静安玺樾(售楼处)首页网站-2025静安玺樾销售中心(营销中心)楼盘欢迎您-小区环境-户型-价格-地址-楼盘详情-周边配套

搜狐焦点天门站 2025-10-01 17:10:00
用手机看
扫描到手机,新闻随时看

扫一扫,用手机看文章
更加方便分享给朋友

「静安玺樾」售楼处电话400-118-3159 静安内环内 国际中兴城 加推约97-106㎡2-3房海派著品 8号线中兴路站距离约330米 均价124191元/㎡ 共165套

「静安玺樾」售楼处电话400-118-3159

静安内环内 国际中兴城

加推约97-106㎡2-3房海派著品

8号线中兴路站距离约330米

均价124191元/㎡ 共165套

另前期少许94-165㎡2-4房在售

均价125777元/㎡ 总价约945万起

奢华地库+海派园林+万科物业

样板房线上火热预约

点击输入图片描述(最多30字)

样板房开放中

项目线上预约看房

售楼处电话400-118-

进入“静安玺樾”官方预约通道

案场销售会第一时间与您联系

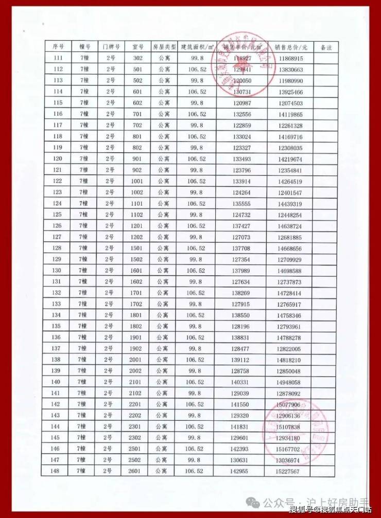
静安玺樾三期一房一价表▼

点击输入图片描述(最多30字)

点击输入图片描述(最多30字)

点击输入图片描述(最多30字)

点击输入图片描述(最多30字)

点击输入图片描述(最多30字)

最新消息:静安玺樾三期加推2号楼的18单元和20单元、7号楼的2单元,主力户型包括建面约98-107㎡2-3房,3房总价约千万级起!

点击输入图片描述(最多30字)

点击输入图片描述(最多30字)

2号楼18单元和20单元:往外可瞰芷江绿地,内可赏入口中轴景观。

点击输入图片描述(最多30字)

项目社区景观效果示意图,仅供参考,以实际交付为准

7号楼2单元:可远眺三件套、中兴公园,楼下还有中心景观。

点击输入图片描述(最多30字)

项目基本信息

开发商:

上海市静安城市更新投资发展有限公司

静安内环内•国际中兴城板块

板块:

在售面积:

94㎡/98㎡/100㎡2房2厅2卫

103㎡/104㎡/122㎡/134㎡3房2厅2卫

165㎡4房2厅3卫

总价:

945-2354万

均价:

125000元/㎡

总体量:

926套

层数:

17层、19层、33层

高:

3-3.1m

交房时间:

2026年6月

物业公司:

上海万科物业服务有限公司(一级资质)

物业费:

9.8元/m/月

在售楼栋:

1号/2号

/

4号/5号/7号,3号/6号 待加推(预计10月底)

总用地面积:

31352.4㎡

总建筑面积:

152702.85㎡

住宅建筑面积:

91316.33㎡

得房率:

75-79%

容积率:

3.05

绿化率:

35.25%

车位总数:

1150个

点击输入图片描述(最多30字)

【静安玺樾】是位于上海市静安区中兴城社区内的典型城市更新项目,是继佘山玺樾后,又一top系力作,代表着北方集团在静安内环标杆项目,以好的产品力,高标准的实力呈现。

点击输入图片描述(最多30字)

里面/地库/园林/样板间正式公开

众所周知,示范区是整个项目未来品质的超前剧透,它究竟为你带来了怎样的惊喜呢?它没有去考验业主的想象力,而是把生活场景、规划的蓝图提前搬到了面前,不惜成本给业主优先带来了一波产体验。

据悉这一次开放,整个项目的立面、地库、园林、样板间将全部亮相此次示范区。这意味着窥其一二,全貌都可 “一览无余”。

【静安玺樾】沉淀北方集团近20载城市更新修为,从雅、境、奢、艺四相出发 ,构筑品级、建筑、公区、用材、精装、景观、户型、服务、配套、层等12大维度标准,打造上海心上的矜贵珍藏。

点击输入图片描述(最多30字)

效果图

海派立面 看到品质的具象化

作为项目面向未来的建筑表情,静安玺樾从在地化角度思考,与静安气质保持一致,以海派风格为主,采用石材,铺以横向铝板线条,通过对材质细部的精细化设计,真实还原海派立面的摩登风格,很具识别度。

点击输入图片描述(最多30字)

海派建筑立面,香槟金与经典咖的审美复兴,惊艳上海心

色、材、纹、饰,从色彩到材质,再到细节,纯粹匠心

点击输入图片描述(最多30字)

实景图

点击输入图片描述(最多30字)

社区景观 翡色礼境 归家的度假感拉满

进园后,从入口的奢石、到内部的水景、雕塑甚至是局部的海派拼花铺装……从里到外,可观可赏可感。

美学展示区,非交付标准

点击输入图片描述(最多30字)

整个景观设计,按照 “翡光礼境”的概念,不是硬生生地塞进社区中,而是做到了与水景、雕塑、绿植一起,体现未来住区的海派生活气质。

点击输入图片描述(最多30字)

入口处酒店港湾式落客空间,艺术感造型树,蓝翡翠奢石达到第一眼的惊艳;内部精致典藏的水院空间,以雕塑、喷泉水幕、造型树经典组合,打造全区景观点,更大地扩充与景观的接触面,度假的松弛感油然而生。

点击输入图片描述(最多30字)

美学展示区,非交付标准

此外,静安玺樾还研究植物,营造春季赏花,夏季观绿、秋季观叶,冬季赏姿的四季环境,展现出生活的另一面。

社区景观打造上还考虑了空间的功能丰富性, 打造了三大花园空间:中心港湾花园、水溪花园,西入口归家花园,实现社区内各区域景观不同的丰富视觉盛宴~

点击输入图片描述(最多30字)

户外定制化主题儿童区+架空层泛会所构成双儿童系统,“秘境童话专列”的火车主题串联儿童活动空间,兼顾全年龄儿童不同游玩体验。

点击输入图片描述(最多30字)

更有贴心细节设计:儿童活动区和老年健身的器械均考虑防磕碰设计,地面均采用塑胶,以防磕碰受伤。

效果图

点击输入图片描述(最多30字)

地库公区

对标超星级酒店 驾车归家不寻常

这种仪式感,同时延续到了地库,且非常出彩。

对照顶级酒店车库,通过 石材包边、超耐磨地坪、三合一门禁等这些标配设计,媲美豪车展厅级别,充分考虑到业主的身份地位。

点击输入图片描述(最多30字)

点击输入图片描述(最多30字)

效果图

项目推售详情

【静安玺樾】三期,已过会, 均价124191元/㎡,将推97-106㎡2-3房!共165套房源。其中2号楼105套,均价11.8万/㎡,7号楼(无敌景观房,无遮挡)60套,均价13.8万;

另一期少量3#/6#房源在售,建面94-165㎡2-4房在售!均价12.5万/㎡,总价约945万起!可直接认购!

点击输入图片描述(最多30字)

建面约98㎡2房2厅2卫▼

点击输入图片描述(最多30字)

静安玺樾建面约94㎡样板间鉴赏

,时长01:27

点击输入图片描述(最多30字)

点击输入图片描述(最多30字)

点击输入图片描述(最多30字)

点击输入图片描述(最多30字)

点击输入图片描述(最多30字)

点击输入图片描述(最多30字)

点击输入图片描述(最多30字)

点击输入图片描述(最多30字)

静安玺樾建面约98㎡样板间鉴赏

,时长01:17

建面约98㎡的舒阔两房,是城央新房非常罕见的存在,而且将每个房间的体量放大,同时拥有了更多收纳空间,舒适感更高一筹!

第一个亮点, 就是动静分离,功能区和休息区互不干扰,客餐厅、厨房等公共活动区集中在一侧,卧室等休息区全部一侧,保证了私密性!

样板间实景图

点击输入图片描述(最多30字)

第二个亮点, 就是尺度感!不仅客餐厅朝南面宽大,而且像两间卧室都能轻松放下双人床,甚至还多出储物空间,让美好生活画卷就此展开。

点击输入图片描述(最多30字)

样板间实景图

点击输入图片描述(最多30字)

第三个亮点, 是客餐厅一体化设计,外连阔景阳台,采光非常好,空气更加流通,同时增进了家人间的互动。

点击输入图片描述(最多30字)

点击输入图片描述(最多30字)

样板间实景图

第四个亮点, 是主卧套房设计,自带独立卫生间和大飘窗,增强私密性。

点击输入图片描述(最多30字)

样板间实景图

点击输入图片描述(最多30字)

第五个亮点, 宽阔的L型厨房,两面靠墙,灶台和水槽布置空间充足,实际使用能够满足各类烹饪需求。

样板间实景图

点击输入图片描述(最多30字)

点击输入图片描述(最多30字)

样板间客卫实景图

建面约100㎡3房2厅2卫▼

点击输入图片描述(最多30字)

静安玺樾建面约100㎡样板间鉴赏

,时长01:16

点击输入图片描述(最多30字)

点击输入图片描述(最多30字)

点击输入图片描述(最多30字)

点击输入图片描述(最多30字)

点击输入图片描述(最多30字)

点击输入图片描述(最多30字)

点击输入图片描述(最多30字)

建面约104㎡3房2厅2卫▼

点击输入图片描述(最多30字)

静安玺樾建面约104㎡样板间鉴赏

,时长01:05

点击输入图片描述(最多30字)

点击输入图片描述(最多30字)

点击输入图片描述(最多30字)

点击输入图片描述(最多30字)

点击输入图片描述(最多30字)

点击输入图片描述(最多30字)

点击输入图片描述(最多30字)

点击输入图片描述(最多30字)

点击输入图片描述(最多30字)

建面约103㎡3房2房2卫▼

点击输入图片描述(最多30字)

建面约122㎡3房2房2卫▼

点击输入图片描述(最多30字)

建面约134㎡3房2房2卫▼

点击输入图片描述(最多30字)

建面约165㎡4房2房3卫▼

点击输入图片描述(最多30字)

品质,是置业者密切关注的要素。由国企——上海静安城市更新投资发展有限公司出品的住宅,不仅品质有保障,后续交付也是给购房者吃下一颗定心丸。

从装标来看,静安玺樾尽管入市均价仅12.5万元/㎡,但其交付标准足以媲美市中心几千万级豪宅。

以豪宅三大件而言,项目全装全配,甄选大金(或同等档次)中央空调、地暖;霍尼韦尔(或同等档次)的新风系统,这些具有说服力的品牌,都是实打实的居住保障。

点击输入图片描述(最多30字)

点击输入图片描述(最多30字)

样板间实景图

厨具方面,油烟机、灶具、洗碗机、烤箱、甚至一般不作为交付的冰箱,均采用了国际知名品牌—— 美诺(或同等档次),这样的五件套配置放眼全市豪宅都非常罕见。

点击输入图片描述(最多30字)

点击输入图片描述(最多30字)

样板间实景图

项目甄选柏丽(或同等档次)的橱柜、台面;铂浪高(或同等档次)的洗涤槽和龙头;卫浴方面,甄选杜拉维特或高仪(或同等档次)马桶、台盆、龙头等,都是国际知名的品牌。

点击输入图片描述(最多30字)

样板间实景图

智能家居系统, 由全球500强企业霍尼韦尔(或同等档次)定制,提供全面的智能联网科技,可轻松控制室内灯光、空调、地暖和新风系统,还有可视对讲集成以及移动端远程控制,为居住带来更多便利。

此外,部分窗户 甄选三玻两腔玻璃,相较于普通玻璃,它能在保温隔热的同时大幅降噪,让业主远离外界纷繁。这才是装修交付,该有的品质和态度,也难怪这对夫妻在看完样板间后啧啧称赞。

点击输入图片描述(最多30字)

项目甄选装标品牌一览

项目区位配套

【静安玺樾】坐落于静安 “一轴三带”发展主轴的核心位置,地处内环的优质地段,颇为珍贵。

项目直线距苏州河约1.5公里,直线距黄浦江约3公里。3公里范围内,能够享受苏河湾、人民广场、外滩、北外滩、大宁等浦西九大核心商圈的资源,生活便捷程度显而易见。

点击输入图片描述(最多30字)

位置示意图

即使项目在浦西,单在马路对面望向项目工地,背后地处浦东的上海第一高楼——上海中心大厦清晰可见,你便能明白它有多市中心了!

点击输入图片描述(最多30字)

实景图

除了得天独厚的地理位置外,从当下的生活设施来看,静安玺樾周边的交通可谓四通八达,生活氛围也已酝酿了多年。

交通配套方面:项目周边有内环高架+南北高架双主干道,1公里范围内坐拥1/3/4/8号线四轨与五个站点,无需转乘两站可直达人民广场,还可直达四川北路、苏河湾、大宁等商圈,迅捷便利。

点击输入图片描述(最多30字)

位置示意图

商业配套方面:项目3公里范围内涵盖静安大悦城、苏河湾万象天地、虹口凯德龙之梦、大宁久光、大宁国际等诸多商业体,能满足一站式购物需求。

点击输入图片描述(最多30字)

点击输入图片描述(最多30字)

大悦城、苏河湾万象天地 实景图

医疗资源方面:项目直线距三甲医院上海市中医医院约800米,周边还有闸北区中心医院、上海市第十人民医院等,为居者保驾护航。

点击输入图片描述(最多30字)

实景图

更重要的是,静安玺樾所处的中兴城,正处于“新旧更替”的黄金发展期,将打造为充满魅力的人文之城,高端住宅、国际商务、精品休闲、时尚品牌等将逐一呈现,处处都是蓬勃生机!

点击输入图片描述(最多30字)

点击输入图片描述(最多30字)

中兴城街区商业 实景图

难得的城市绿肺——中兴公园已改建并开放,商务印刷所已经修复,未来上海电影技术厂也将修缮,一个崭新的城市生活范本呼之欲出。

点击输入图片描述(最多30字)

中兴绿地 实景图

将视野扩大,周边还有像华兴新城、安康苑、北站新城等诸多城市更新项目,都在如火如荼地进行建设中,整个新静安的更新势头非常迅猛!

点击输入图片描述(最多30字)

中兴城周边航拍实景图

样板房开放中

项目线上预约看房

售楼处电话400-118-3159

进入“静安玺樾”官方预约通道

案场销售会第一时间与您联系

声明:本文由入驻焦点开放平台的作者撰写,除焦点官方账号外,观点仅代表作者本人,不代表焦点立场。