松江扛鼎封面!三阳台+约2000㎡会所+央企顶配改善!「西派云间」即将加推!
扫描到手机,新闻随时看
扫一扫,用手机看文章
更加方便分享给朋友

如有问题欢迎来电咨询,专业一对一热情服务,让您用专业眼光去买房。
最新消息,松江新城「中国铁建西派云间」前期在售,二批次等待加推!预计加推高层大户型&叠加别墅!
⛩项目名称:「中国铁建西派云间」
📍区域板块:松江新城
🗣最新动态:二批次等待加推
🏠产品介绍:预计加推高层大户型&叠加别墅
🛍️商业配套:项目南侧步行约800米处就是网红商业约60万㎡五大集中商业配套(相当于上海徐家汇商圈+五角场商圈+浦东花木商圈);松江万达(约 23 万㎡),五龙商业广场(约 3.5 万㎡),中展马利来(约 5 万㎡),三迪曼哈顿(约 21 万㎡),上海富悦财富中心(约 12 万㎡ )共同组成“松江新城国际化核心繁华商圈”
🏫周边学校:一路之隔即是松江重点上外云间学校,约400米内还有中山二小,3公里内有上外西外附中,七年一贯中学,也是上海市重点中学;还有上外西外附小,是具有一流教育设施的民办小学;上海赫贤(原赫德)双语学校是双语教学模式的民办学校
🏥医疗配套:南侧约3公里处上海市第一人民医院(松江院区)是综合性三甲医院;项目西侧仅600米,上海养志康复医院,是上海首家公立康复医院,主力科室为内科、外科、妇科、儿科
1地段
交通配套:项目周边交通十分便捷,通过城区三横两纵,广富林路、文翔路、新松江路,以及人民北路和嘉松南路;
自驾30分钟内可以到达松江高铁站以及松江城区任何地点。
20分钟可以抵达老城区核心商业(大润发/老城吾悦/飞航广场);
15分钟可以抵达新城区核心商业(开元地中海/东鼎/泰晤士)、第一人民医院等传统配套。
对外三横:嘉松路往南为G60沪昆高速东连沪闵高架经过闵行、徐汇区域,向西一小时可到达浙江各大城市。嘉松路往北为G50沪渝高速连接延安高架,切换嘉闵高架、外中内环,可畅达闵行、长宁、静安等区域快速到达各大商圈。S32申嘉湖高速从上海-嘉兴-湖州高速公路,一个多小时可到达浙江各大城市。
对外三纵:松江主干道“沪松公路”升级沪松快速路(规划中):沪松公路向南可进入G60出入口,南联松卫公路可贯通松江老城,向北贯通泗泾、九亭、七宝与漕宝路快速路相连,未来通车后将实现“一刻钟到虹桥枢纽,半小时到市中心。”
商业配套:项目南侧步行约800米处就是网红商业约60万㎡五大集中商业配套(相当于上海徐家汇商圈+五角场商圈+浦东花木商圈),松江万达(约 23 万㎡),五龙商业广场(约 3.5 万㎡),中展马利来(约 5 万㎡),三迪曼哈顿(约 21 万㎡),上海富悦财富中心(约 12 万㎡ )共同组成“松江新城国际化核心繁华商圈”。
区域内另有富悦大酒店、凯悦等五星级酒店,高端设施一应俱全,完全能满足接待亲朋好友的需求。
教育配套:项目周围教育氛围浓厚,一路之隔即是松江重点上外云间学校,目前地块南侧星樾云涧已纳入上外云间学区计划,这所学校是松江区委区政府和上海外国语大学合办的12年一贯制学校,涵盖小学、初中、高中,也是迄今为止松江区学校建设项目中投资量最大、设计标准最高、设施配套最全的项目。
约400米内还有中山二小,3公里内有上外西外附中,七年一贯中学,也是上海市重点中学;还有上外西外附小,是具有一流教育设施的民办小学;上海赫贤(原赫德)双语学校是双语教学模式的民办学校。
医疗配套:南侧约3公里处上海市第一人民医院(松江院区),是松江区目前医疗水平最好,是拥有直升机救援服务的综合性三甲医院;项目西侧仅600米,上海养志康复医院,建面15万方,是上海首家公立康复医院,主力科室为内科、外科、妇科、儿科;
生态配套:约23万㎡的五龙湖公园,约1.2万㎡的思贤公园、百分佰体育公园和方松体育公园等生态绿地;往西约3公里处广富林文化遗址、广富林郊野公园,往北约4km有辰山植物园、佘山4A级旅游度假区、欢乐谷等等,都是休闲娱乐的好去处。
2产品
【基础信息】:
[ 占地面积 ] 约42480㎡
[ 建筑面积 ] 约150782㎡
[ 容积率 ] 约2.3
[ 绿化率 ] 约35%
[ 产权年限 ] 70年
[ 产品类型 ]小高层:建面约125㎡-188㎡ 叠墅:建面约153㎡-158㎡
中国铁建地产TOP产品系 首映松江“西派”为中国铁建地产TOP级产品系,连续6年荣膺“中国房地产产品品牌价值TOP10”。
秉持非核芯不选、非标志不建、非创新不做的核芯理念,历时10余年缔造40余座精品力作,持续迭代进阶,皆为城市价值标杆。(信息来源:中国铁建地产集团官方公众号)

西派云间,萃集“西派系”精华,立派松江之巅,于城市繁华深处,缔造崭新的双水岸生活流域,创新一种自然与繁华相融的生活方式,定义中国人文海派豪宅的西派标准。

示意图
根据项目规划设计方案:项目拟建建面约125-188㎡高层&153-158㎡叠加!预计将于9月左右面世。
项目的定位偏向改善,建筑层高能做到3米以上,大平层与叠墅产品层高可能达到3.3米。
据悉,项目在产品力上独具开创性:约2000㎡奢装会所、松江首个社区水幕瀑布、中央车站等,将带给松江改善购房者前所未见的居住体验!
【物业服务】蓝筹物业,挚献全生命周期臻享服务中铁建物业管理有限公司是中铁建房地产集团的全资子公司,连续三年获得“蓝筹物业企业”称号,连续十年被评为“中国物业服务百强企业”,且排名逐年提升至第12名,覆盖全国47个城市,为100万业主幸福美好生活保驾护航,致力于成为“中国最具价值的美好生活服务商”。(信息来源:中国铁建地产集团官方公众号)
对于建面约125㎡的户型而言,多数项目还在纠结“三开间朝南够不够用”,西派云间直接给出“新政后松江首个四开间朝南×三阳台”的稀有配置——三个卧室全朝南,清晨阳光能直接洒进床头,就连晾晒衣物的阳台都能享受到充足采光,告别“北向卧室阴暗潮湿”的痛点。
级”亮点?
△样板房实景图
走进室内,3米新规层高(市面多数项目层高仅2.85-2.95米)带来的开阔感扑面而来,再搭配LDKB+X一体化设计(餐厅、客厅、厨房、阳台+南次卧X空间),空间通透性直接拉满。约23%的大窗墙比让阳光肆意涌入,客厅连接的南阳台进深约1.5米、面积近10㎡,一侧预留洗衣机位方便洗晒,另一侧摆上藤椅茶几就能变身休闲区;北向餐厅与厨房等宽,约3.85米面宽足够容纳6-8人聚餐,还预留了双门冰箱和餐边柜位置,收纳与实用兼顾。
△活动示意图
U型厨房更是把“人性化”做到极致,三面操作台完美契合“取、洗、切、炒”动线,利用飘窗附赠空间拓展的操作台面,就算两三人同时备餐也互不干扰。南次卧(X空间)面宽约3米,带独立阳台且隔断墙为非承重墙,可根据需求改造成书房、儿童房,灵活适配不同家庭阶段的居住需求。
△样板房实景图
主卧套房设计同样让人惊喜:南向超大景观飘窗引景入室,放完标准双人床后,北侧还能打造整面衣柜;全明主卫功能分区清晰,定制淋浴房保障干湿分离,镜柜内置美妆冰箱,细节处尽显品质感。
建面约148㎡云阙,就是“松江高端人居的新旗舰”——3大创新设计直接打破区域户型瓶颈,从空间尺度到居住体验,全方位比肩市芯十万级奢宅。
创新“奢居四房格局”:四房两厅两卫配置下实现四开间朝南,三个卧室+客厅全朝南,把阳光与舒适最大化引入室内;
创新“三阳台分区功能”:景观阳台、生活阳台、次卧阳台各司其职,解决“晾晒占用休闲空间”的生活痛点;
创新“边套专属270°环景飘窗”:大尺寸玻璃(造价更高)大幅拓展视野与采光,晨起看朝阳、入夜观繁星,把风景变成日常;
从电梯厅入户,第一眼就能感受到“奢宅级”的收纳实力:玄幻收纳柜方便纳藏各类随身物品,旁边的储藏间更是“收纳神器”,大件行李箱、婴儿车、清洁用具统统能妥善安置,从源头让家保持整洁。
△样板房实景图
LDKB一体化空间是整个户型的“社交核心”:客厅、餐厅、厨房、阳台无缝融合,超大窗墙比让室内亮如白昼,约3.05米层高搭配约6.8米南向大横厅(可与次卧打通),形成约34㎡的超大会客厅,多人聚会也不会有局促感。在这里,既能打造家庭影院、亲子游戏区,也能预留茶歇角,灵活适配不同生活场景。
U型厨房连接独立生活阳台,洗衣晾晒、家政收纳全在这儿完成,彻底告别“客厅阳台晾衣”的尴尬;高效的烹饪动线+拓展的操作台面,轻松应对家庭大餐筹备
△样板房实景图
主卧“全景休憩舱”配置更是惊艳:边套专属270°环景飘窗采用大尺寸玻璃,视野通透无遮挡,空间感与采光面大幅提升;放完标准双人床+双床头柜后,还能打造独立衣帽间,满足衣物、配饰收纳需求;主卫全明设计,采用经典三段式布局,双面巨幕玻璃带来双面采光瞰景体验,高端洁具五金搭配奢石台面,奢华感拉满。
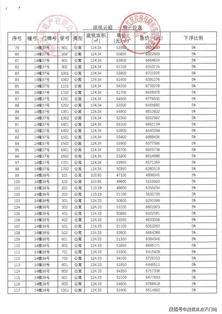
一批次一房一价表:

如有问题欢迎来电咨询,专业一对一热情服务,让您用专业眼光去买房。
声明:本文由入驻焦点开放平台的作者撰写,除焦点官方账号外,观点仅代表作者本人,不代表焦点立场。
