速来了解!2025 陆家嘴锦绣澜湾楼盘详情, 陆家嘴锦绣澜湾售楼处电话深挖房价、户型,细探容积率与小区环境
扫描到手机,新闻随时看
扫一扫,用手机看文章
更加方便分享给朋友

如有问题欢迎来电咨询,专业一对一热情服务,让您用专业眼光去买房。
浦东400万级的地铁房是真的稀缺!
以陆家嘴为原点,在能实现日常通勤的距离范围内,曹路、川沙、橫沔等板块,3室新房总价几乎都在600万左右,400万级购房者只能望洋兴叹!
作为浦东数年难遇的400万级地铁房,陆家嘴锦绣澜湾已经上了必买清单!但如果你深入了解项目,会发现这是一个无死角的全能宝藏楼盘!
地段:占位浦东中部腹地,纵享张江一线产业利好辐射!
交通:与18号线直线距离约1公里(测距数据来自百度地图),快速通达浦东重要城市节点。
社区:三面环水的滨水住区,还配备了度假式大草坪、全龄嘉年华区,绿氧跑步道、架空层健身房,让业主足不出户享受度假般的美好人居体验!
产品:全系神户型,每一个都是大师级水准!
开发商:锦绣澜湾是陆家嘴集团第7座【锦绣系】标杆的全新升级之作。
服务:共享陆家嘴集团大朋友圈权益,享“国宾级”专属物业服务!
更关键的是,项目实景示范区景观与建筑全面呈现,而且已经全部结构封顶!展现的超高品质和颜值,不仅远超同价位二手房,对比同级新房也是降维打击!
项目示范区实景图

项目示范区实景图
Part1
陆家嘴集团实力护航
半岛海派生活基本实景呈现
在当下的新房市场,拼的就是一个“交付力”!
而无论是交付的安全性还是品质感,跟品牌直接挂钩!
这一点正是陆家嘴锦绣澜湾的优势!
项目由上海陆家嘴集团开发,集团成立于 1990年,是上海市政府批准组建并重点扶持的大型企业集团之一。
集团成立以来,与浦东开发开放共成长,从小陆家嘴区域的一级土地开发,到上海CBD3.0版本前滩国际商务区,再到上海中心、上海迪士尼乐园、老佛爷百货等这些耳熟能详的地标,其背后的投资、运营或建设方都有包含上海陆家嘴集团。

作为上海“地标级”城市开发商,陆家嘴集团旗下住宅的安全性毋庸置疑!
从内环的锦绣前城、到中环的锦绣逸庭、再到周浦的锦绣御澜,陆家嘴锦绣系作品呈现的硬核品质早已征服一众挑剔的浦东购房者,并且几乎都踩中了板块腾飞的关键节点,让每一位选择陆家嘴集团的业主都能收获高品质的人居体验和磅礴的板块发展红利!
这一次,陆家嘴集团落子航头,正是看准了张江南扩的大趋势,并且带来了升级版的锦绣系全新力作!
陆家嘴锦绣澜湾天赋异禀,周边三面环水,生态资源优渥。开发商因地制宜,打造了约14万方滨水国际住区,呈现了岛居,乐氧居式的“半岛绿洲· 海派生活”!
项目效果图
来看社区的具体配置:
1、森系围界,约4500㎡森林康养基地
项目以森系围界,拥有优美的天际线,秉承以人为本的原则,运用植物大健康战略营造防尘降噪、降温降湿的康养人居,以“康养”贯穿全园。包括烟火慢街区、景观礼仪轴等。
2、3大海派生活圈,全方位营造多元场景设计语境
“沉浸式”主题情景,融贯休闲、社交、艺术、运动、亲子等维度,以空间交错酿造情感融汇,定制新海派摩登社区。共创生活的灵感与火花,衍生无限生活可能性!
海派生活圈之休旅圈,包括聚合森氧居所、四点半课堂、茶艺草堂等。
项目示范区实景图

海派生活圈之活力圈,包括全龄嘉年华、青年热力场、健身架空层、绿氧跑步道等。
项目示范区实景图

项目示范区实景图

海派生活圈之私享圈,包括酒店式归家入口、礼仪树阵、尊享式入户、四季归家景观等。
项目示范区实景图

项目示范区实景图

当然,除了产品过硬,项目的软性服务也是直接对标千万级豪宅!
项目物业管理公司上海陆家嘴物业管理有限公司,是首批获得物业管理一级资质的企业,是上海世博会和进博会物业服务的战略伙伴供应商。国家会展中心、新国际博览中心均由公司参与管理。
在陆家嘴锦绣澜湾,业主可以享受陆家嘴物业“国宾级”礼遇服务,羡煞旁人!
项目示范区实景图

另外,作为城市综合运营服务商,陆家嘴集团赋能美好生活聚焦打造“陆家嘴大朋友圈”产业生态。实现办公、商业、酒店、文化、会展、体育等业态资源的共享礼遇专属权益,尊享舒心人生。
凡购买陆家嘴集团旗下销售的商品房新房,可享陆家嘴乐居所有租赁住宅优惠名额。(包括陆家嘴、前滩、御桥、张江区域等全系租赁住宅,具体租赁流程及相应条件详询案场营销顾问。)这样的产业生态,也只有与浦东共成长的陆家嘴集团才有底气做到。
Part2
教科书级户型个个爆款
400万级新盘的不二之选
目前市面上的新房项目,能有1-2个好户型已经很不容易了,但陆家嘴锦绣澜湾做到了全系神户型,每一个都充满亮点与设计思考,几乎以一己之力重新定义了浦东人居新高度!
所以最后我们来详细聊聊项目的神户型:
建面约89㎡3房户型
建面约89㎡做3房,功能性上就占尽先机,没想到项目还有1.5卫配置,主卧升级套房,真正实现一步到位!
格局方面,该户型是南向大面宽设计,足以容纳主次卧+客厅三开间朝南,采光性能优异!全卧飘窗设计,延伸室内空间。客餐厅一体化设计,减少过道面积浪费,视野也更开阔。
而且,项目这个3房虽然建面只有约89㎡,但尺度感和空间感足以媲美市面上建面约100㎡左右的3房户型。这归功于户型超过80%的得房率!


建面约99㎡3房户型
几乎延续了前者所有的优势,并且在尺度感和舒适度进一步提升!
首先是大尺度双联阳台,极大提升了使用空间和采光面;其次是主卧变成贯穿南北的豪华套房,私密性和舒适度双爆表;最后2个卫生间及北次卧都配置飘窗,大幅提升空间利用率。



建面约105㎡横厅户型

这是项目的王牌户型,也是目前市面上同面积段没有对手的神户型!
因为是边户所以南北完全通透,采光和通风性能优异!住户的私密性强,无任何干扰。
3.5开间的南向户型,除了主次卧朝南,更进一步将客厅的开间加宽,成为一个横厅。横向宽厅的好处是可以有更多的南向采光,阳光更充足。此外,客厅可以弹性软分隔的方式,分出一个开放式书桌的空间,适配更长的家庭周期。
在拥有大尺度南向阳台的背景下,该户型居然还配备了5个飘窗,大大提高了该户型的实用面积!
建面约127㎡3房户型



论地段,陆家嘴锦绣澜湾是浦东400万级少有地铁房,轻松实现日常通勤;
论产品,项目由陆家嘴集团倾力打造,比普通新房更保值,同时每一天都能享受实实在在的高品质居住体验。
无论是自住还是资产配置考虑,陆家嘴锦绣澜湾都值得优先选择,闭眼冲别犹豫!
Part3
浓荫墅区+行政文化地区中心
尽享高能级配套与高端圈层
作为张江南部延伸板块,吸引了大量高新企业高管总裁,航头西已然是成熟的高端别墅区。
项目隔壁的东方夏威夷、爱法奥朗新庄园、生茂养园等别墅项目二手挂牌价基本都接近甚至超过2000万!
总价354万起即可入主显贵的别墅区,陆家嘴锦绣澜湾的入市怎么看都是无法拒绝的人生进阶机遇啊!
既能近距离享受板块成熟配套,又能更大程度接收张江南辐射带来的规划利好!
来看项目拥有的具体配套和规划:
交通方面,陆家嘴锦绣澜湾距离18号线航头站直线约1公里,进站后7站即达中环御桥、11站可达内环龙阳路、15站来到陆家嘴金融城昌邑路!
而且,18号线去往陆家嘴的沿途可换乘多条轨交,几乎畅达浦东所有重要城市节点。

更难得的是,项目还为业主提供了短驳班车,未来交付后,业主可从小区直接坐短驳车去地铁站,进一步节约业主宝贵的通勤时间!
商业配套方面,项目周边有苏航生活广场、永乐电器航头店、咸塘小镇商业步行街、吉乐买生活广场奥特博购物中心、集中式大型商业周浦万达广场、张江科技城南中心配套等。
教育配套方面,项目周边有尚德实验学校、海洲幼儿园、航城实验小学、进才中学南校、航头学校、格林斯堡幼儿园等,完全不用担心孩子从幼儿园到高中的上学问题。另外在航头北面 还有2块教育用地,值得期待!备注:本资料中学校信息仅作介绍不做入学承诺,项目对口学校最终以教育部门划分为准。
医疗资源方面,航头人民期盼多年的三甲医院——上海龙华医院浦东分院已建成,即将开诊,将为陆家嘴锦绣澜湾业主全家人的健康保驾护航!
休闲娱乐方面,项目近邻迪士尼乐园、上海野生动物园等浦东文旅胜地,自驾出发可迅捷通达!

区位示意图,仅供参考
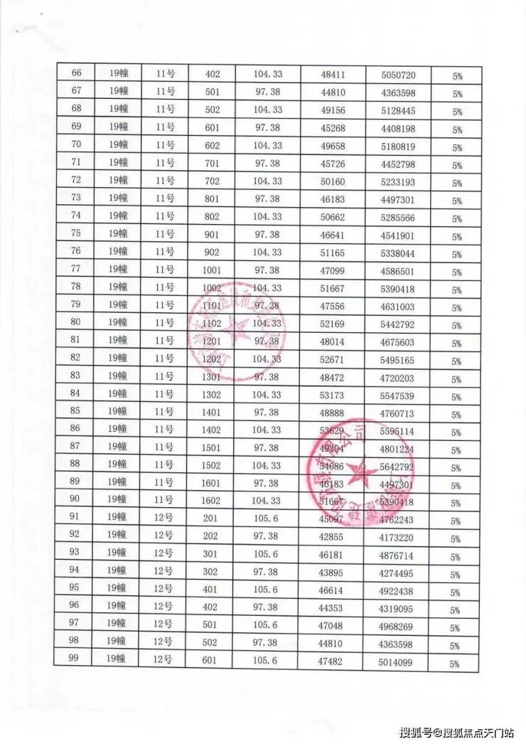
一房一价表如下👇🏻

如有问题欢迎来电咨询,专业一对一热情服务,让您用专业眼光去买房。
声明:本文由入驻焦点开放平台的作者撰写,除焦点官方账号外,观点仅代表作者本人,不代表焦点立场。
