陆家嘴锦绣澜湾销售中心-陆家嘴锦绣澜湾户型展示-价格详情-楼盘信息-配套介绍-联系方式

搜狐焦点天门站 2025-11-19 10:40:00
用手机看
扫描到手机,新闻随时看

扫一扫,用手机看文章
更加方便分享给朋友

陆家嘴锦绣澜湾售楼处电话:400-8669-938

陆家嘴锦绣澜湾售楼处电话:400-8669-938

编辑

浦东400万级的地铁房是真的稀缺!

以陆家嘴为原点,在能实现日常通勤的距离范围内,曹路、川沙、橫沔等板块,3室新房总价几乎都在600万左右,400万级购房者只能望洋兴叹!

作为浦东数年难遇的400万级地铁房,陆家嘴锦绣澜湾已经上了必买清单!但如果你深入了解项目,会发现这是一个无死角的全能宝藏楼盘!

地段:占位浦东中部腹地,纵享 张江一线产业利好辐射!

交通:18号线直线距离约1公里(测距数据来自百度地图),快速通达浦东重要城市节点。

社区:三面环水的滨水住区,还配备了度假式大草坪、全龄嘉年华区,绿氧跑步道、架空层健身房,让业主足不出户享受度假般的美好人居体验!

产品:全系神户型,每一个都是大师级水准!

开发商:锦绣澜湾是 陆家嘴集团第7座【锦绣系】标杆的全新升级之作。

服务:共享陆家嘴集团大朋友圈权益,享“国宾级”专属物业服务!

更关键的是,项目实景示范区景观与建筑全面呈现,而且已经 全部结构封顶!展现的超高品质和颜值,不仅远超同价位二手房, 对比同级新房也是降维打击!

编辑

项目示范区实景图

编辑

项目示范区实景图

浦东张江南18号线地铁房

双轨+双重规划辐射

『陆家嘴锦绣澜湾』

建面约89-127㎡3房户型

坐享7.5米横厅+270°全景!

均价48082元/㎡

总价354万起,开盘续销中

(文末附一房一价表)

编辑

Part 1

陆家嘴集团实力护航

半岛海派生活基本实景呈现

在当下的新房市场,拼的就是一个“交付力”!

而无论是交付的安全性还是品质感,跟品牌直接挂钩!

这一点正是陆家嘴锦绣澜湾的优势!

项目由上海陆家嘴集团开发,集团成立于 1990年,是上海市政府批准组建并重点扶持的大型企业集团之一。

集团成立以来,与浦东开发开放共成长,从小陆家嘴区域的一级土地开发,到上海CBD3.0版本前滩国际商务区,再到上海中心、上海迪士尼乐园、老佛爷百货等这些耳熟能详的地标,其背后的投资、运营或建设方都有包含上海陆家嘴集团。

编辑

作为上海“地标级”城市开发商,陆家嘴集团旗下住宅的安全性毋庸置疑!

从内环的锦绣前城、到中环的锦绣逸庭、再到周浦的锦绣御澜,陆家嘴锦绣系作品呈现的硬核品质早已征服一众挑剔的浦东购房者,并且 几乎都踩中了板块腾飞的关键节点,让每一位选择陆家嘴集团的业主都能 收获高品质的人居体验和磅礴的板块发展红利!

这一次,陆家嘴集团落子航头,正是看准了张江南扩的大趋势,并且带来了升级版的锦绣系全新力作!

陆家嘴锦绣澜湾天赋异禀,周边三面环水,生态资源优渥。开发商因地制宜,打造了约14万方滨水国际住区,呈现了岛居,乐氧居式的“半岛绿洲· 海派生活”!

项目效果图

编辑

来看社区的具体配置:

1、森系围界,约4500㎡森林康养基地

项目以森系围界,拥有优美的天际线,秉承以人为本的原则,运用植物大健康战略营造防尘降噪、降温降湿的康养人居,以“康养”贯穿全园。包括烟火慢街区、景观礼仪轴等。

2、3大海派生活圈,全方位营造多元场景设计语境

“沉浸式”主题情景,融贯休闲、社交、艺术、运动、亲子等维度,以空间交错酿造情感融汇,定制新海派摩登社区。共创生活的灵感与火花,衍生无限生活可能性!

海派生活圈之休旅圈,包括 聚合森氧居所、四点半课堂、茶艺草堂等。

项目示范区实景图

编辑

海派生活圈之活力圈,包括 全龄嘉年华、青年热力场、健身架空层、绿氧跑步道等。

项目示范区实景图

编辑

项目示范区实景图

编辑

海派生活圈之私享圈,包括 酒店式归家入口、礼仪树阵、尊享式入户、四季归家景观等。

项目示范区实景图

编辑

项目示范区实景图

编辑

当然,除了产品过硬,项目的软性服务也是直接对标千万级豪宅!

项目物业管理公司上海陆家嘴物业管理有限公司,是首批获得物业管理一级资质的企业,是上海世博会和进博会物业服务的战略伙伴供应商。国家会展中心、新国际博览中心均由公司参与管理。

在陆家嘴锦绣澜湾,业主可以享受 陆家嘴物业“国宾级”礼遇服务,羡煞旁人!

项目示范区实景图

编辑

另外,作为城市综合运营服务商,陆家嘴集团赋能美好生活聚焦打造“陆家嘴大朋友圈”产业生态。实现办公、商业、酒店、文化、会展、体育等业态资源的共享礼遇专属权益,尊享舒心人生。

凡购买陆家嘴集团旗下销售的商品房新房,可享陆家嘴乐居所有租赁住宅优惠名额。(包括陆家嘴、前滩、御桥、张江区域等全系租赁住宅,具体租赁流程及相应条件详询案场营销顾问。)这样的产业生态,也只有与浦东共成长的陆家嘴集团才有底气做到。

Part 2

教科书级户型个个爆款

400万级新盘的不二之选

目前市面上的新房项目,能有1-2个好户型已经很不容易了,但陆家嘴锦绣澜湾做到了 全系神户型,每一个都充满亮点与设计思考,几乎以一己之力重新定义了浦东人居新高度!

所以最后我们来详细聊聊项目的神户型:

建面约89㎡3房户型

编辑

建面约89㎡做3房,功能性上就占尽先机,没想到项目还有1.5卫配置, 主卧升级套房,真正实现一步到位!

格局方面,该户型是南向大面宽设计,足以容纳 主次卧+客厅三开间朝南,采光性能优异!全卧飘窗设计,延伸室内空间。客餐厅一体化设计,减少过道面积浪费,视野也更开阔。

编辑

编辑

建面约89㎡样板房实景照

而且,项目这个3房虽然建面只有约89㎡,但尺度感和空间感足以媲美市面上建面约100㎡左右的3房户型。这归功于户型 超过80%的得房率!

编辑

编辑

建面约89㎡样板房实景照

建面约99㎡3房户型

编辑

几乎延续了前者所有的优势,并且在尺度感和舒适度进一步提升!

首先是 大尺度双联阳台,极大提升了使用空间和采光面;其次是主卧变成贯穿南北的豪华套房,私密性和舒适度双爆表;最后2个卫生间及北次卧都配置飘窗,大幅提升空间利用率。

编辑

编辑

编辑

建面约99㎡样板房实景照

建面约105㎡横厅户型

编辑

这是项目的王牌户型,也是目前市面上同面积段没有对手的神户型!

因为是边户所以南北完全通透,采光和通风性能优异!住户的私密性强,无任何干扰。

3.5开间的南向户型,除了主次卧朝南,更进一步将客厅的开间加宽,成为一个横厅。横向宽厅的好处是可以有更多的南向采光,阳光更充足。此外,客厅可以弹性软分隔的方式,分出一个开放式书桌的空间,适配更长的家庭周期。

在拥有大尺度南向阳台的背景下,该户型居然还配备了 5个飘窗,大大提高了该户型的实用面积!

建面约127㎡3房户型

编辑

编辑

编辑

编辑

建面约127㎡样板房实景照

论地段,陆家嘴锦绣澜湾是浦东400万级少有地铁房,轻松实现日常通勤;

论产品,项目由陆家嘴集团倾力打造,比普通新房更保值,同时每一天都能享受实实在在的高品质居住体验。

无论是自住还是资产配置考虑,陆家嘴锦绣澜湾都值得优先选择,闭眼冲别犹豫!

Part 3

浓荫墅区+行政文化地区中心

尽享高能级配套与高端圈层

作为张江南部延伸板块,吸引了大量高新企业高管总裁, 航头西已然是成熟的高端别墅区。

项目隔壁的 东方夏威夷、爱法奥朗新庄园、生茂养园等别墅项目二手挂牌价基本都接近甚至超过2000万!

总价354万起即可入主显贵的别墅区,陆家嘴锦绣澜湾的入市怎么看都是无法拒绝的人生进阶机遇啊!

既能近距离享受板块成熟配套,又能更大程度接收张江南辐射带来的规划利好!

来看项目拥有的具体配套和规划:

交通方面,陆家嘴锦绣澜湾距离18号线航头站 直线约1公里,进站后7站即达中环御桥、11站可达内环龙阳路、15站来到陆家嘴金融城昌邑路!

而且,18号线去往陆家嘴的沿途可换乘多条轨交,几乎畅达浦东所有重要城市节点。

编辑

更难得的是,项目还为业主提供了 短驳班车,未来交付后,业主可从小区直接坐短驳车去地铁站,进一步节约业主宝贵的通勤时间!

编辑

商业配套方面,项目周边有苏航生活广场、永乐电器航头店、咸塘小镇商业步行街、吉乐买生活广场奥特博购物中心、集中式大型商业周浦万达广场、张江科技城南中心配套等。

教育配套方面,项目周边有尚德实验学校、海洲幼儿园、航城实验小学、进才中学南校、航头学校、格林斯堡幼儿园等,完全不用担心孩子从幼儿园到高中的上学问题。另外在航头北面 还有2块教育用地,值得期待!备注:本资料中学校信息仅作介绍不做入学承诺,项目对口学校最终以教育部门划分为准。

医疗资源方面,航头人民期盼多年的 三甲医院——上海龙华医院浦东分院已建成,即将开诊,将为陆家嘴锦绣澜湾业主全家人的健康保驾护航!

休闲娱乐方面,项目近邻 迪士尼乐园、上海野生动物园等浦东文旅胜地,自驾出发可迅捷通达!

编辑

区位示意图,仅供参考

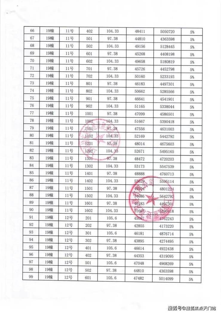
一房一价表如下👇🏻

编辑

编辑

编辑

编辑

浦东张江南18号线地铁房

双轨+双重规划辐射

『陆家嘴锦绣澜湾』

建面约89-127㎡3房户型

坐享7.5米横厅+270°全景!

均价48082元/㎡

总价354万起,开盘续销中

陆家嘴锦绣澜湾售楼处电话:400-8669-938

编辑

声明:本文由入驻焦点开放平台的作者撰写,除焦点官方账号外,观点仅代表作者本人,不代表焦点立场。