昌平云岸售楼处电话:400-8669-938

繁华市芯区域老静安
毗邻苏州河静安73街坊北地块
【昌平云岸】
隔壁72街坊地块就是【鸿印里】
项目南地块别墅已在2024年1月正式开工建设
项目北地块的高层开建较早
老静安【昌平云岸】,总计481套房源
推出建面约87-326㎡1-6房,均价14.5万/㎡

【项目名称】昌平云岸(推广名)、云岸华庭(备案名)
【开发商】上海中远泰兴置业有限公司
【项目产品】建面约87-326㎡ 1-6房
【建筑面积】约7.1万㎡
【产品类别】小高层、高层
【建筑风格】现代摩登
【装修配置】精装修
【绿化率】约35%
【梯户 比】准一梯一户
【可售总户数】481套
【交付时间】2026年底(具体以合同约定为准)

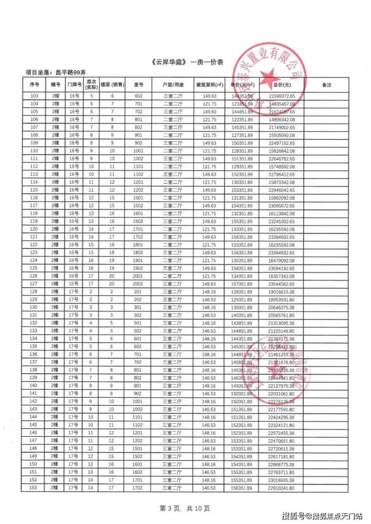
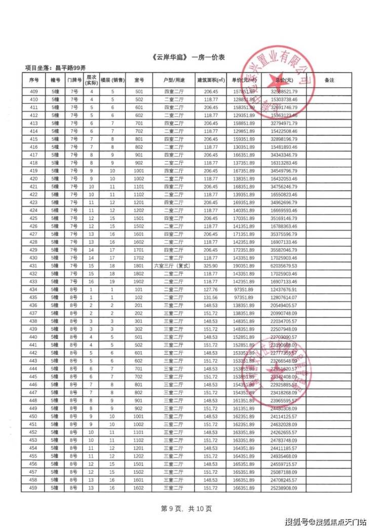
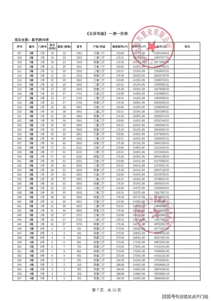
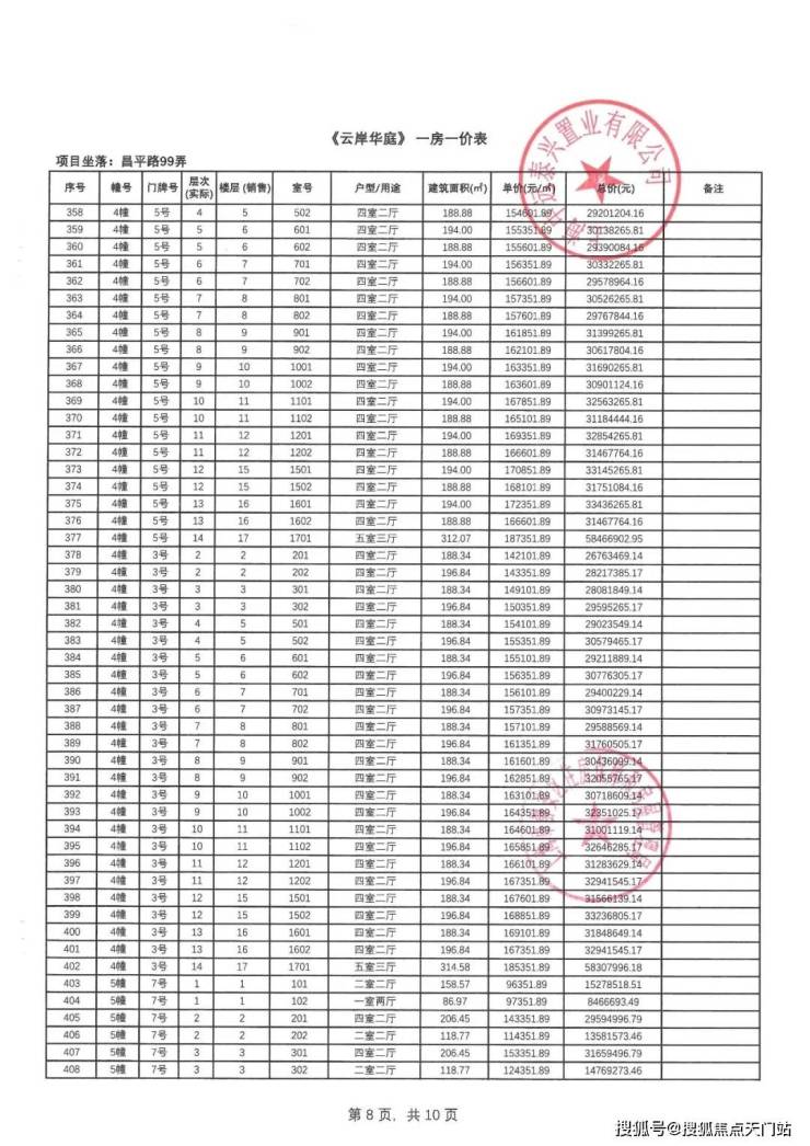
一房一价表





左右滑动查看更多





左右滑动查看更多

项目占地1.7万㎡,住宅面积7.1万㎡,容积率4.52,整体规划为 4栋8层至17层小高层及1栋32层高层住宅,总套数仅有481套,户型为建面 约88-329㎡一至六房。
户型图参考如下




左右滑动查看更多




左右滑动查看更多
样板间参考






2023年1月,静安 【鸿印里】入市过会价14.2万/㎡,开盘推出333套房源,认购人数破千,入围分高达81.4分,开盘当天毫无悬念售罄!
而没买到购房小伙伴可以看看鸿印里隔壁的“姊妹盘”即—— 【昌平云岸】!即是之前爆料的73街坊。
项目被南草坪花园隔开, 南地块是低密度住宅部分,预计将建 联排别墅。
北地块则主要推出 高层住宅, 主力户型为建面约87-326㎡1-6房!

别墅效果图参考










实景情况:
,时长
00:31












轨交枢纽:
项目周边地铁有1/12/13号线汉中路站。7号线昌平路站1站就可换乘2、14号线静安寺直抵陆家嘴金融中心。延安路高架、南北高架、北横通道自驾便捷
生态公园:
蝴蝶湾公园,公园沿着苏州河而建可供居民观赏苏州河的美景; 坐落在闹市区的静安公园,具有现代园林特色和历史文化内涵集休闲、健身、娱乐、观赏、旅游于一体的敞开式都市花园
健康运动:
静安运动健身中心、内设乒乓馆、羽毛球馆、泳池馆等各种体育项目。邻近的静安区少年儿童图书馆,欧式的建筑更加美观。
高端商圈:
项目1.5公里范围内汇集高端商圈。恒隆广场、梅龙镇广场、久光百货、兴业太古汇、中信泰富、静安寺、嘉里中心、芮欧百货、MOHO等一线品牌聚集地
全龄教育:
上海市静安区教育学院附属学校(九年一贯制)
上海市静安区第一中心小学
上海市静安实验小学
静安区实验性示范性高中-上戏附中
上海市五四中学
协和双语培明学校(最终教育配套以ZF审批为准)
优质医疗:
三甲医院-上海长征医院
三甲医院-上海华山医院
三级甲等综合性儿童医院-上海市儿童医院
市区三级眼病专科医院-上海市眼科医院
二甲医院-上海市静安区中心医院
【项目地块前期基本信息】
项目和72街坊一街之隔,位于昌平路与昌化路交叉口的东南角,自2015年启动了拆迁程序,距今已经6年。
73街坊共分为南北两块,是老静安为数不多的纯住宅地块,此次公布方案的是其北地块的高层住宅部分。该地块的开发商为静安国资委旗下的新静安集团。

建设用地范围:西临昌化路,北临昌平路,南近康定路
占地面积:地上16019.4㎡,地下18920.4㎡
总建筑面积:113448.29㎡,其中地上74140.29㎡,地下39308.00㎡
容积率:4.52
最大建筑高度:100米
最大建筑层数:32米
地块共将新建5栋8层至32层的住宅楼,总套数仅有468套。静安73街坊的南块是低密度住宅部分,将建联排别墅,共77套。

南北地块的中间,是已经落成的住宅项目—— 南草坪花园。
昌平云岸售楼处电话:400-8669-938
