上海 信达·信安里 ,建面约90-540㎡高层及风貌别墅!总价约1059万起!最新一房一价表首发!

搜狐焦点天门站 2025-10-01 16:20:00
用手机看
扫描到手机,新闻随时看

扫一扫,用手机看文章
更加方便分享给朋友

信达信安里 售楼处电话:400-1789-318(已认证) 信达信安里营销中心热线:400-1789-318(欢迎致电) 信达信安里售楼处预约电话:400-1789-318☎☎☎如有问题可来电咨询,一对一为您服务!

信达信安里

售楼处电话:400-1789-318(已认证)

信达信安里营销中心热线:400-1789-318(欢迎致电)

信达信安里售楼处预约电话:400-1789-318☎☎☎如有问题可来电咨询,一对一为您服务!

看房需提前来电预约登记请务必致电与销售确认时间,预约客户可优先进入销售现场,避免空跑,感谢您的支持!

信达信安里

老静安内环内 风貌别墅

CAZ中央活动区

『信达•信安里』

建面约275㎡-360㎡-541㎡

均价19.98万/㎡

总价5686万-1.06亿

老静安唯一在售 风貌别墅

直接认购 售楼处火热预约!

仅27席 错过不再有!

项目基本信息:

项目名

信达信安里

开发商

上海信瓴置业有限公司(信达地产)

板块

老静安曹家渡板块

在售面积

别墅(双拼):

275-287平:5686-5920(3套)4房4厅7卫

360-384平:6900-7747万(18套)5房5厅8卫

460-541平:8923-9847万(4套)5房5厅8卫

别墅(类独栋):

463平-1.06亿(1套)5房5厅10卫

均价

别 墅:19.98万

总价

别 墅:5686万-10600万

总体量

别 墅:27套

总层数

别 墅:地上3层+地下2层

层高

别 墅:2.2-3.6m

交房时间

2026年12月

交付标准

别 墅:毛坯交付

物业公司

信达自持物业(委托绿城物业管理)

物业费

别 墅:20元/平/月

总用地面积

约10348.10㎡

总建筑面积

约27054.13㎡

容积率

2.5

车位配比

1:1.17

实景图展示!

实景样板间展示:

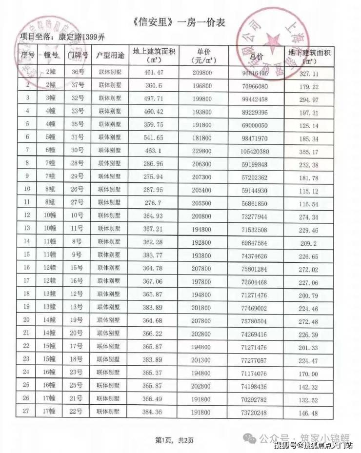
风貌别墅 一房一价表:

散落浓荫的高贵门庭

动辄亿元 风貌老洋房 于此溯源

一座静安寺,三片风貌区。南京西路历史风貌区——凤阳路、陕西北路,衡复历史风貌区——华山路、湖南路,愚园路历史风貌区——愚园路、常德路,动辄亿元的浓荫区老洋房,历史从这里溯源!

致敬百年旧里 再开艺术新里

信达地产里弄风貌更新作品,从历史建筑风貌保护出发,融入当代新式里弄创新手法!

建筑面积约275㎡-541㎡风貌艺墅,里献世界的名宅隐贵之所!

风貌灵魂保留

从巴黎孟莎顶的法式⻛情

到上海人文屋脊的海派风华!

双折式屋顶—孟莎式屋顶,源自法国古典主义建筑师弗朗西斯科·孟莎!17世纪晚期,成为法国古典主义建筑的流行形式!

今天,人们依旧能在巴黎、法国北部看到成片的孟莎式屋顶,其中包括著名巴黎老佛爷百货公司!

信达信安里

遵循“修旧如旧 以存其真”修缮更新理念!

还原清水红砖山墙、孟莎式折坡屋顶、石材石库门门头,保留红色机平瓦屋面、老虎窗、转角石构件,改善石库门格栅内院采光,将石库门建筑的风貌灵魂保留!

建面约275㎡-541㎡风貌艺墅

惟此27席!

从藏身到藏心

藏物到藏己的生活进阶!

地下1F志趣空间,约7.2m层高,私人菁英社交圈层!首层花园入户,大横厅会晤场域,与时代精神际会!

二三层静谧于心,起居室多套房设计,梧桐下的栖心之所!屋顶露台、花园庭院,超大附赠面积,藏身心于天地恢弘!

类独栋别墅·翠竹雅苑 印象公馆、琉璃光廊、雅集花园、人文巷道、私家庭院

百乐门印象·休闲社交 架空层泛会所,酒店式大堂、阅读区、健身区、多功能区

别墅巷道·艺文烟火 公共巷道、主题纵巷、端头水景、宅间花园,四级里弄巷道

【围合墅藏】

私家花园庭院,独门独院、围合天地、连院宽厅,世界尽藏一隅!

【志趣墅藏】

最高约7.2m地下一层层高,可改造地下挑高夹层,延伸无尽生活志趣!

【奢享墅藏】

高附赠率别墅空间,无柱、无廊、大落地窗设计,人生得意须尽宽!

【静谧墅藏】

独创双层分户墙隔音技术,外墙&楼板约200mm厚度,首层北侧和山墙面开窗外置百叶!

风貌别墅-户型图:

爱俪里 | 建面约366m²

摩登复古的艺术之家效果图:

得发里 | 建面约463m²

独揽世界的海派墅邸效果图:

交通配套:

项目位于静安历史风貌区,2/7/11/13/14号地铁交汇,分布武宁路、昌平路、隆德路、静安寺等市中心地铁站!

商业资源:

嘉里中心、恒隆广场、兴业太古汇、静安ONE、芮欧百货、张园、环球世界大厦、889广场等奢华地标林立!

教育资源:

周边有市西中学、一师附小、万航渡路小学、西南幼儿园(市示范园)、包玉刚实验小学(私立)、华东政法大学(原圣约翰大学)等!

医疗资源:周边有华山医院、上海市儿童医院、第一妇幼保健院、华东医院!

休闲资源:周边有曹家渡口袋花园、静安公园、美琪大剧院、上海展览中心等!

老静安内环内 风貌别墅

CAZ中央活动区

『信达•信安里』

建面约275㎡-360㎡-541㎡

均价19.98万/㎡

总价5686万-1.06亿

老静安唯一在售 风貌别墅

直接认购 售楼处火热预约!

仅27席 错过不再有!

信达信安里

售楼处电话:400-1789-318(已认证)

信达信安里营销中心热线:400-1789-318(欢迎致电)

信达信安里售楼处预约电话:400-1789-318☎☎☎如有问题可来电咨询,一对一为您服务!

看房需提前来电预约登记请务必致电与销售确认时间,预约客户可优先进入销售现场,避免空跑,感谢您的支持!

声明:本文由入驻焦点开放平台的作者撰写,除焦点官方账号外,观点仅代表作者本人,不代表焦点立场。