华,疲惫瞬间消解。
午后时分,邀二三挚友落座行政酒廊。暖阳斜照,在优雅的环境中洽谈要事,或细细品味一杯手冲瑰夏咖啡的精致花果香,或小酌珍藏年份的单一麦芽威士忌,琥珀色的酒液在杯中折射岁月的光芒。
稀缺低密藏品 足以传世的终极家邸

作为奉贤终改的引领者,御湖境绝不满足于炫技和堆料。对精英阶层来说,极具空间价值感、值得传承的大宅才是真正的奢侈品。
奉贤御湖境约107-123-140-175㎡四大户型,个个都“非常能打”。其中,123/140㎡户型更打造 奉贤首个全博世配置尊享厨房 ,让奢享超越所想。
约107㎡精装交付大三房,真横厅不将就,小户型也能住出“大平层”般的越级体验!

约 123 ㎡全能四房,约6.4m百变奢阔横厅,满足全生命周期,厨电四件套全博世配置,堪称实用主义的终极答案。

约 140 ㎡超配四房,独立入户玄关,奢阔双厅南北通透,还可改造成约8m巨幕宽厅,部分楼栋还是奉贤新城核心区罕见的洋房业态。
此外, 传世孤品175㎡ ,作为中央御景楼王,采用 定制化交付 设计,真正做到 一宅一格局 ,高度适配独居精英、豪华双套、三口之家、三代同堂等全周期家庭生活需求。
无论是首开10亿的璀璨战绩,还是全城聚焦的持续高热,皆为品质与实力水到渠成的明证。在日趋理性的高端置业市场,御湖境以颠覆性的产品力与无可复制的艺术价值,重新锚定了奉贤终改的天花板,树立了一座令人仰望的崭新丰碑!
龙湖御湖境售楼处电话:400-961-9938(已认证)
